Паспорт «КОМПЛЕКТ ОБРАЗЦОВ КСОП» (ЛИВЕ.415119.023 ПС)

Паспорт
ЛИВЕ.415119.023 ПС

Московская обл., г. Балашиха 2013 г.
1/1

ФЕДЕРАЛЬНОЕ АГЕНТСТВО
RU.C.27.004.A № 43366
ВТЕКрутиков
Серия СИ
об утверждении типа средств измерений
Описание, типа средств измерений является обязательным приложением к настоящему,свидетельству. ’<• 7---Х
,3амест11тель РуководителяХ$6^<> г
■ .' . ' х> у *?5«7 X Х&Х- ' • •.
Федерального^агентства/ЧДх"\ ‘ХххХХ •• , л
■ ■ ■ УХ X- £‘-
. v... .............
-. чх>- Wx-- . • W
РЕГИСТРАЦИОШ-1ЫИ № 47328-11
ДОКУМЕНТ НА ПОВЕРКУ
ЛИВЕ.415119 023 ПС, раздел 4
.ИНТЕРВАЛ.МЕЖДУ ПОВЕРКАМИ 2 года
’ ' . ■ 1 Д’ХхГо : X
Тип средств измерений утвержден приказом Федерального агентства по .техническому регулированию и метрологии от 01 августа 2011 г. Й3981
№ 001335 WO
* 1 -<*■-/ Хо
■X:■
<• т "'Хч' **,*5»*хч •*■ тх

КОМИТЕТ
,ь Председателя
004103
Настоящий сертификат удостоверяет, что гии
(ейсгвителен до «01» августа 201 б г
СЕРТИФИКАТ №
наименование национального органа по йетролш ни страны импортера
комплек трв ооразаов
наименование средствз.паме7)С11Йй
наименование производителя
г. Балашиха, Московская оба,
■ а. герриторманьносместо расположенйеУфотподсгна” 77:-’ ’'' : ~
допущен к применению в Республике Казахстан на основании признания результатов .испытаний й утверждения жданного типа, проведенных ' ' ..
. - ■ 1\)стех регул про ван нем
производимых ■ ■
Л .ООО «Научно-промышленная компания «ЛУЧ.»
KCOI1
обозначение типа
I

о регистрации
Комплект образцов КООП
llacToxuiee свидетельства о репкп ранни удосговсряст.. что идешифицировапгюе надлёжапщм образом средство измерении.
Свидетельство выдано головной структурой метролог «ческой службы ОАО “РЖД" - Департаментом технической политики ОАО ‘"РЖД’\ 107174. Москва, ул Новая Басманная. 2.
выпускаемый ООО “Научнпиромышленпая компания •‘ЛУЧ*’. 143930
Московская о&ь, >. Балашиха, мкр. Салтыкоока, ш. Ильича, д.1
по документам «Паспорт ЛИВЕ.415119.023 ПС-.\. зарстистрнроваявый в Государственном реестре средств измерений под № 47328-11 (свидетельство об утверждении типа средств измерений RU.C.27.004.A № 43366) соответствует мсгролбптческим нормам и требованиям, установленным в этих документах и может быть использован для настройки, поверки и калибровки вихретоковых дефектоскопов, проверки порота чувствительности и рабочего зазора при тгроведснии нерачрунЕающею контроля деталей а узлов вагонов и тяговою подвижного состава в ОАО "РЖД*.
За>лсйпезь нкчзльннка йпгартамеигй зсхйпчгсяой
ОАО -‘РЖД" :: ; О>/'У
г£Ш: |
nt |
СОДЕРЖАНИЕ
-
4. Методика поверки
-
4.7. Оформление результатов поверки
5. Гарантии изготовителя
5-1
6. Правила хранения и транспортирования
6-1
7. Свидетельство о приемке
7-1
Настоящий Паспорт является документом, удостоверяющим гарантированные предприятием-изготовителем основные параметры и технические характеристики комплекта образцов КСОП.
Комплект образцов КСОП изготовлен в соответствии с требованиями Паспорта ЛИВЕ.415119.023 ПС.
В-1

1. Назначение изделия.
-
1.1. Комплект образцов КСОП предназначен для настройки, поверки и калибровки вихретоковых дефектоскопов, проверки порога чувствительности и рабочего зазора.
Комплект состоит из образцов с искусственными дефектами СОП-Д.М и образцов зазора СОП-Т.Н (рис. 1.1).

Рис.1.1.
> Образцы СОП-Д.М воспроизводят дефекты типа нарушения сплошности материала (поверхностные трещины) и представляют собой металлический брусок в виде параллелепипеда, на поверхностях которого нанесены от одного до пяти искусственных дефектов разной глубины и ширины.
В обозначении СОП-Д.М принято: Д - количество искусственных дефектов на образце; М - число, определяющее материал образца:
001- сталь 45;
002- сплав Д16Т;
003 - коррозионно-стойкая, жаростойкая и жаропрочная сталь 12X18Н1 ОТ*;
004 - титановый сплав ВТ 1 -0*;
005 - углеродистая конструкционная сталь 20*;
006- алюминиевый сплав АК9*;
007 - легированная конструкционная сталь 20Х*;
008 - магниевый сплав МА 12*;
009 - теплоустойчивая сталь 12МХ*;
—

мюнэдйнжвнмшИВ Назначен -
010-
медно-цинковый сплав Л63*.
* По заказу потребителя в качестве материала образца допускается использование других марок материалов данного вида.
> Образцы СОП-Т.Н воспроизводят зазор и представляют собой прямоугольную пластину из диэлектрического материала, например гетинакса, определенной толщины.
В обозначении СОП-Т.Н принято: Т - образец зазора; Н -толщина образца в десятых долях миллиметра.
-
1.2. Условия эксплуатации:
-температура окружающего воздуха от минус 10 до 50 °C;
-относительная влажность до 80% при 25 °C;
-атмосферное давление от 84,0 до 106,7 кПа.
Пример записи обозначения комплекта образцов при заказе и в документации другой продукции, в которой он может быть применен: «Комплект образцов КСОП. ЛИВЕ.4151 19.023 ПС».

Основные ti

_________2. Основные технические характеристики.
-
2.1. Основные технические характеристики образцов представлены в таблицах 2.1 и 2.2.
Таблица 2.1. Образцы с искусственными дефектами СОП-Д.М.
Наименование параметра |
Значение параметра | |
Диапазон глубины дефектов, мм |
от 0,1 до 10,0 | |
Шаг глубины дефектов, мм |
0,1 | |
Пределы допускаемой абсолютной погрешности значения глубины дефектов, мм, r диапазоне глубин |
от 0,1 до 1.0 мм |
±0.05 |
от 1,1 до 3,0 мм |
±0.10 | |
от 3,1 до 5,0 мм |
±0,25 | |
от 5,1 до 10,0 мм |
±0,50 | |
Диапазоны ширины дефектов, мм, в 1 диапазоне глубин |
от 0,1 до 0.5 мм |
от 0,05 до 0,15 |
от 0,6 до 1,0 мм |
от 0,05 до 0,25 | |
от 1,1 до 3,0 мм |
от 0,10 до 0,30 | |
от 3.1 до 10,0 мм |
от 0,10 до 0.50 | |
Пределы допускаемой абсолютной погрешности значения ширины дефектов, мм |
±0,ЗХ, где X -действительное значение ширины дефекта, мм | |
Шероховатость поверхности Ra. мкм, не более |
2,5 | |
Габаритные размеры, мм, не более |
длина |
100 |
ширина |
30 | |
высота |
от 5 до 15 | |
Масса, кг, нс более |
0,5 |
Таблица 2.2. Образцы зазора СОП-Т.Н.
Наименование параметра |
Значение параметра | |
Диапазон толщины образцов, мм |
от 0,1 до 10.0 | |
Шаг толщины образцов, мм |
0,1 | |
Пределы допускаемой абсолютной погрешности значения толщины образцов, мм, в диапазоне толщин |
от 0,1 до 0,9 мм |
±0,05 |
от 1,0 до 2,9 мм |
±0,10 | |
от 3,0 до 4,9 мм |
±0.25 | |
от 5,0 до 10.0 мм |
±0.50 | |
Габаритные размеры, мм. не более |
длина |
100 |
ширина |
30 | |
высота |
от 0,1 до 10,0 | |
Масса, кг, не более |
0,25 |
2-1

3. Комплект поставки
3.1. Комплект поставки.
№ п\п |
Наименование и условное обозначение |
Кол-во |
1. |
Образец с искусственными дефектами СОП-Д.М*. |
1* шт. |
2. |
Образец зазора СОП-Т.Н*. |
1 * шт. |
3. |
Чехол**. |
1 шт. |
4. |
Комплект образцов КСОП. Паспорт. ЛИВЕ.415119.023 ПС. |
1 экз. |
* Количество образцов в комплекте и их типы определяются при оформлении заказа.
** Поставляется по дополнительному заказу.

Методика поверки
4.1. Общие положения.Настоящая методика поверки распространяется на комплекты образцов КСОП и устанавливает методы и средства их первичной и периодической поверок.
Первичную поверку образцов проводят после их изготовления.
Периодическую поверку образцов следует проводить не реже одного раза в два года.
4.2. Средства поверки.При проведении поверки должны применяться средства поверки с характеристиками, указанными в таблице 4.1.
Таблица 4.1
Наименование |
Основные технические характеристики |
Измеряемый параметр |
Микрометр гладкий МК25, 0,01. (ГОСТ 6507-90). |
Диапазон измерения от 0 до 25 мм, погрешность -0.002 мм. |
Толщина образцов. |
Профилограф-профилометр Форм Талисурф Интра. Регистрационный номер Государственного реестра № 20668-00. |
Согласно ГОСТ 2789-73. Шероховатость поверхности. Параметры и характеристики. |
Шероховатость поверхностей образца. |
11рофилограф-профиломстр Форм Талисурф Интра. Регистрационный номер Государственного реестра № 20668-00. |
Погрешность 3% |
Ширина искусственных дефектов. |
1 Индикатор часового тина с ценой деления 0,01 мм, мод. ИЧ 10. Регистрационный номер Государственного 1 реестра № 40149-08. |
Диапазон измерений от 0 до 10 мм, цена деления -0.01 мм. |
Глубина искусственных дефектов. |
Примечание. При проведении поверки допускается применение других средств с характеристиками, не хуже указанных в таблице 4.1.
4.3. Требования к организации, проводящей поверку.Поверка производится организациями, получившими в установленном порядке право проведения данных работ.
4.4. Условия поверки и подготовка к ней.-
4.4.1. При проведении поверки должны соблюдаться следующие условия внешней среды:
-
- температура окружающей среды (20+5) °C;
-
- относительная влажность (65±15) %;
-
- атмосферное давление от 84,0 до 106,7 кПа.
-
4.4.2. Перед проведением поверки поверхности образцов должны быть очищены от грязи и масла, а средства поверки подготовлены к работе в соответствии с их эксплуатационными документами.
-
4.4.3. После пребывания образцов в условиях отличных от нормальных, они должны быть выдержаны не менее 1 часа в условиях, соответствующих п.4.4.1.
При поверке (калибровке) образцов выполняются операции, указанные в таблице 4.2.
Таблица 4.2
Операции поверки
Пункт методики поверки
4.6.1
1. Проверка внешнего вида и комплектности
2. Проверка шероховатости поверхностей, содержащих искусственные дефекты
4.6.2
3. Проверка ширины искусственных дефектов
4. Проверка глубины искусственных дефектов
5. Проверка толщины образцов зазора
6. Оформление результатов поверки
4.6.3
4.6.4
4.6.5
4.7
-
4.6.1. Проверка внешнего вида и комплектности.
При внешнем осмотре должно быть установлено соответствие образцов следующим требованиям:
4-2
-комплектность, маркировка и упаковка должны соответствовать требованиям документации на образцы;
-на поверхности образцов, содержащей искусственные дефекты, не должно быть грубых вмятин, рисок и царапин.
4.6.2. Проверка шероховатости поверхностей, содержащих искусственные дефекты.Проверку шероховатости поверхностей, содержащих искусственные дефекты, производить с помощью профилографа-профилометра Форм Талисурф Интра на десяти базовых длинах, равномерно расположенных на контролируемой поверхности, в соответствии с инструкцией по эксплуатации данного прибора.
Шероховатость контролируемой поверхности должна быть не хуже Ra 2,5 мкм.
Глубина случайных рисок, вмятин и царапин должна быть не более 0,01 мм.
4.6.3. Проверка ширины искусственных дефектов.Измерение ширины искусственных дефектов проводить с помощью профилографа-профилометра Форм Талисурф Интра в пяти равномерно распределенных точках.
Среднее значение измеренной ширины дефекта вычислить по формуле:
где: Aj - i-й результат измерения.
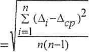
Определить случайную составляющую допускаемой погрешности по формуле:

где t - коэффициент Стьюдента.
При доверительной вероятности Р=0,95 и числе наблюдений п = 5, t = 2,78;
о - среднее квадратичное отклонение результата измерений ширины дефекта поверяемого образца, определяемое по формуле:

где: А; - i-й результат измерения;
Аср - среднее арифметическое результата измерений;

n - число измерений.
Абсолютную погрешность определить по формуле:
Д=J Деист2 4- Дслуч2 < ±0,ЗХ мм,
где: ДСист.“ погрешность измерительного инструмента;
X - действительное значение ширины дефекта.
Абсолютная погрешность не должна превышать предельного отклонения ширины искусственных дефектов, указанного в таблице 2.1.
4.6.4. Проверка глубины искусственных дефектов.Измерение глубины искусственных дефектов проводить индикатором часового типа ИЧ 10 с переработанным наконечником НГП-8 в виде плоской иглы. Переработанный наконечник НГП-8 класса 2 ГОСТ 11007-66 с плоской измерительной поверхностью диаметром 8 мм представляет собой наконечник, на плоской измерительной поверхности которого электроэрозионным способом выполнен паз с размерами: длина -8 мм, глубина - 4 мм, ширина - 0,05 мм, в котором жестко фиксируется пластина толщиной 0,05 мм, изготовленная из щупа толщиной 0,05 мм из набора щупов №1 класс 2. Длина пластины выбирается достаточной для измерения глубины конкретных образцов дефектов. Переработанный наконечник поставляется предприятием-изготовителем комплекта образцов КСОП по предварительному заказу.
Проведение измерений и обработка результатов - по методике п.4.6.3.
Пределы допускаемой абсолютной погрешности значения глубины дефектов должны соответствовать значениям, указанным в таблице 2.1.
4.6.5. Проверка толщины образцов зазора.Измерение толщины образцов зазора проводить микрометром МК25-1 в пяти точках, равномерно распределенных по длине и ширине образцов.
Проведение измерений и обработка результатов - по методике п.4.6.3.
Пределы допускаемой абсолютной погрешности значения толщины образцов должны соответствовать значениям, указанным в таблице 2.2.
4.7. Оформление результатов поверки.-
4.7.1. Результаты поверки каждого образца протокол поверки.
-
4.7.2. При положительных результатах поверки свидетельство о поверке установленного образца.
-
4.7.3. При отрицательных результатах извещение о непригодности с указанием причин.
заносятся в
выписывается
выписывается

5. Гарантии изготовителя
-
5.1. Изготовитель гарантирует соответствие комплекта
образцов КСОП требованиям Паспорта ЛИВЕ.4151 19.023 ПС при соблюдении Потребителем правил эксплуатации,
транспортирования и хранения.
-
5.2. Гарантийный срок эксплуатации комплекта образцов - 12 месяцев со дня его поставки Потребителю.
-
5.3. При хранении рабочая поверхность образцов с искусственными дефектами должна быть защищена то грязи и влаги.
-
5.4. Срок службы комплекта образцов - не менее 10 лет.
-
5.7. Адрес предприятия-изготовителя:
Научно-промышленная компания «ЛуЧ». 143930. Московская обл., г. Балашиха, мкр. Салтыковка, ш. Ильича, дом 1. e-mail: luchfffiluch.ru.
интернет: www.luch.ru. тел./факс: (498) 520-77-99. тел.: (495) 961-09-03.
Правила хранения и

6.1. Упакованный в транспортировочную тару комплект образцов может транспортироваться любым видом закрытого транспорта в соответствии с правилами перевозки грузов при температуре окружающего воздуха от минус 25 до 50 °C.
-
6.2. Условия хранения комплекта образцов должны соответствовать категории 1 (легкие) по ГОСТ 15150-69.
-
6.3. Хранение комплекта образцов в одном помещении с кислотами, реактивами, красками и другими химикатами и материалами, пары которых могут оказать вредное воздействие, не допускается.


7> Свидетельство о приемке
Комплект образцов КСОП:
Тип образцов |
Заводские №№ |
со//- 3. 00/ 30 | |
ГО/7-3. 003. /0 | |
соответствует требованиям Паспорта признан годным для эксплуатации.
Ответственный за приемку

Дата выпуска

и

/
Раде 1/1