Инструкция «Инструкция для поверки измерительных трасформаторов» (69-44)
КОМИТЕТ ПО ДЕЛАМ МЕР И ИЗМЕРИТЕЛЬНЫХ ПРИБОРОВ пои СОВЕТЕ МИНИСТРОВ СССР

Издание официальное



МОСКВА
1952

Ы|Ц»»»М'«Ч1МЦИИ Hij'iH..................................... I '
кбмйТЕт по делам мёр и измерительных Приборов при СОВЕТЕ МИНИСТРОВ СССР
ИНСТРУКЦИЯ 69-44ДЛЯ ПОВЕРКИ ИЗМЕРИТЕЛЬНЫХ ТРАНСФОРМАТОРОВ
Издание официальное
М б С К В А
1952
В настоящем издании инструкции 69—44 из текста и таблиц исключены к л. 0,7, 1,5, 5 в связи с их отменой с 1/1—1948 г., а также и к л. 10, как не применяемый в измерительной технике.
ИНСТРУКЦИЯ■ДЛЯ ПОВЕРКИ ИЗМЕРИТЕЛЬНЫХ ТРАНСФОРМАТОРОВ
Настоящая инструкция распространяется на измерительные трансформаторы тока и напряжения, предназначенные для работы в цепях переменного тока с частотой 50 герц, вновь изготовляемые, выходящие из ремонта и находящиеся в экс-плоатации.
Инструкция состоит из следующих разделов:
-
A. Основные определения
Б. Технические требования к устройству и применению
-
B. Допустимые погрешности
Г. Подготовка к поверке
Д. Поверка трансформаторов
Е. Клеймение и выдача документов.
А. Основные определения
-
1. Измерительные трансформаторы тока и напряжения применяются для преобразования подлежащих измерению переменных токов и напряжений в токи и напряжения удобные для измерения. Кроме этого измерительные трансформаторы служат для изоляции цепи измерительных приборов от цепей высокого напряжения.
-
2. Первичные и вторичные силы токов (напряжения), обозначенные на щитках измерительных трансформаторов, называются номинальными первичными и вторичными силами токов (напряжениями). Отношение первичной номинальной силы тока первичного номинального (напряжения) к вторичной номинальной силе тока (вторичному номинальному напряжению) называется номинальным коэфициентом трансформации т. е.
где: /i„; ; Мн,; £Ан—первичные и вторичные номинальные
силы токов и напряжений.
-
3. Отношение действительной величины силы первичного тока /j (напряжения к действительной величине силы вториЧного тока /2 (напряжения Ц) называется действительным коэфициентом трансформации, т. е.
4 и2
-
4. Произведение действительного значения силы вторичного тока (напряжения) на номинальный коэфициент трансформации называется приведенным значением вторичного тока Г2 (напряжения Uf2) т. е. Г2 — Кк12} U\ = KviU2.
-
5. Выраженное в процентах отношение разности между приведенным значением силы вторичного тока 1'2 (напряжения 5Л) и действительным значением силы первичного тока Л (напряжения Z7j) к действительному значению силы первичного тока (напряжения), называется погрешностью тока j\ (напряжения /и) т. е.
-
6. Угол между вектором первичного тока (напряжения) и повернутым на 180° вектором вторичного тока (напряжения) называется угловой погрешностью трансформатора тока ох (напряжения By). Угловая погрешность выражается в угловых минутах и считается положительной, когда повернутый на 180° вектор вторичного тока (напряжения) опережает вектор первичного тока (напряжения).
-
7. Нагрузка трансформатора тока определяется суммой сопротивлений проводов и приборов, присоединенных к вторичным зажимам, и выражается в й.
Нагрузка трансформатора напряжения определяется кажущейся мощностью, потребляемой при номинальном напряжении всеми приборами, присоединенными к вторичным зажимам, и выражается в вольт-амперах.
Номинальной нагрузкой измерительного трансформатора называется нагрузка его вторичной цепи, указанная на щитке.
-
8. По характеру применения измерительные трансформаторы подразделяются на стационарные и переносные.
-
9. По степени точности измерительные трансформаторы подразделяются на классы именуемые: для трансформаторов тока—• 0,2; 0,5; 1 и 3; и для трансформаторов напряжения 0,2; 0,5; 1; 3.
Б. Технические требования к устройству и применению измерительных трансформаторов напряжения. Переносные трансформаторы, а также все трансформаторы, выходящие из ремонта и находящиеся в эксплоата-ции должны удовлетворять всем требованиям настоящей инструкции.
-
11. На щитках трансформаторов должно быть обозначено, для вновь изготовленных трансформаторов тока:
а) марка завода-изготовителя;
б) наименование трансформатора--„трансформатор тока";
в) обозначение типа;
г) заводский номер;
д) год выпуска;
е) номинальное напряжение;
ж) номинальная частота (в герцах);
з) номинальный коэфициент трансформации (как отношение номинальных токов первичного и вторичного);
и) номинальная нагрузка;
к) класс точности;
л) испытательное напряжение;
м) термическая и динамическая устойчивость; только для транс
форматоров с напряжением 6 кв, и выше
н) ОСТ Эл-4-40.
Для вновь изготовленных трансформаторов напряжения:
а) марка завода-изготовителя;
б) наименование трансформатора—„трансформатор напряжения'1 и обозначение его типа;
в) заводский номер;
г) год выпуска;
д) число фаз;-
е) частота в герцах;
ж) род установки (внутр, или наружная);
з) номинальные напряжения первичной и каждой из вторичных обмоток;
и) классы точности и соответствующие им номинальные мощности;
к) максимальная мощность в вольтамперах;
л) мощность дополнительной обмотки (если она имеется).
м) вес трансформатора в кг;
н) ГОСТ 1983-43.
Для трансформаторов тока и напряжения, выпускаемых из ремонта и находящихся в эксплоатации:
а) завод-изготовитель или ремонтирующая организация;
б) заводский номер;
в) номинальные первичные и вторичные токи или напряжения;
г) номинальное напряжение (для тр-ров тока на 3 кв и выше);
д) класс точности;
е) номинальная мощность (или номинальная нагрузка).
-
12. Трансформаторы, не имеющие обозначения номинального коэфициента трансформации, класса точности и номинальной нагрузки к применению в качестве измерительных не допускаются и в поверку не принимаются.
Примечание. Трансформаторы, не имеющие обозначения класса точности и номинальной нагрузки, установленные до издания настоящей инструкции, могут оставаться в работе до ремонта, требующего снятия трансформаторов.
-
13. Трансформаторы должны иметь четкие и прочные обозначения всех зажимов первичной и вторичной обмоток.
-
14. Многопредельные трансформаторы должны иметь обозначения, указывающие включения их на различные пределы измерения или к ним должны быть приложены соответствующие схемы.
-
15. На трансформаторах тока, у которых при размыкании вторичной обмотки и при прохождении по первичной номинального тока, максимальное значение напряжения на вторичной обмотке превышает 500 в, должна быть надпись, указывающая на опасность размыкания вторичной цепи трансформатора.
-
16. Изоляция первичной обмотки трансформаторов тока и напряжения, находящихся в эксплоатаций, а также выходящих из ремонта, должна выдерживать в течение 1 минуты напряжение переменного тока равное 75% от испытательного напряжения, указанного на щитке трансформатора.
В тех случаях, когда испытательное напряжение не указано, стационарные трансформаторы испытываются напряжением, указанным в таблице 1. Переносные трансформаторы, на щитке которых не указано испытательное напряжение, испытываются напряжением, указанным владельцем трансформатора.
Таблица 1
Испытательные напряжения стационарных трансформаторов тока и напряжения, выходящих из ремонта и находящихся в эксплоа-тации
Номинальное напряжение трансформатора в кв |
0,38 и 0,5 |
3 3 |
6 6 |
10 10 |
15 15 |
20 20 |
35 35 ”vT |
но тока |
ПО напряжен. | |
тр-ры тока |
тр-ры напряжения | |||||||||
V 3 |
V3 |
V3 |
V3 |
3 | ||||||
Испытательное напряжение в кв (эффективное значение) .... |
2,5 |
4,5 |
18 |
24 |
31,5 |
41 |
49,5 |
71,5 |
195 |
172 |
-
17. Изоляция вторичных обмоток трансформаторов тока и напряжения должна выдерживать в течение 1 минуты испытательное напряжение в 2 кв.
При наличии двух вторичных обмоток испытанию электрической прочности изоляции подвергается каждая из них. При испытании одной из вторичных обмоток, другая соединяется электрически с корпусом.
-
18. Нагрузка вторичной цепи установленных измерительных трансформаторов не должна превышать номинальную нагрузку их более чем на 20%.
-
19. Нельзя допускать размыкания вторичной цепи трансформатора тока при протекании тока по его первичной обмотке.
-
20. Измерительные трансформаторы подлежат обязательной государственной поверке и клеймению осуществляемым органами Комитета по делам мер и измерительных приборов при СМ СССР в установленные Комитетом сроки.
-
21. Помимо обязательной государственной поверки, производимой органами Комитета по делам мер и измерительных приборов, измерительные трансформаторы, находящиеся в экс-плоатации, подлежат обязательной поверке, осуществляемой предприятиями, учреждениями и организациями, применяющими трансформаторы в сроки, согласованные с органами Комитета.
Обязательная поверка, производимая предприятиями, должна вестись в соответствии с настоящей инструкцией.
В. Допустимые погрешности трансформаторов
-
22. Погрешности трансформаторов тока и напряжения не должны превышать величин, указанных в таблицах 2 и 3.
Таблица 2
Допустимые погрешности трансформаторов тока
Класс точности |
Сила тока в первичной обмотке в процентах от номинальной |
Максимальное значение | |
погрешности тока Б °/о°/о |
угловой погрешности в минутах | ||
0,2 |
от 120 до 100 |
±0,20 |
± ю |
50 |
±0,30 |
± 13 | |
20 |
± 0,35 |
± 15 | |
10 |
±0,5 |
± 20 | |
0,5 |
от 120 до 100 |
±0,50 |
± 40 |
50 |
±0,65 |
± 45 | |
20 |
±0,75 |
± 50 | |
10 |
±1,0 |
± 60 |
Класс точности |
Сила тока в первичной обмотке в процентах от номинальной |
Максимальное значение | |
погрешности тока В %% |
угловой погрешности в минутах | ||
1 |
от 120 до 100 |
±1,0 |
± 80 |
50 |
±1,3 |
± 90 | |
20 |
±1,5 |
±100 | |
10 |
±2,0 |
±120 | |
3 |
от 120 до 50 |
±3 |
не нормируется |
Таблица 3
Допустимые погрешности измерительных трансформаторов напряжения
Класс точности |
Напряжение в процентах от номинального |
Максимальные значения | |
Погрешности напряжения в процентах |
Угловой погрешности в минутах | ||
0,2 |
90 100 110 |
±0,2 |
± 10 |
0,5 |
90 100 110 |
± 0,5 |
± 20 |
1 |
90 100 110 |
± 1,0 |
± 40 |
3 |
100 |
± 3,0 |
не нормируется |
Г. Подготовка к поверке
-
23. Государственная поверка измерительных трансформаторов не производится, если при осмотре их будет обнаружено наличие хотя бы одного из следующих дефектов:
а) отсутствие или повреждение .зажимов первичной или вторичной обмотки;
б) отсутствие или недостаточная четкость, ясность или прочность обозначения зажимов;
в) отсутствие щитка;
г) недостаточное заполнение маслом бака трансформатора с масляной изоляцией или течь масла из-за дефектов бака;
д) недостаточно прочное крепление отдельных частей трансформатора;
е) отсутствие на щитке надписей, указанных в п. 2;
ж) отсутствие болта для заземления с соответствующим обозначением (для стационарных тр-ров).
-
24. Все измерительные трансформаторы, выпускаемые из производства или ремонта, перед определением погрешностей должны быть подвергнуты испытанию на прочность изоляции. Как правило это испытание производится контрольными органами завода-изготовителя или ремонтной мастерской. При государственной поверке трансформаторов, находящихся в эксплоатации, испытание изоляции производится лишь тогда, когда в результате внешнего осмотра появились сомнения в исправном состоянии изоляции.
-
25. Испытание изоляции трансформаторов производится переменным током, напряжение которого выбирается для трансформаторов, находящихся в эксплоатации и выходящих из ремонта, в соответствии с п. 15 настоящей инструкции, а для вновь изготовленных в соответствии с действующим стандартом.
При испытании испытательное напряжение прикладывают одним полюсом к обмотке, изоляцию которой испытывают; другой полюс присоединяют к остальным обмоткам, соединенным вместе и заземленным. При этом болт для заземления, а также все доступные металлические части трансформатора, изолиро? ванные от обмотки, изоляция которой испытывается, должны быть заземлены. Изоляция трансформаторов считается удовлетворительной, если при испытательном напряжении не происходит ни пробоя изоляции, ни перекрытия по изолятору вывода. Коронирование (потрескивания, свечения в темноте, мелкие искорки на изоляторах около крепящих флянцев) не являются признаком неудовлетворительности изоляции.
-
26. Поверка измеритель- т
ных трансформаторов мо- л

Рис. 1
тельным методом — путем сличения поверяемого трансформатора с образцовым, или абсолютными методами, в которых для определения погрешностей трансформаторов в качестве образцовых элементов применяют
жет производиться относи-образцовые безреактивные
сопротивления (шунты для трансформаторов тока, делители напряжения для трансформаторов напряжения).
Поверка измерительных трансформаторов кл. 0,2; 0,5 и 1 производится при помощи приборов или установок, специально предназначенных для поверки трансформаторов тока и напряжения
и имеющих шкалы, по которым отсчитывают измеряемые погрешности коэфициента трансформации и угловые (например— диференциальные приборы системы А. Д. Нестеренко, компенсационные установки по схеме Шеринга-Альберти и т. п.). Поверка трансформаторов класса 3 может производиться без специальной аппаратуры по схемам рис. 1, 2, 3 и 4, где Тх и То поверяемый и образцовый трансформаторы, //—сопротивление, которым нагружен поверяемый трансформатор во время поверки.
Установка для поверки измерительных трансформаторов должна содержать:
~7Г^ |
— |
1———— ■ ... | ||
т 'X |
—aaaaAa-гАллл/wi |

Рис. 2
а) образцовые трансформаторы (при относительном методе поверки) или наборы образцовых сопротивлений (при абсолютном методе),
б) прибор для измерения погрешностей с необходимыми вспомогательными элементами (в частности с нулевым прибором переменного тока, если применяется нулевой метод измерения);
в) магазины активных и реактивных сопротивлений для нагрузки вторичных цепей поверяемых трансформаторов во время поверки,
г) амперметры (вольтметры) для установки при поверке нужных значений тока (напряжения) в поверяемом и образцовом трансформаторах,
д) понизительный трансформатор для питания схемы поверки трансформаторов тока и повысительный трансформатор для питания схемы поверки трансформаторов напряжения,
е) регулирующее устройство для регулирования тока (напряжения) в поверяемом и образцовом трансформаторах.
Примечание. В зависимости от вида применяемой аппаратуры, указанные выше части установки могут состоять из нескольких отдельных приборов или устройств.

На рис. 5 изображена схема внешних соединений аппаратуры и схема диференциального прибора для случая поверки трансформаторов тока диференциальными приборами системы А. Д. Нестеренко (типа АТТ-5 или АТТД-2) Киевского завода электротехнической аппаратуры (КЗЭТА), получившими распространение в СССР.

На рис. 6 изображена схема поверки трансформаторов напряжения при помощи тех же приборов, дополненных специальной приставкой Московского государственного института мер и измерительных приборов.

Рис. 5
Здесь Тх, То — поверяемый и образцовый трансформаторы^ П—диференциальный прибор системы А. Д. Нестеренко, в котором
М — воздушный трансформатор,
S — диференциальная ветвь прибора,
F — измеритель (реохорд) с шкалой погрешностей коэфици-ента трансформации,
D — измеритель (реохорд) с шкалой угловых погрешностей,,
ПР — приставка к прибору системы Нестеренко для поверки им трансформаторов напряжения,
ВГ — вибрационный гальванометр,
A (v) ■— амперметр (вольтметр) для контроля правильности включения поверяемого и образцового трансформаторов,
A0(v0)— амперметр (вольтметр) для установки первичного тока (напряжения),
//—магазин для нагрузки поверяемого трансформатора, Т — питающий трансформатор,
Р— регулировочное устройство.

-
27. Приборы для поверки измерительных трансформаторов, образцовые сопротивления, а также сопротивления, служащие для создания вторичных нагрузок трансформаторов, должны иметь свидетельства о государственной поверке их органами Комитета.
-
28. Трансформаторы тока и напряжения, применяемые при поверке в качестве образцовых должны быть более высокого класса точности, чем поверяемые, но не ниже класса 0,5. Допускается при поверке трансформаторов напряжения классов 0,2 и 0,5 применение в качестве образцовых, трансформаторов того же класса, что и поверяемые.
При поверке трансформаторов тока классов 0,2 и 0,5 в качестве образцовых следует применять трансформаторы тока не ниже класса 0,2.

Рис. 7
-
29. При поверке трансформаторов тока класса 3 по схеме рис. 3 в качестве образцовых следует применять трансформаторы тока с номинальным первичным током не меньшим, чем номинальный первичный ток поверяемого трансформатора и не превышающим его больше чем в 1,5 раза.
При поверке трансформаторов напряжения класса 3 по схеме рис. 4 в качестве образцовых следует применять трансформаторы, коэфициенты трансформации которых отличаются от коэ-фициентов трансформации поверяемого не более чем на + 10%.
-
30. Трансформаторы применяемые в качестве образцовых должны иметь свидетельства о государственной поверке их органами Комитета. В свидетельстве должны быть указаны погрешности трансформатора. Нагрузка вторичной цепи- образцового трансформатора во время поверки не должна отличаться от той, при которой были определены его погрешности, более чем на ± ю%.
-
31. Для поверки трансформаторов класса 3 следует применять амперметры или вольтметры не ниже класса 0,5, имеющие свидетельства о государственной поверке. В свидетельстве должны быть указаны поправки прибора.
Примечание. При поверке трансформаторов методом, описанным в п. 40 настоящей инструкции, можно применять амперметры или вольтметры, имеющие свидетельства без указания поправок.
-
32. При поверке высоковольтных трансформаторов напряжения, а также при испытании изоляции, должны строго соблюдаться требования техники безопасности для работы на высоком напряжении.
-
33. Перед поверкой трансформаторов класса 3 методом амперметра (вольтметра) следует проверить правильность обозначения зажимов трансформатора при помощи аккумулятора и милливольтметра магнито-электрической системы по схеме рис. 7.
При правильном обозначении зажимов стрелка милливольтметра отклоняется в нормальную сторону в момент присоединения провода к положительному зажиму аккумулятора.
Разрешается также применение других методов проверки правильности обозначения зажимов.
-
34. Трансформаторы тока непосредственно перед поверкой их подвергаются размагничиванию, которое производится одним из следующих способов:
а) вторичную обмотку замыкают на сопротивление порядка 10 S, после этого через первичную обмотку пропускают ток, силой равной номинальной и затем плавно уменьшают его до нуля;
б) размыкают вторичную цепь трансформатора и приключают к зажимам его вторичной обмотки вольтметр. Пропускают через первичную обмотку трансформатора такой ток, при котором напряжение, измеряемое этим вольтметром, будет порядка 50 б; затем плавно уменьшают его до нуля;
Таблица 4
Значения токов и напряжений, при которых производится поверка
Вид трансформатора |
Нагрузка |
Значения токов и напряжений в °/о°/о от номинальных значений |
Трансформаторы тока класса 0,2; 0,5; |
Номинальная |
10; 20; 50; 100*) |
1; 1,5 |
0,25 от номинальной |
100*) |
Трансформаторы тока кл. 3 |
Номинальная |
50; 100; |
0,25 от номинальной |
100 | |
Трансформаторы напряжения кл. 0,2; 0,5; 1 |
Номинальная 0,25 от номинальной |
90; 100; НО 100 |
Трансформаторы напряжения кл. 3 |
Номинальная 0,25 от номинальной |
100 100 |
*) При поверке трансформаторов при выпуске их из производства, поверку ведут при 120о/0 вместо 1ООО/о.
в) через первичную или вторичную обмотку при разомкнутой другой обмотке пропускают ток силой в 10% от номинального и затем плавно уменьшают силу тока до нуля.
Последний способ не следует применять для размагничивания трансформаторов, на которых имеется надпись, указывающая на опасность размыкания их вторичной цепи.
Д. Поверка трансформаторов
-
35. Поверка трансформаторов тока и напряжения производится при двух нагрузках:
а) номинальной с коэфициентом мощности
cos? = 0,8
б) 0,25 от номинальной с коэфициентом мощности
cos ? = 0,8
Значения сил токов и напряжений, при которых производится поверка, указаны в таблице № 4.
II р и меча п и е. Для трансформаторов тока с номинальной нагрузкой меньшей 0,6 Q вместо поверки при нагрузке 0,25 номинальной производит поверку при нагрузке 0,15 Q .
-
36. При невозможности по техническим причинам при поверке трансформаторов тока с номинальными первичными токами 1000А и выше получить ток равный номинальному, можно ограничиться поверкой при меньших токах, но не меньших 50% от номинального.
-
37. При массовой поверке вновь изготовленных стационарных трансформаторов, с разрешения Комитета допускается производить поверку при меньшем числе значений сил токов и напряжений, а также при иных нагрузках, чем это указано в п. 36. При этом для каждого типа трансформаторов должны быть установлены такие пределы допустимых погрешностей, которые обеспечивали бы соответствие трансформаторов требованиям п. 22 настоящей инструкции при нагрузках, указанных в п. 35.
-
38. Образцовые измерительные трансформаторы, являющиеся по поверочной схеме предприятия исходными, а также трансформаторы, при применении которых необходим учет их погрешностей, должны быть помимо нагрузок, указанных в п, 35 дополнительно поверены при нагрузке, соответствующей условиям их работы в установках, для которых они предназначены.
-
39. Измерительные трансформаторы, не удовлетворяющие требованиям, предъявляемым к трансформаторам класса 0,5, но установленные со счетчиками электрической энергии, имеющими клеймо, удостоверяющее, что погрешности счетчика не превышают допустимых для счетчиков 1-го класса, должны быть
при поверке их на месте установки поверены при фактической нагрузке. При этом после поверки госповерителем составляется акт, в котором указывается фактическая нагрузка трансформатора, его класса точности при этой нагрузке и делается заключение о допустимости оставления трансформатора в схеме учета электрической энергии, без совместной поверки всего измерительного комплекта.
-
40. Поверка трансформаторов тока (напряжения) методом амперметра (вольтметра) по схемам 3, 4 в тех случаях, когда номинальные коэфициенты трансформации поверяемого и образцового трансформаторов совпадают, производится в следующем порядке: перед поверкой трансформаторов делается предварительное сличение между собой амперметров (вольтметров). При этом один амперметр (вольтметр) принимается неимеющим погрешностей. Сличение амперметров делается в точках шкалы соответствующих силе тока в 100 и 50% номинальной силы тока вторичной цепи трансформатора тока (5а и 2,5а). Сличение вольтметров производится при напряжении, соответствующем 100% номинального вторичного напряжения трансформатора напряжения. Устанавливая по прибору, который принят неимеющим погрешностей, указанные значения силы тока (напряжения), отмечают показания другого прибора с^. После этого включают приборы, поверяемый и образцовый трансформаторы по схемам рис. 3, 4 и опять устанавливают на первом ■ приборе (который принят неимеющим погрешностей), включенном во вторичную цепь образцового трансформатора, те же значения силы тока (напряжения) и записывают показания другого прибора а2.
-
41. У трехфазных трансформаторов напряжения поверяется каждая фаза отдельно, но первичное напряжение должно быть подано на все три фазы и вторичные обмотки должны быть равномерно нагружены.
-
42. При поверке трансформаторов тока с двумя вторичными обмотками, неповеряемая вторичная обмотка должна быть замкнута накоротко.
-
43. Определение погрешностей поверяемого трансформатора производится дважды: один раз при увеличении силы тока или напряжения и второй раз при уменьшении. При наибольшем значении силы тока и напряжения поверка производится один раз.
Увеличение и уменьшение силы тока или напряжения следует производить плавно.
-
44. При пользовании приборами или установками специально предназначенными для поверки измерительных трансформаторов следует строго придерживаться соответствующих инструкций по пользованию ими.
Цена наименьшего деления шкал применяемых приборов не должна превышать значений, указанных в таблице 5.
Таблица. 5
Цена наименьшего деления шкалы приборов для поверки измерительных трансформаторов
Поверяемые трансформаторы |
Цепа наименьшего деления шкалы прибора | |
погрешностей тока и напряжении |
угловых погрешностей | |
Трансформаторы класса 0,2 |
О,О5О/о |
1' |
Трансформаторы класса | ||
0,5; 1,0 п 1,5...... |
ол% |
2' |
-
45. Расхождение в отсчетах, полученных при увеличении и уменьшении силы тока при поверке трансформаторов тока (при помощи приборов для поверки измерительных трансформаторов), не должно превышать величин, указанных в таблице 6. Допустимые расхождения при поверке трансформаторов напряжения указаны в табл. 7.
Таблица б
Допустимые расхождения в отсчетах, полученных при увеличении и уменьшении силы тока
Сила тока в % от поминальной |
Допустимые расхождения в отсчетах | |||||
токовых погрешностей в % |
угловых погреши, в минутах | |||||
кл. 0,2 |
кл. 0,5 |
кл. 1 |
кл. 0,2 |
кл. 0,5 |
кл. 1 | |
10 |
0,1 |
0,2 |
0,2 |
2 |
10 |
10 |
20, 50, 100 и 120 |
0,05 |
0,1 |
0,1 |
1 |
5 |
10 |
Таблица 7
Допустимые расхождения в отсчетах при поверке трансформаторов напряжения при увеличении и уменьшении напряжений
Поверяемые трансформаторы |
Допустимые расхождения отсчетов | |
погрешностей напряжения |
угловых погрешностей | |
Трансформаторы напряже- |
0,05% |
1' |
иия класса 0,2..... | ||
Тоже классов 0,5 и 1,0 . . |
0,1% |
5' |
При расхождениях отсчетов больше указанных в табл. 6 и табл. 7 следует повторить измерения и выяснить причину рас-
хождений. Если установка окажется в исправности и будет достигнута уверенность в отсутствии субъективных ошибок, а расхождения останутся больше допустимых, то поверяемые трансформаторы должны быть признаны непригодными к применению.
-
46. Вычисление погрешностей поверяемого трансформатора при поверке приборами для поверки измерительных трансформаторов производится по следующим формулам:
/=Ар+/0; ° = °ср + ®о
где /и о — значения погрешностей тока (напряжения) и угловой,
Ар и оср — среднее арифметическое значение отсчетов по шкале прибора полученных при увеличении и уменьшении тока (напряжения),
f о и 30 — погрешности образцового трансформатора. Результаты округляют соответственно таблице 8.
Таблица 8
Точность, с которой указываются погрешности поверенных трансфор-
маторов | ||
Класс точности поверен- |
Погрешности поверенных трансформаторов | |
указываются с |
округлением | |
иого трансформатора |
для погрешностей тока и напряжения |
для угловых погрешностей до: |
0,2 |
о,ою/0 |
0,5' |
0,5 |
0,05% |
1' |
1 |
О,Ю/о |
5' |
-
47. При поверке измерительных трансформаторов по схеме рис. 3,2 при помощи образцовых амперметров (вольтметров) погрешности тока (напряжения) определяются по следующим формулам:
Л = . ioo%; A = . 100%
где Ц; !«'> % —показания амперметров (вольтметров), ис
правленные согласно таблиц поправок, данных в свидетельствах на эти приборы, а Кн — номинальный коэфициент трансформации поверяемого трансформатора.
-
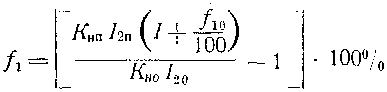
48. Вычисление погрешностей при поверке по схемам рис. 3,4 при неодинаковых коэфициентах трансформации поверяемого и образцового трансформаторов производится по формулам:

к..%+^)
7бн0 ^20
100%
где Лип; Яно - номинальные коэфициенты трансформации
поверяемого и образцового трансформаторов;
/20; /2п; Uw-, L72n — значение силы тока (напряжения) во вторичных обмотках образцового и поверяемого трансформаторов, определенные по показаниям приборов с учетом поправок, данных в свидетельствах на эти приборы;
/ю; Л10 ~ погрешность тока (напряжения) образцового трансформатора тока (напряжения).
-
49. Вычисление погрешностей тока (напряжения) при поверке способом, указанным в п. 40, производится по формуле: где /0 — погрешность тока (напряжения) образцового трансформатора тока (напряжения).
Е. Клеймение и выдача документов
-
50. Измерительные трансформаторы, удовлетворяющие п.п. 11, 13, 16, 17 и 23 и имеющие при нагрузках, равных номинальной и 0,25 от номинальной, погрешности, не превышающие допустимых для указанного на трансформаторе класса, признаются годными к применению.
-
51. На стационарные трансформаторы всех классов, а также на переносные трансформаторы классов 1 и 3, признанные пригодными к применению, накладывается поверительное клеймо.
-
52. На переносные трансформаторы тока и напряжения класса 0,5 и выше, признанные пригодными к применению, выдается свидетельство установленной формы.
В свидетельствах на образцовые трансформаторы, являющиеся по поверочной схеме предприятия исходными, указываются их погрешности при всех нагрузках, при которых они были поверены.
-
53. Трансформаторы тока и напряжения, не удовлетворяющие требованиям настоящей инструкции, признаются непригодными и к применению в качестве измерительных не допускаются.
14
17
БЦ 16686. Подписано к печати 4/IX 52 г. Объем 1,25 п. л. Тираж 3000.
Тип. ХГИМИГ1. Харьков, ул. Дзержинского, 40, Зак. 188,
- Строка
Напечатано
Должно быть
13 снизу
9 сверху
1; 1,5
0,5; 1,0 и 1,5 .. .
1
0,5 и 1,0
Вновь изготовленные трансформаторы должны удовлетворять всем требованиям действующих стандартов: ОСТ‘у Эл. 4—40 на трансформаторы тока и ГОСТ'у 1983—43 на трансформаторы