Методика поверки «ГСОЕИ. Дозаторы пипеточные Eppendorf Research Plus» (МП РТ 1932-2013)
УТВЕРЖДАЮ
Руководитель ГЦИ СИ ..Генерального директора ’ЬФБУ «Ростест-Москва»

.С. Евдокимов
ГОСУДАРСТВЕННАЯ СИСТЕМА ОБЕСПЕЧЕНИЯ ЕДИНСТВА ИЗМЕРЕНИЙ
ДОЗАТОРЫ ПИПЕТОЧНЫЕ Eppendorf Research Plus
Методика поверки
МП РТ 1932-2013
г. Москва
2013 г.
2
СОДЕРЖАНИЕ
1. ОБЩИЕ ПОЛОЖЕНИЯ
-
1.1 Настоящая методика распространяется на дозаторы пипеточные Eppendorf Research Plus одноканальные, многоканальные, постоянного и переменного объема механические (далее по тексту - дозаторы), изготавливаемы! фирмой «Eppendorf AG», Германия, и устанавливает методы и средства их первичной и периодической поверок.
-
1.2 Межповерочный интервал - 1 год.
2. ОПЕРАЦИИ ПОВЕРКИ
2.1 При проведении поверки системы должны выполняться операции, указанные в таблице 1.
Таблица 1
Наименование операции |
Номер пункта методики поверки |
Проведение операций при: | |
первичной поверке |
периодической поверке | ||
1 Внешний осмотр |
6.1 |
да |
да |
2 Опробование |
6.2 |
да |
да |
3 Определение метрологических характеристик |
6.3 |
да |
да |
3. СРЕДСТВА ПОВЕРКИ
3.1 При проведении поверки применяют средства поверки, указанные в таблице 2.
Таблица 2
Наименование операции |
Номер пункта методики |
Средства поверки и их характеристики |
1 Внешний осмотр, проверка маркировки и комплектности. |
6.1. |
- |
2 Опробование |
6.2. |
- |
3 Определение метрологических характеристик
|
|
Весы лабораторные с НПВ-2 г., НПВ-20 г. и с НПВ-200 г. специального класса по ГОСТ Р 53228-08 с погрешностью и СКО, не превышающей 1/5 допускаемой погрешности и СКО измерения массы дозируемого объема. Термометр до +50 °C с ц.д. 0,1 °C. Вода дистиллированная ГОСТ 6709. Стаканчик СВ ГОСТ 25336. |
-
3.2 Средства поверки должны быть поверены и иметь действующее свидетельства о поверке или оттиск поверительного клейма.
4. ТРЕБОВАНИЯ БЕЗОПАСНОСТИ
-
4.1 При проведении поверки должны выполняться следующие требования безопасности:
-
- к проведению поверки допускаются лица, ознакомившиеся с правилами безопасности при эксплуатации поверяемых средств измерений, приведенными в эксплуатационной документации;
-
- вся аппаратура, питающаяся от сети переменного тока, должна быть заземлена;
-
- соблюдать требования безопасности, указанные в технической документации на применяемые образцовые средства поверки и вспомогательное оборудование;
5. УСЛОВИЯ ПРОВЕДЕНИЯ ПОВЕРКИ
-
5.1 При проведении поверки системы должны быть соблюдены следующие условия:
-
- относительная влажность окружающего воздуха от 30 % до 80 %;
-
- атмосферное давление от 84 до 106 кПа;
-
- температура окружающей среды (20 ± 2) °C;
-
- температура дистиллированной воды (20 ± 2) °C;
-
- в помещении не должно быть воздушных и тепловых потоков, вибраций и сотрясений.
-
5.2 Перед поверкой дозаторов весы должны быть установлены в соответствии с требованиями технической документации таким образом, чтобы при проведении измерений исключалось их одностороннее нагревание или охлаждение.
-
5.3 Весы должны быть прогреты до начала поверки в течение 60 мин. Для выравнивания температуры воздуха внутри витрины весов и в помещении дверцы витрины должны быть открыты на 20-30 мин до начала измерения.
6. ПРОВЕДЕНИЕ ПОВЕРКИ
-
6.1 Внешний осмотр
При внешнем осмотре:
-
- устанавливают соответствие комплектности поверяемого экземпляра дозатора комплекту поставки (за исключением израсходованных наконечников и запасных частей при ремонте);
-
- визуально проверяют отсутствие на наружной поверхности дозаторов дефектов, влияющих на его работоспособность, а именно: сколов, вмятин и трещин на корпусе;
-
- визуально оценивают качество сменного наконечника, главным образом, гладкость и симметричность его сливного кончика, внутренней поверхности и верхней насадочной части.
-
6.2 Опробование
При опробовании проверяют:
-
- правильность работы механизма установки объема дозы дозаторов во всем диапазоне
-
- герметичность механизма формирования доз дозаторов и его стыковки с наконечником.
-
6.2.1 Проверку правильности работы механизма установки объема дозы дозаторов с варьируемым объемом доз проводят последовательной установкой дозы объема дозирования от наименьшего до наибольшего значения диапазона в соответствии с указаниями паспорта. При этом оценивают четкость переключений фиксированных значений объемов доз, четкость фиксации промежуточного упора при сливе дозы, а также плавность прямого и обратного хода штока (поршня) при дозировании и перестановке объемов доз. Заедание штока, нечеткость фиксации промежуточного упора и механизма дискретной установки дозы не допускается.
-
6.2.2 Проверку герметичности механизма формирования доз дозаторов и их стыковки с наконечниками проводят при наибольшем значении объема дозирования. В соответствии с указаниями паспорта, в наконечник поверяемого дозатора набирают дозу дистиллированной воды и удерживают ее в течение ЗОс.
Результат поверки считается положительным, если после выдержки в течение 30 сек дозатора в вертикальном положении, не происходит истечения жидкости из проверяемого наконечника, а после сброса сформированной дозы нажатием до отказа на кнопку узла дозирования не наблюдается капель на внутренней поверхности наконечника.
-
6.3 Определение метрологических характеристик
-
6.3.1 Определение относительного отклонения среднего арифметического значения фактического объема дозы от номинального.
-
Определение относительного отклонения среднего арифметического значения фактического объема дозы от номинального определяют весовым методом при дозировании дистиллированной воды ГОСТ 6709.
Для дозаторов с варьируемым объемом дозирования проверка проводится не менее чем в трех точках диапазона объемов доз, соответствующих наименьшему и наибольшему пределам дозирования, а также 0,5 значения наибольшего предела дозирования.
Определение относительного отклонения среднего арифметического значения фактического объема дозы от номинального проводят следующим образом:
-
- устанавливают стеклянный стаканчик с крышкой, наполовину наполненный водой на лабораторные весы;
-
- устанавливают на дозаторе конкретное значение дозируемого объема;
-
- надевают наконечник на посадочный конус дозатора и выполняют, с целью формирования дозы данного объема, забор воды дозатором и, отпустив кнопку, вынимают дозатор с наполненным наконечником из воды;
-
- убеждаются, что после выполнения первого цикла дозирования в течение 30 с, не происходит истечение воды из наконечника, после чего первую сформированную дозу сливают, нажав кнопку узла дозирования до второго упора;
-
- повторно выполняют забор воды дозатором для формирования следующей дозы, выполняют операцию тарирования весов и сливают сформированную дозу в стаканчик или бюкс, взвешивают сформированную дозу воды.
В каждой проверяемой точке диапазона проводят не менее 10 измерений отбираемых доз.
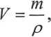
Значения фактического объема дозы, V, см3 определяют по формуле

где т - масса фактического объема дозы, г; р - плотность дистиллированной воды, г/см3.
Температуру воды определяют с помощью термометра, погрешность которого не более 0,1 °C.
Значения плотности воды, в зависимости от температуры приведены В таблице 3.
Таблица 3
Температура, °C |
20 |
21 |
22 |
23 |
24 |
25 |
Плотность, г/см3 |
0,998204 |
0,997992 |
0,997770 |
0,997538 |
0,997296 |
0,997045 |
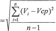
Для каждого канала дозирования в каждой из проверяемых точек диапазона дозирования определяют среднее арифметическое значение объема дозы по формуле
ср
п

П
(2)
где Vcp - среднее арифметическое значение объема дозы, мкл;
V - объем i-той дозы в j-том значении выбранного объема дозирования; мкл; п - число измерений.
Значение относительного отклонения среднего арифметического значения фактического объема дозы от номинального определяют по формуле


(3)
где V„oM - номинальный объем дозы, мкл;
д - относительное отклонение среднего арифметического значения фактического объема дозы от номинального, %.
Дозатор считается выдержавшим испытания, если отклонение среднего арифметического значения фактического объема дозы от номинального для каждого канала дозирования не превышает значений, указанных в таб. 4.
-
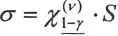
6.3.2 Определение относительного среднего квадратического отклонения фактического объема дозы при доверительной вероятности у=0,95 производится по методике п.6.3.1.
Значение среднего квадратического отклонения а для каждого канала дозирования определяют по формуле

2
(4)
где S - выборочное среднее квадратическое отклонение объема дозы;
— коэффициент, определяемый по приложению 4, ГОСТ 28311
V = п-1.
При п =10, у=0,95
<7=1,83-5,
(5)
Выборочное среднее квадратическое отклонение объема дозы S определяют по формуле

(6)
где S - выборочное среднее квадратическое отклонение объема дозы;
п - число измерений в каждой проверяемой точке диапазона дозирования. Относительное значение среднего квадратического отклонения фактического объема дозы 3, %, рассчитывают по формуле
£= — •100, V
ном
Дозатор считается выдержавшим испытания, если полученные значения относительного среднего квадратического отклонения не превышают значений, указанных в таб.4.
Основные технические характеристики механических дозаторов приведены в таблице 4.
Таблица 4
Наименование исполнения дозатора |
Объем дозирования, мкл |
Предел допускаемого относительного отклонения среднего арифметического значения фактического объема дозы от номинального, % |
Предел допускаемого относительного среднего квадратического отклонения фактического объема дозы, % |
Дискретность установки объемов, мкл |
1 |
2 |
3 |
4 |
5 |
Одноканальные с фиксированным объемом дозирования | ||||
10 мкл |
10 |
±2,5 |
3,0 | |
20 мкл |
20 |
±2,0 |
3,0 | |
25 мкл |
50 |
±2,0 |
3,0 | |
50 мкл |
25 |
±2,0 |
2,5 | |
100 мкл |
100 |
+ 1,5 |
2,0 | |
200 мкл |
200 |
±1,5 |
2,0 | |
250 мкл |
250 |
±1,5 |
2,0 | |
500 мкл |
500 |
+ 1,0 |
1,0 | |
1000 мкл |
1000 |
±1,0 |
1,0 | |
Одноканальные с переменным объемом дозирования | ||||
0,1 - 2,5 мкл |
0,1 |
±48,0 |
50,0 |
0,002 |
0,25 |
± 12,0 |
15,0 |
0,002 | |
1,25 |
±8,0 |
7,0 |
0,002 | |
2,5 |
±8,0 |
6,0 |
0,002 | |
0,5-10 мкл |
0,5 |
±8,0 |
7,0 |
0,01 |
1 |
±8,0 |
7,0 |
0,01 | |
5 |
±5,0 |
5,0 |
0,01 | |
10 |
±2,5 |
3,0 |
0,01 | |
2-20 мкл |
2 |
±8,0 |
6,0 |
0,02 |
10 |
±2,5 |
3,0 |
0,02 | |
20 |
±2,0 |
3,0 |
0,02 | |
10 - 100 мкл |
10 |
±3,0 |
3,0 |
0,1 |
50 |
±2,0 |
2,5 |
0,1 | |
100 |
+ 1,5 |
2,0 |
0,1 | |
20 - 200 мкл |
20 |
±2,5 |
3,0 |
0,2 |
100 |
+ 1,5 |
2,0 |
0,2 | |
200 |
+ 1,5 |
2,0 |
0,2 |
30 - 300 мкл |
30 |
±2,5 |
3,0 |
0,2 |
150 |
±1,5 |
2,0 |
0,2 | |
300 |
±0,5 |
2,0 |
0,2 | |
100 - 1000 мкл |
100 |
±3,0 |
1,0 |
1 |
500 |
±1,2 |
1,0 |
1 | |
1000 |
±1,0 |
1,0 |
1 | |
0,5 - 5 мл |
500 |
±2,4 |
1,0 |
5 |
2500 |
±1,2 |
1,0 |
5 | |
5000 |
±1,0 |
1,0 |
5 | |
1 - 10 мл |
1000 |
±3,0 |
1,0 |
10 |
5000 |
±1,2 |
1,0 |
10 | |
10000 |
±1,5 |
1,0 |
10 | |
Многоканальные с переменным объемом дозирования | ||||
0,5-10 мкл |
0,5 |
± 12,0 |
8,0 |
0,01 |
1 |
±8,0 |
7,0 |
0,01 | |
5 |
±5,0 |
5,0 |
0,01 | |
10 |
±2,5 |
3,0 |
0,01 | |
10 - 100 мкл |
10 |
±3,0 |
3,0 |
0,1 |
50 |
±2,0 |
2,5 |
0,1 | |
100 |
±1,5 |
2,0 |
0,1 | |
30 - 300 мкл |
30 |
±3,0 |
3,0 |
0,2 |
150 |
±1,5 |
2,0 |
0,2 | |
300 |
±1,5 |
2,0 |
0,2 |
7. ОФОРМЛЕНИЕ РЕЗУЛЬТАТОВ ПОВЕРКИ
-
7.1 При положительных результатах поверки дозаторов ставится отметка в паспорте с оттиском клейма поверителя или выдается свидетельство о поверке.
-
7.2 При отрицательных результатах поверки дозатор к эксплуатации не допускают, свидетельство о поверке аннулируют и выдают извещение о непригодности с указанием причин.
Приложение к свидетельству № 53057 об утверждении типа средств измерений
ОПИСАНИЕ ТИПА СРЕДСТВА ИЗМЕРЕНИЙ
Дозаторы пипеточные Eppendorf Research PlusНазначение средства измерений
Дозаторы пипеточные Eppendorf Research Plus предназначены для дозирования жидкостей в диапазоне объемов от 0,1 мкл до 10 мл.
Описание средства измерений
Принцип действия дозаторов пипеточных Eppendorf Research Plus основан на создании в съемном наконечнике, надеваемом на корпус дозатора, попеременно разряжения или избыточного давления. В результате чего в наконечник набирается или сливается из него дозируемая жидкость. Разряжение или избыточное давление создаются при перемещении плунжера в цилиндре. Номинальный объем дозирования задается регулятором объема дозы, устанавливающим ход поршня. Отбор доз и их слив производится нажатием кнопки управления.
Дозаторы одноканальные фиксированного объема выпускаются в И модификациях; дозаторы одноканальные переменного объема - в 10 модификациях; дозаторы многоканальные (8-канальные и 12-канальные) - в 6 “модификациях. Дозаторы отличаются диапазонами дозирования, вариантами исполнения корпуса, количеством каналов.
Значение установленного объема для дозаторов с переменным объемом отображается на дисплее, встроенном в корпус, а значение номинального объема дозы для дозаторов с фиксированным объемом маркируется на корпусе.
Дозаторы оснащены выталкивателем для сброса наконечника.
Пломбировка дозаторов не предусмотрена.

Рисунок 1 - Внешний вид дозаторов
Метрологические и технические характеристики
Наименование исполнения дозатора |
Объем дозирования, мкл |
ПределДопускаемого относительного отклонения среднего арифметического значения фактического объема дозы от номинального, % |
Предел допускаемого относительного среднего квадратического отклонения фактического объема дозы, % |
Дискретность установки объемов, мкл |
1 |
2 |
3 |
4 |
5 |
Одноканальные с фиксированным объемом дозирования | ||||
10 мкл |
10 |
±2,5 |
3,0 | |
20 мкл |
20 |
±2,0 |
3,0 | |
25 мкл |
25 |
±2,0 |
3,0 | |
50 мкл |
50 |
±2,0 |
2,5 | |
100 мкл |
100 |
±1,5 |
2,0 | |
200 мкл |
200 |
±1,5 |
2,0 | |
250 мкл |
250 |
± 1,5 |
2,0 | |
500 мкл |
500 |
± 1,0 |
1,0 | |
1000 мкл |
1000 |
± 1,0 |
L0 | |
Одноканальные с переменным объемом дозирования | ||||
0,1 - 2,5 мкл |
0,1 |
--±48,0 |
50,0 |
0,002 |
0,25 |
± 12,0 |
15,0 |
0,002 | |
1,25 |
±8,0 |
7,0 |
0,002 | |
2,5 |
±8,0 |
6,0 |
0,002 | |
0,5-10 мкл |
0,5 |
±8,0 |
7,0 |
0,01 |
1 |
±8,0 |
7,0 |
0,01 | |
5 |
±5,0 |
5,0 |
0,01 | |
10 |
±2,5 |
3,0 |
0,01 | |
2-20 мкл |
2 |
± 8,0 |
6,0 |
0,02 |
10 |
±2,5 |
3,0 |
0,02 | |
20 |
±2,0 |
3,0 |
0,02 | |
10 - 100 мкл |
10 |
±3,0 |
3,0 |
0,1 |
50 |
±2,0 |
2,5 |
0,1 | |
100 |
±1,5 |
2,0 |
0,1 | |
20 - 200 мкл |
20 |
±2,5 |
3,0 |
0,2 |
100 |
±1,5 |
2,0 |
0,2 | |
200 |
± 1,5 |
2,0 |
0,2 | |
30 - 300 мкл |
30 |
±2,5 |
3,0 |
0,2 |
150 |
±1,5 |
2,0 |
0,2 | |
300 |
±0,5 |
2,0 |
0,2 | |
100- 1000 мкл |
100 |
±3,0 |
1,0 |
1 |
500 |
± 1,2 |
1,0 |
1 | |
1000 |
±1,0 |
1,0 |
1 | |
0,5 - 5 мл |
500 |
±2,4 |
1,0 |
5 |
2500 |
±1,2 |
1,0 |
5 | |
5000 |
± 1,0 |
1,0 |
5 | |
1 - 10 мл |
1000 |
±3,0 |
1,0 |
10 |
5000 |
±1,2 |
1,0 |
10 | |
10000 |
± 1,5 |
1,0 |
10 |
Многоканальные с переменным объемом дозирования | ||||
0,5-10 мкл |
0,5 |
± 12,0 |
оо о |
0,01 |
1 |
±8,0 |
7,0 |
0,01 | |
5 |
±5,0 |
5,0 |
0,01 | |
10 |
±2,5 |
3,0 |
0,01 | |
10 - 100 мкл |
10 |
±3,0 |
3,0 |
0,1 |
50 |
±2,0 |
2,5 |
0,1 | |
100 |
±1,5 |
2,0 |
0,1 | |
30 - 300 мкл |
30 |
±3,0 |
3,0 |
0,2 |
150 |
±1,5 |
2,0 |
0,2 | |
300 |
±L5 |
2,0 |
0,2 |
Рабочие условия:
Температура окружающего воздуха, °C от +5 до +40
Относительная влажность, % от 10 до 95
Дополнительная погрешность в рабочих условиях при отклонении температуры окружающего воздуха от (22 ± 2) °C на каждые 10 °C составляет ±4,0 %.
Наименование |
Одноканальные дозаторы |
8-канальные дозаторы |
12-канальные дозаторы |
Габаритные размеры, мм |
228x60x39 |
238x60x83 |
238x60x120 |
Масса, кг, не более |
0,120 |
0,160 |
0,190 |
Усилие нажатия кнопки узла дозирования, Н, не более |
25 |
50 |
50 |
Знак утверждения типа
наносится на титульный лист Руководства по эксплуатации типографским способом.
Комплектность средства измерений
В комплект поставки входит:
Дозатор 1 шт.
Руководство по эксплуатации 1 шт.
Методика поверки 1 шт.
Сертификат 1 шт.
Инструмент для регулировки (торцевой ключ с синей ручкой) 1 шт.
Мини компакт диск 1 шт.
Черное стопорное кольцо для одноканальных дозаторов <1000 мкл 1 шт.
Красная регулировочная прокладка 5 шт.
Защитные фильтры для дозаторов объемом 5 мл и 10 мл 5 шт.
Инструмент для снятия уплотнительного кольца (для многоканальных дозаторов объемом 100 мкл и 300 мкл) 1 шт.
Инструмент для работы с предохранительной пробкой 1 шт.
Булавка для ослабления предохранительной пробки 1 шт.
Поверка
осуществляется по документу МП РТ 1932-2013 «Дозаторы пипеточные Eppendorf Research Plus. Методика поверки», утверждённому руководителем ГЦИ СИ ФБУ «Ростест-Москва» 15 апреля 2013 г.
Лист № 4 Всего листов 4 Средства поверки:
-
- весы лабораторные специального класса по ГОСТ Р 53228-08
-
- термометр до +50 °C с ц.д. 0,1 °C;
-
- термометр электронный с диапазоном измерения от 0 °C до +50 °C, ПГ ±0,2 °C.
Нормативные и технические документы, устанавливающие требования к дозаторам пипеточным Eppendorf Research Plus
ГОСТ Р 8.470.-82 «ГСИ. Государственная поверочная схема для средств измерений объёма жидкости».
ГОСТ 28311-89 «Дозаторы медицинские лабораторные. Общие технические требования и методы испытаний».
Техническая документация фирмы «Eppendorf AG», Германия.
Рекомендации по областям применения в сфере государственного регулирования обеспечения единства измерений
Осуществление деятельности в области здравоохранения; осуществление деятельности в области охраны окружающей среды; осуществление ветеринарной деятельности.
Заявитель
ООО «Эппендорф Раша», Россия
115054, г. Москва, ул. Бахрушина, дом 32, стр. 1
тел.: +7 (495) 743-51-23, +7 (495) 743-51-22; http://www.eppendorf.com
Изготовитель
«Eppendorf AG», Германия,
Barkhausenweg 1, 22339 Hamburg, Germany,
Tel.: +49 40 53801 737, Fax: +49 40/538 01 593, Email: eppendorf@eppendorf.com
Испытательный центр
ГЦИ СИ ФБУ «Ростест-Москва»
117418, г. Москва, Нахимовский пр., 31; info@rostest.ru, тел.: +7 (495) 544 00 00
Аттестат аккредитации ГЦИ СИ ФБУ «Ростест-Москва» по проведению испытаний средств измерений в целях утверждения типа№ 30010-10 от 15.03.2010 г.

Заместитель
Руководителя Федерального агентства по техническому регулированию и метрологии
ПРОШНУРОВАНО,
ПРОНУМЕРОВАНО
И СКРЕПЛЕНО ПЕЧАТЬЮ
У[WYlJbLM\ листов^ !

