Методика поверки «ГСИ. Системы КОМПАКС®» (КОБМ.421451.017 МП)
СОГЛАСОВАНО
Зам. директора по метрологии
ФБУ «Омский ЦСМ»

Государственная система обеспечения единства измерений Системы КОМПАКС®
МЕТОДИКА ПОВЕРКИ с изменением № 2
КОБМ.421451.017 МП
Содержание
-
-
7.4 Определение метрологических характеристик
-
7.4.1 Определение основной относительной погрешности измерений СКЗ параметров
-
-
7.4.2 Определение метрологических характеристик каналов измерений параметров
относительной вибрации и расстояния до контролируемой поверхности
-
7.4.3 Определение основной абсолютной погрешности измерений температуры
(без учета погрешности термопар)
-
7.4.4 Определение метрологических характеристик каналов измерений силы тока
-
7.4.5 Определение метрологических характеристик каналов измерений давления
-
7.4.6 Определение метрологических характеристик каналов измерений
частоты вращения и частоты следования импульсов
-
7.4.7 Определение метрологических характеристик каналов измерений напряжения
-
7.4.8 Определение метрологических характеристик каналов измерений линейного
-
7.4.9 Определение метрологических характеристик каналов измерений параметров
-
7.4.10 Определение метрологических характеристик каналов измерений силы
переменного тока высокой частоты
Настоящая методика поверки распространяется на системы КОМПАКС ’ и ее исполнения (далее - системы) и устанавливает методы и средства их первичной и периодической поверок.
Интервал между поверками - три года.
1 Операции поверки-
1.1 При проведении поверки должны выполняться операции, приведенные в таблице 1.
Таблица 1 - Операции поверки
Наименование операции |
Номер пункта методики поверки |
Внешний осмотр |
7.1 |
Опробование |
7.2 |
Идентификация программного обеспечения |
7.3 |
Определение метрологических характеристик: |
7.4 |
- определение основной относительной погрешности измерений | |
СКЗ параметров абсолютной вибрации |
7.4.1 |
- определение метрологических характеристик каналов измерений | |
параметров относительной вибрации и расстояния до контролируемой | |
поверхности |
7.4.2 |
- определение основной абсолютной погрешности измерений температуры | |
(без учета погрешности термопар) |
7.4.3 |
- определение метрологических характеристик каналов измерений силы тока |
7.4.4 |
- определение метрологических характеристик каналов измерений давления |
7.4.5 |
- определение метрологических характеристик каналов измерений частоты | |
вращения и частоты следования импульсов |
7.4.6 |
- определение метрологических характеристик каналов измерений напряжения |
7.4.7 |
- определение метрологических характеристик каналов измерений | |
линейного перемещения |
7.4.8 |
- определение метрологических характеристик каналов измерений | |
параметров импульсного сигнала |
7.4.9 |
- определение метрологических характеристик каналов измерений | |
силы переменного тока высокой частоты |
7.4.10 |
1.2 Необходимость проведения операций 7.4.1-7.4.10 определяется в соответствии
с конфигурацией системы (наличием соответствующих измерительных каналов).
-
1.3 Допускается проведение поверки в части отдельных измерительных каналов в соответствии с заявлением владельца средства измерений.
-
1.4 Если при проведении той или иной операции поверки получен отрицательный результат, поверку прекращают, система признается непригодным к дальнейшей эксплуатации, выдается извещение о непригодности, с указанием причин непригодности.
-
2.1 При проведении поверки применяют основные и вспомогательные средства поверки, приведенные в таблице 2.
Таблица 2 - Основные и вспомогательные средства поверки
Номер пункта методики поверки |
Наименование и тип основного или вспомогательного средства поверки; обозначение нормативного документа, регламентирующего основные технические требования и (или) метрологические и основные технические характеристики средства поверки |
7.2, 7.4.1 |
Преобразователь пьезоэлектрический 8305: диапазон измерений виброускорения от 0,1 до 10000 м/с2;
генератор сигналов 1049:
станция для калибровки преобразователей вибрации 9155D-831:
|
Продолжение таблицы 2
Номер пункта методики поверки |
Наименование и тип основного или вспомогательного средства поверки: обозначение нормативного документа, регламентирующего основные технические требования и (или) метрологические и основные технические характеристики средства поверки |
7.2, 7.4.2 |
Калибратор 8003:
индикатор часового типа ИЧ-10 по ГОСТ 577-68:
имитатор объекта КОБМ.466211.001; имитатор перемещений КОБМ.442269.002; устройство для тарировки датчиков перемещения КОБМ.441465.004: |
приспособление для крепления датчиков перемещения КОБМ.442253.001 | |
7.2, 7.4.3 |
Калибратор 8003:
мультиметр цифровой 34410А:
|
7.2, 7.4.4. |
Мультиметр с системой сбора данных и коммутации 34970А: |
A: ±(0,03-10-R+0,02-102-R-( 1 +КА)-( 1 +|Q|)-( 1+КВ+КС)) Ом; калибратор Metrahit 18С:
шунт измерительный стационарный взаимозаменяемый 75ШСМ.М: | |
| |
7.2, 7.4.5 |
Манометр грузопоршневой:
калибратор давления Fluke 718Ех:
|
Продолжение таблицы 2
Номер пункта методики поверки |
Наименование и тип основного или вспомогательного средства поверки: обозначение нормативного документа, регламентирующего основные технические требования и (или) метрологические и основные технические характеристики средства поверки |
7.2, 7.4.6 |
Частотомер электронносчетный 43-57:
|
7.2, 7.4.7 |
Мультиметр цифровой 34410А:
|
7.2, 7.4.8 |
Линейка измерительная металлическая по ГОСТ 427-75: |
| |
7.2, 7.4.9 |
генератор сигналов произвольной формы 33521 А:
делитель:
|
7.2, 7.4.10 |
Генератор сигналов произвольной формы АКИП-3402:
мультиметр цифровой 34410А:
|
7.1-7.4 |
Термометр по ГОСТ 28498-90:
|
Продолжение таблицы 2
Номер пункта методики поверки |
Наименование и тип основного или вспомогательного средства поверки: обозначение нормативного документа, регламентирующего основные технические требования и (или) метрологические и основные технические характеристики средства поверки |
7.1-7.4 |
Психрометр аспирационный МВ-4-М:
|
7.1-7.4 |
Барометр-анероид контрольный М-67:
|
* где D - измеренное значение. В; Е - предел измерений. В: f- частота сигнала. Гц |
Таблица 2 (Измененная редакция, Изм. № 2)
-
2.2 Все средства измерений должны быть исправны, поверены и иметь действующие свидетельства о поверке или оттиск поверительного клейма на приборе или в технической документации.
-
2.3 Допускается применение аналогичных средств поверки, обеспечивающих определение метрологических характеристик систем с требуемой точностью.
Поверку систем осуществляют аккредитованные в соответствии с законодательством Российской Федерации об аккредитации в национальной системе аккредитации юридические лица и индивидуальные предприниматели. К проведению поверки допускаются лица, изучившие руководство по эксплуатации на системы КОБМ.421451.017 РЭ, эксплуатационную документацию на средства их поверки и настоящую методику поверки.
4 Требования безопасностиПри проведении поверки необходимо соблюдать требования безопасности, предусмотренные «Правилами технической эксплуатации электроустановок потребителей» и ГОСТ 12.2.007.0-75 «ССБТ. Изделия электротехнические. Общие требования безопасности».
5 Условия поверки-
5.1 Первичная поверка систем проводится в нормальных условиях:
-
- температура окружающего воздуха. °C (20±5);
-
- относительная влажность окружающего воздуха. % от 30 до 80:
-
- атмосферное давление. кПа (мм рт. ст.) от 84 до 106 (от 630 до 795);
-
- частота питающей сети. Гц 50,0±0.5;
-
- напряжение питающей сети переменного тока. В 230±23;
-
- форма кривой переменного напряжения питающей сети синусоидальная.
-
5.2 Периодическая поверка систем проводится на месте эксплуатации.
Подготовить к работе основные и вспомогательные средства поверки в соответствии с требованиями их эксплуатационной документации.
-
7 Проведение поверки
-
7.1.1 Внешним осмотром проверить:
-
- отсутствие механических повреждений на корпусах первичных преобразователей (датчиков), адаптеров, измерительных модулей;
-
- отсутствие механических повреждений соединительных кабелей и разъемов;
-
- наличие заземления электрооборудования;
-
- наличие контрольных пломб;
-
- соответствие комплектности системы требованиям, приведенным в эксплуатационной документации.
-
7.1.2 Не допускаются к дальнейшей поверке системы, у которых при осмотре выявлены следующие несоответствия или дефекты:
-
- отсутствует эксплуатационная документация;
-
- комплектность комплекса не соответствует требованиям, приведенным в эксплуатационной документации;
-
- отсутствуют или повреждены корпусные детали первичных преобразователей (датчиков), адаптеров, измерительных модулей, кабели или разъемы;
-
- внутри корпусов компонентов системы имеются незакрепленные части.
-
7.2.1 Проверить напряжение питания, которое должно быть (230±23) В. Проверить частоту питающего напряжения, которая должна быть (50,0±0,5) Гц.
-
7.2.2 Собрать схему опробования системы проверки измерительных каналов в соответствии со схемами подключений, приведенными в Приложении А, с учетом конфигурации системы.
-
7.2.3 Включить систему и запустить ПО.
-
7.2.4 Проверку каналов измерений параметров абсолютной вибрации проводить при следующих значениях:
-
- частота сигнала-(159,2±1,0) Гц:
-
- виброускорение - (10±2) м/с2;
-
- виброскорость - (10±2) мм/с;
-
- виброперемещение - (10±2) мкм.
Контролировать измеренные значения диагностических признаков (10±7) единиц измеряемой величины.
-
7.2.5 Проверку каналов измерений силы тока проводить при следующих значениях, задаваемых калибратором тока:
-
- ТПТ-1-1 A/0.1V - 1 А;
-
- ТПТ-1-5А/0.1У - 5 А;
-
- датчики тока 5304, 5307 - 150 А:
-
- датчик тока 5308 - 25 А;
-
- модуль 4402 - 20 мА.
Контролировать измеренные значения силы тока I:
-
- ТПТ-1 -1А/0.1V - (1,0±0,3) А;
-
- ТПТ-1-5А/0.1У-(5±1) А;
-
- датчики тока 5304. 5307 - (150±15) А;
-
- датчик тока 5308 - (25±3) А;
-
- модуль 4402 - (20±3) мА.
-
7.2.5 (Измененная редакция, Изм. № 2)
-
7.2.6 Проверку каналов измерений температуры проводить при значении на имитаторе температуры соответствующем 80 °C.
Контролировать измеренное значение температуры - (80±5) °C.
-
7.2.7 Проверку каналов измерений параметров относительной вибрации и расстояния до контролируемой поверхности проводить при следующих значениях:
-
- частота сигнала - (20± 1) Гц;
-
- размах относительного виброперемещения - (1000±40) мкм.
Контролировать измеренное значение виброперемещения - (1000±200) мкм.
-
7.2.8 Проверку каналов измерений давления с датчиком давления 412 ДИ проводить при значении (300±6) кПа ((100±3) для датчика 412 ДИ-0,1).
Контролировать измеренное значение давления - (300±50) кПа ((100±10) для датчика 412 ДИ-0,1).
-
7.2.9 Проверку каналов измерений напряжения проводить при значениях (500±10) мВ и (500±10) мВ частотой 160 Гц.
Контролировать измеренное значение напряжения постоянного тока - (500±50) мВ и напряжения переменного тока (500±50) мВ.
-
7.2.10 Проверку каналов частоты вращения и частоты следования импульсов с таходатчиком индукционным ТДИ. датчиком перемещения 5007 в комплекте с адаптером МР, фотодатчиком ФД-2 в комплекте с адаптером 4803, датчиком оборотов 5605 проводить при частоте вращения двигателя с регулируемой частотой вращения.
-
7.2.11 Проверку каналов измерения линейного перемещения проводить при значении (200±1) мм.
Контролировать измеренное значение линейного перемещения - (200±5) мм.
-
7.2.12 Проверку каналов измерений параметров импульсного сигнала проводить, используя имитатор датчика АЭ 8113.
Установить коэффициент усиления измерительного модуля равным 2 (6 дБ), коэффициент усиления имитатора датчика АЭ равным 10 (20 дБ). На вход имитатора датчика подавать синусоидальный сигнал частотой 90 кГц и СКЗ (20,0±0,2) мВ.
Контролировать СКЗ напряжения измеренного сигнала - (20±1) мВ.
-
7.2.13 Проверку каналов измерений силы переменного тока высокой частоты проводить при значении амплитуды синусоидального сигнал (1,665±10) В частотой 100 кГц.
Контролировать измеренное значение силы тока - (47,09±0,20) мА.
-
7.2.14 Проверку выполнения функций самоконтроля на обрыв цепи каналов измерений выполнять, отключив одну из цепей подключения датчиков нескольких измерительных каналов (кроме активных датчиков вибрации и термопар) от измерительного модуля.
Контролировать в экране «МОНИТОР» появления треугольников синего цвета на индикаторах соответствующих каналов, а в экране «СИСТЕМА» красный цвет диагностических признаков самоконтроля, соответствующих измерительных каналов.
Восстановить цепи подключения датчиков. Контролировать в экране «МОНИТОР» отсутствие треугольников синего цвета на индикаторах соответствующих каналов, а в экране «СИСТЕМА» зеленый цвет диагностических признаков самоконтроля, соответствующих измерительных каналов.
-
7.2.15 Проверку выполнения функций самоконтроля короткого замыкания цепей каналов измерений выполнять, установив перемычки в цепях подключения датчиков нескольких измерительных каналов (кроме активных датчиков вибрации и термопар) к измерительному модулю.
Контролировать в экране «МОНИТОР» появления треугольников синего цвета на индикаторах соответствующих каналов, а в экране «СИСТЕМА» красный цвет диагностических признаков самоконтроля, соответствующих измерительных каналов.
Удалить перемычки в цепях подключения датчиков. Контролировать в экране «МОНИТОР» отсутствие треугольников синего цвета на индикаторах соответствующих каналов, а в экране «СИСТЕМА» зеленый цвет диагностических признаков самоконтроля, соответствующих измерительных каналов.
Восстановить цепи подключения датчиков. Контролировать в экране «МОНИТОР» отсутствие треугольников синего цвета на индикаторах соответствующих каналов, а в экране «СИСТЕМА» зеленый цвет диагностических признаков самоконтроля, соответствующих измерительных каналов.
7.3 Идентификация программного обеспечения-
7.3.1 Идентификация программного обеспечения измерительных модулей
-
7.3.1.1 Программное обеспечение (далее - ПО) измерительных модулей является их неотъемлемой функциональной составляющей. ПО записывается на этапе производства предприятием-изготовителем и в процессе эксплуатации недоступно для пользователя.
-
7.3.1.2 ПО измерительных модулей следует идентифицировать по наименованию измерительного модуля. Идентификационные данные приведены в таблице 3.
-
-
7.3.2 Идентификация программного обеспечения КОМПАКС®
-
7.3.2.1 Запустить ПО КОМПАКС® на диагностическом контроллере или персональном компьютере.
-
7.3.2.2 Для ПО КОМПАКС® 6 в режиме отладки нажать сочетание клавиш ALT+M.
-
7.3.2.3 В открывшемся информационном окне считать идентификационное наименование и номер версии и номер сборки ПО.
-
7.3.2.4 Результаты идентификации ПО считать положительными, если идентификационное наименование, номер версии и номер сборки соответствуют приведенным в таблице 3.
-
7.3.2.5 Для ПО КОМПАКС® 7 в меню «Справка» выбрать «О программе КОМПАКС».
-
7.3.2.6 В открывшемся информационном окне считать идентификационное наименование и номер версии и номер сборки ПО.
-
7.3.2.7 Результаты идентификации ПО считать положительными, если идентификационное наименование, номер версии и номер сборки соответствуют приведенным в таблице 3.
-
Таблица 3
Идентификационные данные (признаки) |
Значение |
Модуль PIM 4455 | |
Идентификационное наименование ПО |
4455.hex |
Номер версии (идентификационный номер) ПО |
не ниже 16 |
Цифровой идентификатор ПО |
недоступен |
Модуль PIM 4443 | |
Идентификационное наименование ПО |
4453.hex |
Номер версии (идентификационный номер) ПО |
не ниже 1 |
Цифровой идентификатор ПО |
недоступен |
Модуль PIM 4440.3 |
____________________________________________________________________________________________________________________I |
Идентификационное наименование ПО |
444O.hex |
Номер версии (идентификационный номер) ПО |
не ниже 1 |
Цифровой идентификатор ПО |
недоступен |
Модуль 3333.1 |
' |
Идентификационное наименование ПО |
Img3333 l |
Номер версии (идентификационный номер) ПО |
не ниже 224 |
Цифровой идентификатор ПО |
недоступен |
Блок ПАЗ | |
Идентификационное наименование ПО |
Img2002 |
Номер версии (идентификационный номер) ПО |
не ниже 1.0 |
Цифровой идентификатор ПО |
недоступен |
Виброанализатор 8710 | |
Идентификационное наименование ПО |
871O.hex |
Номер версии (идентификационный номер) ПО |
не ниже 2.0 |
Цифровой идентификатор ПО |
недоступен |
ПО КОМПАКС® | |
Идентификационное наименование ПО |
КОМПАКС 6 |
Номер версии (идентификационный номер) ПО |
не ниже 10.2 |
Номер сборки (идентификационный номер) ПО |
не ниже 281 |
Цифровой идентификатор ПО |
недоступен |
Идентификационное наименование ПО |
КОМПАКС 7 |
Номер версии (идентификационный номер) ПО |
не ниже 2.0.1 |
Общая ревизия (идентификационный номер) ПО |
не ниже 3971 |
Цифровой идентификатор ПО |
Недоступен |
-
7.4 Определение метрологических характеристик
-
7.4.1.1 Количество измерительных каналов, подлежащих поверке, определяется в соответствии 1.2-1.3 настоящей методики.
-
7.4.1.2 Величины СКЗ виброперемещения, СКЗ виброскорости и СКЗ виброускорения
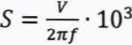
связаны следующими уравнениями: где а - значение СКЗ виброускорения, м/с2;



(1)
(2)
К - значение СКЗ виброскорости, мм/с;
£ - значение СКЗ виброперемещения, мкм; f- частота колебаний. Гц;
тг = 3,1416.
Примечание - Для f = 159,2, 2nf~1000, поэтому на этой частоте колебаний а (м/с2) = V (мм/с).
-
7.4.1.3 Определение основной относительной погрешности измерений СКЗ параметров абсолютной вибрации в рабочем диапазоне значений на базовой частоте:
-
7.4.1.3.1 Для определения основной относительной погрешности измерений СКЗ параметров абсолютной вибрации в рабочем диапазоне значений на базовой частоте необходимо собрать схему, представленную на рисунке А.1 Приложения А, установить эталонный и поверяемый вибропреобразователи на вибростенд таким образом, чтобы ось чувствительности вибропреобразователей совпадала с направлением колебаний.
-
7.4.1.3.2 Определение основной относительной погрешности измерений СКЗ виброскорости и виброускорения проводить при следующих значениях, задаваемых на вибростенде:
-
-
- частота колебаний - 159.2 Гц;
-
- виброускорение - СКЗ: 1, 25. 50, 75, 100 м/с2.
-
7.4.1.3.3 Определение основной относительной погрешности измерений СКЗ виброперемещения проводить при следующих значениях, задаваемых на вибростенде:
-
- частота колебаний - 40 Гц;
-
- виброперемещение - СКЗ: 4, 250, 500, 750, 1000 мкм.
-
7.4.1.3.4 Снять показания системы в режиме ускоренного опроса экрана «МОНИТОР» по СКЗ параметров абсолютной вибрации (СКЗ виброускорения, СКЗ виброскорости. СКЗ виброперемещения).
-
7.4.1.3.5 Измерения провести для всех выбранных измерительных каналов.
-
7.4.1.3.6 По результатам каждого измерения определить основную относительную погрешность измерений СКЗ параметров абсолютной вибрации <5аь %, в рабочем диапазоне значений на базовой частоте по формуле:
5а1=^-Ю0%, (3)
хд
где X; - показания системы при i-ом значении входного сигнала СКЗ виброскорости (м/с2),
СКЗ виброускорения (мм/с) или СКЗ виброперемещения (мкм);
хд - действительное значение СКЗ виброскорости (м/с2), СКЗ виброускорения (мм/с) или СКЗ виброперемещения (мкм), задаваемое вибростендом и измеренное эталонным вибропреобразователем.
-
7.4.1.3.7 Основная относительная погрешность измерений СКЗ параметров абсолютной вибрации в рабочем диапазоне значений (на базовой частоте) не должна превышать установленных пределов:
-
- СКЗ виброускорения (159,2 Гц) ±2.5 %;
-
- СКЗ виброскорости (159.2 Гц) ±3.5 %;
-
- СКЗ виброперемещения (40 Гц) ±4,0 %.
-
7.4.1.4 Определение основной относительной погрешности измерений СКЗ параметров абсолютной вибрации в рабочем диапазоне частот:
-
7.4.1.4.1 Для определения основной относительной погрешности измерений СКЗ параметров абсолютной вибрации в рабочем диапазоне частот необходимо собрать схему, представленную на рисунке А.1 Приложения А. установить эталонный и поверяемый вибропреобразователи на вибростенд таким образом, чтобы ось чувствительности вибропреобразователей совпадала с направлением колебаний.
-
7.4.1.4.2 Определение основной относительной погрешности измерений СКЗ параметров абсолютной вибрации в рабочем диапазоне частот проводить при значениях, задаваемых на вибростенде, приведенных в таблице 4.
-
Таблица 4
Частота колебаний, /Гц |
СКЗ виброускорения. а, м/с2 |
СКЗ виброскорости. V, мм/с |
СКЗ виброперемещения. 5, мкм |
2 |
5 |
- | |
2,5 |
5 |
- |
- |
5 |
5 |
- |
- |
10 |
5 |
32 |
200 |
20 |
5 |
32 |
200 |
40 |
10 |
16 |
65 |
80 |
10 |
16 |
65 |
200 |
10 |
16 |
65 |
315 |
10 |
16 | |
630 |
10 |
16 | |
1000 |
10 |
16 | |
1250 |
10 |
- | |
2500 |
10 |
- |
- |
3000 |
10 |
- |
- |
5000 |
10 |
- |
- |
10000 |
10 |
- |
7.4.1.4.3 Снять показания системы в режиме ускоренного опроса экрана «МОНИТОР»
по СКЗ параметров абсолютной вибрации (СКЗ виброускорения. СКЗ виброскорости, СКЗ виброперемещения).
-
7.4.1.4.4 Измерения провести для всех выбранных измерительных каналов.
-
7.4.1.4.5 По результатам каждого измерения определить основную относительную погрешность измерений СКЗ параметров абсолютной вибрации %, в рабочем диапазоне частот по формуле:
5f | = ■ 100 %, (4)
хд
где х; - показания системы при i-ом значении входного сигнала СКЗ виброскорости (м/с2), СКЗ виброускорения (мм/с) или СКЗ виброперемещения (мкм);
хд - действительное значение СКЗ виброскорости (м/с2), СКЗ виброускорения (мм/с) или СКЗ виброперемещения (мкм), задаваемое вибростендом и измеренное эталонным вибропреобразователем.
-
7.4.1.4.6 Основная относительная погрешность измерений СКЗ параметров абсолютной вибрации в рабочем диапазоне частот не должна превышать установленных пределов:
-
- СКЗ виброускорения ±3,5 %;
-
- СКЗ виброскорости ±4,0 %;
-
- СКЗ виброперемещения ±4.5 %.
-
7.4.2.1 Количество измерительных каналов, подлежащих поверке, определяется в соответствии 1.2-1.3 настоящей методики.
-
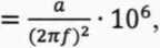
7.4.2.2 Величины размаха виброперемещения и СКЗ виброускорения связаны следующим уравнением:
2у^а • 106
(2я/)2
(5)
где
5>2а - значение размаха виброперемещения, мкм.
а - значение СКЗ виброускорения, м/с2;
/- частота колебаний, Гц;
л: = 3,1416.
-
7.4.2.3 Определение основной приведенной погрешности измерений размаха относительного виброперемещения:
-
7.4.2.3.1 Для определения основной приведенной погрешности измерений размаха относительного виброперемещения необходимо собрать схему, представленную на рисунке А.2 Приложения А. Установить датчик 5007 в держатель таким образом, чтобы ось датчика совпадала с направлением колебаний. Начальный зазор между датчиком 5007 и имитатором вала установить равным половине диапазона линейности (2100±200) мкм.
-
7.4.2.3.2 Определение основной приведенной погрешности измерений размаха относительного виброперемещения проводить при значениях, задаваемых на вибростенде, приведенных в таблице 5.
-
Таблица 5
Частота колебаний. f, Гц, |
СКЗ виброускорения. а, м/с2 |
Размах относительного виброперемещения. S2d, мкм |
159,2 |
17,68 |
50 |
159,2 |
35,37 |
100 |
159,2 |
70,73 |
200 |
40 |
8,93 |
400 |
40 |
11,17 |
500 |
40 |
22,34 |
1000 |
40 |
31,27 |
1400 |
7.4.2.3.3 Снять показания системы в режиме ускоренного опроса экрана «МОНИТОР»
по параметру размаха относительного виброперемещения.
7.4.2.3.4 Измерения провести для всех выбранных измерительных каналов.
-
7.4.2.3.5 По результатам каждого измерения определить основную приведенную погрешность измерений размаха относительного виброперемещения yspR ь %, по формуле:
KspRi =^-100%, (6)
где X; - показания системы при i-ом значении входного сигнала размаха относительного виброперемещения, мкм;
хд - действительное размаха относительного виброперемещения. задаваемое вибростендом, мкм;
хн - нормирующее значение: верхний предел диапазона измерений (хн = 1400), мкм.
-
7.4.2.3.6 Основная приведенная погрешность измерений размаха относительного виброперемещения не должна превышать установленных пределов ±5,0 %.
-
7.4.2.4 Определение неравномерности амплитудно-частотной характеристики при измерении относительного виброперемещения в рабочем диапазоне частот:
-
7.4.2.4.1 Для определения неравномерности амплитудно-частотной при измерении относительного виброперемещения в рабочем диапазоне частот необходимо собрать схему, представленную на рисунке А.З Приложения А. Установить приспособление для снятия статической характеристики имитатор перемещений. Торцы датчика и имитатора перемещений свести на минимально возможное расстояние. Подключить имитатор перемещений к источнику постоянного напряжения 6 В и генератору сигналов.
характеристики
-
7.4.2.4.2 Определение неравномерности амплитудно-частотной характеристики при измерении относительного виброперемещения в рабочем диапазоне частот проводить при следующих значениях выходного сигнала генератора:
-
-
- частота: 5, 10, 20, 40. 80, 160, 320. 500. 1000. 2000 Гц;
-
- амплитуда сигнала - 140 мВ.
-
7.4.2.4.3 Снять показания системы в режиме ускоренного опроса экрана «МОНИТОР» по параметру размаха относительного виброперемещения.
7Д.2.4.4 Измерения провести для всех выбранных измерительных каналов.
-
7.4.2.4.5 По результатам каждого измерения определить неравномерность амплитудно-частотной характеристики при измерении относительного виброперемещения в рабочем диапазоне частот ;, %, по формуле:
5 (7)
*б
где Xj - показания системы при i-ом значении входного сигнала размаха относительного виброперемещения, мкм:
Хб - показания системы при значении входного сигнала размаха относительного виброперемещения на базовой частоте 160 Гц. мкм.
-
7.4.2.4.6 Неравномерность амплитудно-частотной характеристики при измерении относительного виброперемещения в рабочем диапазоне частот не должна превышать установленных пределов ±5.0 %.
-
7.4.2.5 Определение основной приведенной погрешности измерений расстояния до контролируемой поверхности:
-
7.4.2.5.1 Для определения основной приведенной погрешности измерений расстояния до контролируемой поверхности необходимо собрать схему, представленную на рисунке А.4 Приложения А. В качестве имитатора вала использовать устройство для тарировки датчиков перемещения. Установить датчик 5007 в держатель таким образом, чтобы ось датчика была перпендикулярна плоскости пластины. Вращая микрометрический винт за трещетку, подвести подвижную пластину к датчику 5007 до момента срабатывания трещетки и установить на индикаторных часах вращающуюся шкалу таким образом, чтобы стрелка находилась в положении 0 мм.
-
7.4.2.5.2 Передвигая пластину вращением микрометрического винта, устанавливать значения расстояния от датчика 5007 до пластины: 1400, 1680, 1960, 2240, 2520, 2800 мкм.
-
7.4.2.5.3 Снять показания системы в режиме ускоренного опроса экрана «МОНИТОР» по расстоянию до контролируемой поверхности.
-
7.4.2.5.4 Измерения провести для всех выбранных измерительных каналов.
-
7.4.2.5.5 По результатам каждого измерения определить основную приведенную погрешность измерений расстояния до контролируемой поверхности ?spa i, %, по формуле:
-
Г5РА1 = ^-100%, (8)
хн
где X; - показания системы при i-ом значении расстояния до контролируемой поверхности, мкм;
хд - действительное расстояния до контролируемой поверхности, мкм;
хн - нормирующее значение: верхний предел диапазона измерений (хн = 2800). мкм.
-
7.4.2.5.6 Основная приведенная погрешность измерений расстояния до контролируемой поверхности не должна превышать установленных пределов ±5,0 %.
-
7.4.3.1 Количество измерительных каналов, подлежащих поверке, определяется в соответствии 1.2-1.3 настоящей методики.
-
7.4.3.2 Конфигурация каналов измерений температуры должна соответствовать номинальной статической характеристики термопары по ГОСТ Р 8.585-2001.
-
7.4.3.3 Определение основной абсолютной погрешности измерений температуры (без учета погрешности термопар):
-
7.4.3.3.1 Для определения основной абсолютной погрешности измерений температуры (без учета погрешности термопар) необходимо собрать схему, представленную на рисунке А.5 Приложения А.
-
7.4.3.3.2 Измерить температуру окружающего воздуха вблизи клеммника измерительного модуля с помощью термометра эталонного.
-
7.4.3.3.3 Установить режим работы «СИСТЕМА» и снять показания системы по внутренней температуре измерительного модуля.
-
7.4.3.3.4 Определить абсолютную погрешность канала термокомпенсации Дтк, °C по формуле:
-
Дтк= “ ^Д, (9)
где /с ~ значение температуры, измеренное системой, °C;
/д - значение температуры, измеренное термометром эталонным, °C.
-
7.4.3.3.5 Установить в экране «ОСЦИЛЛОГРАФ» на панели «Задания менеджеру каналов» температуру холодного спая термопары равной О °C.
-
7.4.3.3.6 Задать на входе измерительного модуля с помощью калибратора напряжения, соответствующие значениям температуры: -50, 0, +100, +200, +300, +400, +500, +600, +700, +800 °C. Проконтролировать напряжения на выходе калибратора с помощью мультиметра. Напряжения на выходе калибратора должно соответствовать напряжениям номинальной статической характеристики по ГОСТ Р 8.585-2001 с погрешностью не более ±3 мкВ.
-
7.4.3.3.7 Снять показания системы в режиме ускоренного опроса экрана «МОНИТОР» по параметру температуры.
-
7.4.3.3.8 Измерения провести для всех выбранных измерительных каналов.
-
7.4.3.3.9 По результатам каждого измерения определить абсолютную погрешность измерений температуры без учета погрешности термопар и канала термокомпенсации ДКь °C, по формуле:
^Ki= tci ~ ^нсхь (Ю)
где /с i - показания системы при i-ом значении входного сигнала температуры. °C:
/нсх i - i-e значении входного сигнала температуры, соответствующее НСХ, °C.
-
7.4.3.3.10 Определить основную абсолютную погрешность измерений температуры без учета погрешности термопар Ду, °C, по формуле:
(П)
где Дк - наибольшее значение абсолютной погрешности измерений температуры без учета погрешности термопар и канала термокомпенсации. °C:
Дтк -значение абсолютной погрешности канала термокомпенсации. °C.
-
7.4.3.3.11 Отменить в экране «ОСЦИЛЛОГРАФ» на панели «Задания менеджеру каналов» температуру холодного спая термопары равной 0 °C.
-
7.4.3.3.12 Основная приведенная погрешность измерений температуры без учета погрешности термопар не должна превышать установленных пределов ±1,0 °C.
-
7.4.4.1 Количество измерительных каналов, подлежащих поверке, определяется в соответствии 1.2-1.3 настоящей методики.
-
7.4.4.2 Определение основной приведенной погрешности измерений силы постоянного тока
-
7.4.4.2.1 Для определения основной приведенной погрешности измерений силы постоянного тока в диапазоне от -600 до +600 А (для каналов измерений с 5304) необходимо собрать схему, представленную на рисунке А.6-А.8 Приложения А. Формировать необходимое число витков токопровода калибратора тока 8012 через магнитопровод датчика тока в соответствии с руководством по эксплуатации на калибратор тока 8012. Для определения основной приведенной погрешности измерений силы постоянного тока в диапазоне от 4 до 20 мА (для каналов измерений с 4402) измерительный вход модуля 4402 подключают к калибратору.
-
-
7.4.4.2.1 (Измененная редакция, Изм. № 2)
1АА.2.2 Определение приведенной погрешности измерений силы постоянного тока (для каналов измерений с 5304) проводить при значениях тока -600; -480; -360; -240; -120; 0; +120; +240; +360; +480; 600 А. Определение приведенной погрешности измерений силы постоянного тока (для каналов измерений с 4402) проводить при значениях тока 4; 8; 12; 16; 20 мА. Задаваемые значения силы постоянного тока контролировать с помощью мультиметра.
-
7.4.4.2.2 (Измененная редакция, Изм. № 2)
-
7.4.4.2.3 Снять показания системы в режиме ускоренного опроса экрана «МОНИТОР» по параметру силы постоянного тока.
-
7.4.4.2.4 Измерения провести для всех выбранных измерительных каналов.
-
7.4.4.2.5 По результатам каждого измерения определить основную приведенную погрешность измерений силы постоянного тока узость %- по формуле:
(12)
где X; - показания системы при i-ом значении входного сигнала силы постоянного тока. А; хд - значение силы постоянного тока, измеренное мультиметром, А: хн - нормирующее значение: верхний предел диапазона измерений. А.
-
7.4.4.2.6 Основная приведенная погрешность измерений силы постоянного тока не должна превышать установленных пределов ±1,0 %.
-
7.4.4.3 Определение основной приведенной погрешности измерений СКЗ силы переменного тока частотой 50 Гц:
-
7.4.4.3.1 Для определения основной приведенной погрешности измерений СКЗ силы переменного тока частотой 50 Гц необходимо собрать схему, представленную на рисунке:
-
-
- А.6 Приложения А для каналов измерений с ТПТ-1-1 А;
-
- А.7 Приложения А для каналов измерений с ТПТ-1-5А. 5308;
-
- А.8 Приложения А для каналов измерений с ТПТ-1-5А совместно с ХН-32;
-
- А.8 Приложения А для каналов измерений с 5307;
-
- А.8 Приложения А для каналов измерений с 5304.
При определении основной приведенной погрешности каналов измерений СКЗ силы переменного тока частотой 50 Гц с ТПТ-1-1 А величину переменного тока изменять при помощи реостата. Формировать требуемое число витков токопровода калибратора тока КТ-50 или 8012 через магнитопровод датчика тока в соответствии с паспортом на калибратор тока КТ-50 или руководством по эксплуатации на калибратор тока 8012.
-
7.4.4.3.2 Определение приведенной погрешности измерений СКЗ силы переменного тока частотой 50 Гц проводить при значениях тока, соответствующих 20, 40, 60, 80 и 100 % диапазона измерений. Задаваемые значения СКЗ силы переменного тока частотой 50 Гц контролировать с помощью мультиметра.
-
7.4.4.3.3 Снять показания системы в режиме ускоренного опроса экрана «МОНИТОР» по параметру СКЗ силы переменного тока частотой 50 Гц.
-
7.4.4.3.4 Измерения провести для всех выбранных измерительных каналов.
-
7.4.4.3.5 По результатам каждого измерения определить основную приведенную погрешность измерений СКЗ силы переменного тока частотой 50 Гц yinep;, %, по формуле:
Klnepi =^-100%, (13)
хн
где Xj - показания системы при i-ом значении входного сигнала СКЗ силы переменного тока. А;
хд - значение СКЗ силы переменного тока, измеренное мультиметром. А:
хн - нормирующее значение: верхний предел диапазона измерений. А.
-
7.4.4.3.6 Основная приведенная погрешность измерений СКЗ силы переменного тока частотой 50 Гц не должна превышать установленных пределов ±1,0 %.
-
7.4.5.1 Количество измерительных каналов, подлежащих поверке, определяется в соответствии 1.2-1.3 настоящей методики.
-
7.4.5.2 Определение основной приведенной погрешности измерений избыточного давления:
-
7.4.5.2.1 Для определения основной приведенной погрешности измерений избыточного давления необходимо собрать схему, представленную на рисунке А.9 Приложения А. Установить датчик давления в присоединительный штуцер грузопоршневого манометра МП-600. В соответствии с предельным давлением, установленного датчика, на грузопоршневой манометр должен быть установлен эталонный манометр, предел измерения которого соответствует предельному значению давления датчика. Для датчиков 412 ДИ-0,1; 412 ДИ-0,6 используется калибратор давления Fluke 718Ех и помпа ручная пневматическая ПИ-0.25М.
-
7.4.5.2.2 Определение приведенной погрешности измерений избыточного давления проводить при пяти значениях давления, равномерно распределенных в диапазоне измерений, включая нижнее и верхнее значения диапазона измерений.
-
7.4.5.2.3 Снять показания системы в режиме ускоренного опроса экрана «МОНИТОР» по избыточного давления.
-
7.4.5.2.4 Измерения провести для всех выбранных измерительных каналов.
-
7.4.5.2.5 По результатам каждого измерения определить основную приведенную погрешность измерений избыточного давления уР%, по формуле:
-
yPi=^-100o/o, (14)
хн
где Xj - показания системы при i-ом значении входного сигнала избыточного давления, МПа;
хд - значение избыточного давления, отображаемое на грузопрошневом манометре или на калибраторе давления, МПа;
хн - нормирующее значение: верхний предел диапазона измерений, МПа.
-
7.4.5.2.6 Основная приведенная погрешность измерений избыточного давления не должна превышать установленных пределов ±0,5 %.
7.5.4.3 Определение вариации показаний:
-
7.5.4.3.1 Для определения вариации показаний необходимо повторить измерения давления согласно 7.5.4.2 для каждого измеряемого диапазона, но значения устанавливаемого давления задавать путем уменьшения давления.
-
7.5.4.3.2 Определить вариацию показаний по формуле:
rPBapl=2jVE£2!-100%, (15)
*н
где Xj ув - показания системы при i-ом значении входного сигнала избыточного давления при увеличении давления. МПа;
Xi ум - показания системы при i-ом значении входного сигнала избыточного давления при уменьшении давления. МПа;
хн - нормирующее значение: верхний предел диапазона измерений. МПа.
-
7.5.4.3.3 Вариация показаний не должна превышать установленных пределов ±0.5 %.
-
7.4.6.1 Количество измерительных каналов, подлежащих поверке, определяется в соответствии 1.2-1.3 настоящей методики.
-
7.4.6.2 Величины частоты оборотов в об/мин и частоты оборотов в Гц связаны следующим уравнением:
F = —, (16)
60’ v 7
где F - частота оборотов, Гц;
N- частота оборотов, об/мин.
-
7.4.6.3 Опробование датчиков:
-
7.4.6.3.1 Собрать схему, представленную на рисунке А. 10.
-
Установить ТДИ-1 на расстоянии от 5 до 30 мм от магнитной метки, расположенной на валу двигателя.
Фотодатчик ФД-2 подключать к измерительному модулю через адаптер 4803. Фотодатчик ФД-2 закрепить при помощи магнитной стойки на расстоянии не более 7 см от отражающей метки, наклеенной на вал двигателя.
Датчик перемещения 5007 подключать к измерительному модулю через адаптер МР. Датчик перемещения 5007 установить при помощи держателя напротив паза, шпонки или зубчатого колеса, размещенных на валу двигателя. Расстояние от торца датчика до вала, шпонки или зубчатого колеса должно быть от 1,5 до 3 мм.
Датчик оборотов 5605 установить при помощи держателя напротив магнитной метки или немагнитной метки из ферромагнитного материала. Расстояние от торца датчика до метки должно быть от 1 до 2 см.
-
7.4.6.3.2 Включить двигатель с регулируемой частотой вращения и по частотомеру задать частоту вращения двигателя 400 об/мин.
-
7.4.6.3.3 Установить в экране «ОСЦИЛЛОГРАФ» на панели «Задания менеджеру каналов» горизонтальную развертку 50 мс/дел. выбрать единицы отображения уровня входного сигнала в квантах АЦП и в поле «Параметры задания МК» выбрать канал измерения частоты вращения. Убедиться в наличии сигнала от датчика амплитудой не менее 500 квантов АЦП. зарегистрировать значение и выключить двигатель.
-
7.4.6.4 Определение основной приведенной погрешности измерений частоты вращения:
-
7.4.6.4.1 Перевести переключатель в положение подачи сигнала от генератора на вход измерительного модуля.
-
7.4.6.4.2 Определение основной приведенной погрешности измерений частоты вращения
-
проводить при следующих значениях, задаваемых на генераторе:
-
- форма сигнала - прямоугольная;
-
- уровень сигнала должен соответствовать уровню сигнала датчика, определенному в 7.4.6.3.3;
-
- частота сигнала для ТДИ-1 и 5605: 4; 16; 63; 250; 467 Гц;
-
- частота сигнала для ФД-2: 0,1; 0.4; 1.6; 4; 16; 63; 200 Гц;
-
- частота сигнала для 5007 с адаптером МР: 0,1; 0,4; 1,6; 4; 16; 63; 250; 1000; 5000 Гц.
Значение установленной частоты сигнала контролировать по частотомеру.
-
7.4.6.4.3 Снять показания системы в режиме ускоренного опроса экрана «МОНИТОР» по параметру частоты вращения.
-
7.4.6.4.4 Измерения провести для всех выбранных измерительных каналов.
7Д.6.4.5 По результатам каждого измерения определить основную приведенную погрешность измерений частоты вращения yFi, %, по формуле:
yF1 = 2^-100%, (17)
хн
где Xj - показания системы при i-ом значении входного сигнала частоты вращения, Гц;
хд - значение частоты вращения, измеренное частотомером. Гц;
хн - нормирующее значение: верхний предел диапазона измерений, Гц.
-
7.4.6.4.6 Основная приведенная погрешность измерений частоты вращения не должна превышать установленных пределов ±0,2 %.
-
7.4.6.5 Определение основной приведенной погрешности измерений частоты следования импульсов:
-
7.4.6.5.1 Собрать схему, представленную на рисунке А.11 Приложения А.
-
7.4.6.5.2 Установить в экране «ОСЦИЛЛОГРАФ» на панели «Задания менеджеру каналов» в поле «Параметры задания МК» выбрать канал измерения частоты импульсов.
-
7.4.6.5.3 Определение основной приведенной погрешности измерений частоты следования импульсов проводить при следующих значениях, задаваемых на генераторе:
-
-
- форма сигнала - прямоугольная:
-
- амплитуда сигнала 10 В;
-
- частота сигнала 0,1; 0,4; 1.6; 4; 16; 63; 250; 1000; 5000; 10000 Гц.
Значение установленной частоты сигнала контролировать по частотомеру.
-
7.4.6.5.4 Снять показания системы в режиме ускоренного опроса экрана «МОНИТОР» по параметру частоты следования импульсов.
-
7.4.6.5.5 Измерения провести для всех выбранных измерительных каналов.
-
7.4.6.5.6 По результатам каждого измерения определить основную приведенную погрешность измерений частоты следования импульсов уп ь %, по формуле:
rnl=^-100%, (18)
*н
где Xj - показания системы при i-ом значении входного сигнала частоты следования импульсов. Гц;
хд - значение частоты следования импульсов, измеренное частотомером. Гц;
хн - нормирующее значение: верхний предел диапазона измерений (хн = 10000), Гц.
-
7.4.6.5.7 Основная приведенная погрешность измерений частоты следования импульсов не должна превышать установленных пределов ±0,2 %.
-
7.4.7.1 Количество измерительных каналов, подлежащих поверке, определяется в соответствии 1.2-1.3 настоящей методики.
1А.1.2 Определение основной приведенной погрешности измерений напряжения
постоянного тока:
-
7.4.7.2.1 Для определения основной приведенной погрешности измерений напряжения постоянного тока необходимо собрать схему, представленную на рисунке А. 12 Приложения А.
-
7.4.7.2.2 Определение приведенной погрешности измерений напряжения постоянного тока проводить при значениях напряжения -1000, -800, -600, -400, -200, 0, 200, 400, 600, 800 и 1000 мВ. Задаваемые значения напряжения контролировать с помощью мультиметра.
-
7.4.7.2.3 Снять показания системы в режиме ускоренного опроса экрана «МОНИТОР» по параметру напряжения постоянного тока.
-
7.4.7.2.4 Измерения провести для всех выбранных измерительных каналов.
-
7.4.7.2.5 По результатам каждого измерения определить основную приведенную погрешность измерений напряжения постоянного тока уипост ь %. по формуле:
Ги„оег> = £7га-Ю0%, (19)
хн
где Xj - показания системы при i-ом значении входного сигнала напряжения постоянного тока. мВ;
хд - значение напряжения постоянного тока, измеренное мультиметром, мВ:
хн - нормирующее значение: верхний предел диапазона измерений (хн = 1000), мВ.
-
7.4.7.2.6 Основная приведенная погрешность измерений напряжения постоянного тока не должна превышать установленных пределов ±0,15 %.
-
7.4.7.3 Определение основной приведенной погрешности измерений СКЗ напряжения переменного тока:
-
7.4.7.3.1 Для определения основной приведенной погрешности измерений СКЗ напряжения переменного тока необходимо собрать схему, представленную на рисунке А. 12 Приложения А.
-
7.4.7.3.2 Определение основной приведенной погрешности измерений СКЗ напряжения переменного тока проводить при значениях СКЗ напряжения переменного тока, соответствующих 1, 10, 50 и 100 % диапазона измерений, и значениях частоты 5, 10, 160. 2000, 10000 Гц. Задаваемые значения СКЗ напряжения переменного тока контролировать с помощью мультиметра.
-
7.4.7.3.3 Снять показания системы в режиме ускоренного опроса экрана «МОНИТОР» по параметру СКЗ напряжения переменного тока.
-
7.4.7.3.4 Измерения провести для всех выбранных измерительных каналов.
-
7.4.7.3.5 По результатам каждого измерения определить основную приведенную погрешность измерений напряжения переменного тока yunepi, X по формуле:
/Unepi=^-100%, (20)
хн
где Xi - показания системы при i-ом значении входного сигнала СКЗ напряжения переменного тока. мВ:
хд- значение СКЗ напряжения переменного тока, измеренное мультиметром. мВ:
хн - нормирующее значение: верхний предел диапазона измерений (хн = 1000), мВ.
-
7.4.7.3.6 Основная приведенная погрешность измерений СКЗ напряжения переменного тока не должна превышать установленных пределов ±0,5 %.
-
7.4.8.1 Количество измерительных каналов, подлежащих поверке, определяется в соответствии 1.2-1.3 настоящей методики.
-
7.4.8.2 Определение основной приведенной погрешности измерений линейного перемещения:
-
7.4.8.2.1 Для определения основной приведенной погрешности измерений линейного перемещения необходимо собрать схему, представленную на рисунке А. 13 Приложения А.
-
7.4.8.2.2 Определение приведенной погрешности измерений линейного перемещения проводить при семи значениях, равномерно распределенных по диапазону измерения, включая верхнее и нижнее пределы диапазона измерений. Значения линейного перемещения контролировать с помощью линейки.
-
7.4.8.2.3 Снять показания системы в режиме ускоренного опроса экрана «МОНИТОР» по параметру линейного перемещения.
-
7.4.8.2.4 Измерения провести для всех выбранных измерительных каналов.
-
7.4.8.2.5 По результатам каждого измерения определить основную приведенную погрешность измерений линейного перемещения /и, %, по формуле:
-
Уы = ^-100%, (21)
хн
где х; - показания системы при i-ом значении входного сигнала линейного перемещения, мм;
хд - значение линейного перемещения, измеренное линейкой, мм;
хн - нормирующее значение: верхний предел диапазона измерений (хн = 300), мм.
-
7.4.8.2.6 Основная приведенная погрешность измерений линейного перемещения не должна превышать установленных пределов ±5 %.
-
7.4.9.1 Количество измерительных каналов, подлежащих поверке, определяется в соответствии 1.2-1.3 настоящей методики.
-
7.4.9.2 Определение основной относительной погрешности измерений СКЗ амплитуды напряжения:
-
7.4.9.2.1 Для определения основной относительной погрешности измерений СКЗ амплитуды напряжения необходимо собрать схему, представленную на рисунке А. 14 Приложения А.
-
7Д.9.2.2 Определение основной относительной погрешности измерений СКЗ амплитуды напряжения проводить при следующих параметрах:
-
- коэффициент усиления измерительного модуля - 2 (6 дБ);
-
- коэффициент усиления имитатора датчика АЭ - 1 (0 дБ), 3(10 дБ), 10 (20 дБ);
-
- частота синусоидального сигнала 90 кГц;
-
- СКЗ амплитуды напряжения синусоидального сигнала на входе имитатора датчика АЭ:
-
- 1, 150, 300, 450, 600 мВ при коэффициенте усиления имитатора датчика АЭ равном 1:
-
- 0,5, 45, 90, 120, 160 мВ при коэффициенте усиления имитатора датчика АЭ равном 3;
-
- 0,1,10, 20, 30, 50 мВ при коэффициенте усиления имитатора датчика АЭ равном 10.
Задаваемые значения СКЗ амплитуды напряжения контролировать с помощью мультиметра.
-
7.4.9.2.3 Снять показания системы в режиме ускоренного опроса экрана «МОНИТОР» по параметру СКЗ амплитуды напряжения.
-
7.4.9.2.4 Измерения провести для всех выбранных измерительных каналов.
-
7.4.9.2.5 По результатам каждого измерения определить основную относительную погрешность измерений СКЗ амплитуды напряжения du i, дБ. по формуле:
5ui = 20l5(^), (22)
где Ui - показания системы при i-ом значении входного сигнала СКЗ амплитуды напряжения, мВ;
Ua - значение СКЗ амплитуды напряжения, измеренное мультиметром, мВ.
-
7.4.9.2.6 Основная относительную погрешность измерений СКЗ амплитуды напряжения не должна превышать установленных пределов ±1 дБ.
-
7.4.9.3 Определение основной относительной погрешности измерений амплитуды напряжения и энергии сигнала:
-
7.4.9.3.1 Для определения основной относительной погрешности измерений амплитуды напряжения и энергии сигнала необходимо собрать схему, представленную на рисунке А. 14 Приложения А.
-
7.4.9.3.2 Определение основной относительной погрешности измерений амплитуды напряжения и энергии сигнала проводить при следующих параметрах:
-
-
- коэффициент усиления измерительного модуля - 2 (6 дБ);
-
- коэффициент усиления имитатора датчика АЭ - 10 (20 дБ);
-
- частота синусоидального сигнала 90 кГц;
-
- СКЗ синусоидального сигнала на входе имитатора датчика АЭ - 0,5, 9, 18 ,36, 54 мВ.
Значение СКЗ напряжения контролировать с помощью мультиметра. Не изменяя уровень сигнала на выходе генератора, включить режим модуляции импульсным сигналом (глубина модуляции 100 %) частотой 10 Гц и скважностью 20 (5 %) (см. рисунок 1).
-
7.4.9.3.3 Снять показания системы в режиме ускоренного опроса экрана «МОНИТОР» по параметру амплитуды напряжения и энергии сигнала.
-
7.4.9.3.4 Измерения провести для всех выбранных измерительных каналов.
и, мВ Гл
F,an - частота заполнения сигнала:
На - амплитуда сигнала;
Ти - период посылки импульсов
Рисунок 1 - Вид импульсного сигнала для определения погрешности измерений амплитуды напряжения и энергии
-
7.4.9.3.5 По результатам каждого измерения определить основную относительную погрешность измерений амплитуды напряжения За дБ. по формуле:
5Ai = 20-/5(g,
(23)
где Ai - показания системы при i-ом значении входного сигнала амплитуды напряжения. мВ:
Ад - входное значение амплитуды напряжения. мВ.
Величины в дБ и в мВ связано следующим уравнением:
А
л Ю20
(24)
А< =----,
1 1000
где А - показания системы при i-ом значении входного сигнала амплитуды напряжения. дБ.
Входное значение амплитуды напряжения Ад, мВ. определяется по формуле: где На - значение СКЗ амплитуды напряжения на входе имитатора датчика, измеренное

мультиметром, мВ;
V2/V - коэффициент связи СКЗ амплитуды напряжения и амплитуды импульсного
модулированного сигнала;
N - скважность импульсов (N = 20).
-
7.4.9.3.6 По результатам каждого измерения определить основную относительную погрешность измерений энергии сигнала <5Е ь дБ, по формуле:
■д.
(26)
где
Е; - показания системы при i-ом значении энергии входного сигнала, мВ2;
Ед - значение энергии входного сигнала, мВ2.
Значение энергии входного сигнала Ед, мВ2, определяется по формуле:

(27)
где Uo - значение СКЗ амплитуды напряжения модулированного импульсного сигнала на входе имитатора датчика. мВ;
N? - число отсчетов в одном импульсе.
Значение СКЗ амплитуды напряжения на входе имитатора датчика модулированного импульсного сигнала Uo, мВ, определятся по формуле:

(28)
где Ua - значение СКЗ амплитуды напряжения на входе имитатора датчика, измеренное мультиметром, мВ;
ks - коэффициент связи СКЗ амплитуды напряжения синусоидального и СКЗ амплитуды напряжения модулированного сигналов (при скважности 20, ks = 4,47).
Число отсчетов в одном импульсе Nj определятся по формуле:

(29)
где Nd - число отсчетов в выборке сигнала (Nd = 333333);
Nu - число импульсов в выборке сигнала (Nu = 10).
-
7.4.9.3.7 Основная относительную погрешность измерений амплитуды напряжения и энергии сигнала не должна превышать установленных пределов ±2 дБ.
-
7.4.9.4 Определение неравномерности амплитудно-частотной характеристики
при измерении СКЗ амплитуды напряжения в рабочем диапазоне частот и проверка ослабления сигнала за пределами рабочего диапазона частот:
-
7.4.9.4.1 Для определения неравномерности амплитудно-частотной характеристики при измерении СКЗ амплитуды напряжения в рабочем диапазоне частот и проверки ослабления сигнала за пределами рабочего диапазона частот необходимо собрать схему, представленную на рисунке А. 14 Приложения А.
-
7.4.9.4.2 Определение неравномерности амплитудно-частотной характеристики при измерении СКЗ амплитуды напряжения в рабочем диапазоне частот и проверки ослабления сигнала за пределами рабочего диапазона частот проводить при следующих параметрах:
- коэффициент усиления измерительного модуля - 1 (0 дБ);
-
- коэффициент усиления имитатора датчика АЭ - 1 (0 дБ);
-
- значение частоты генератора - 80 кГц (среднегеометрическая частота рабочего диапазона);
-
- значение частоты дискретизации - максимальное (625 кГц);
-
- СКЗ напряжения на входе имитатора датчика АЭ - 600 мВ.
Значение СКЗ амплитуды напряжения контролировать с помощью мультиметра.
-
7.4.9.4.3 Снять показания системы в режиме ускоренного опроса экрана «МОНИТОР» по параметру СКЗ амплитуды напряжения.
-
7.4.9.4.4 Изменяя частоту синусоидального сигнала, подаваемого на вход имитатора датчика, от среднегеометрической (80 кГц) в сторону верхних и нижних частот с шагом третьоктавного ряда контролировать на экране «МОНИТОР» и регистрировать измеренные значения СКЗ амплитуды напряжения.
Границы рабочего диапазона частот определять по уменьшению уровня СКЗ напряжения на 3 дБ от среднегеометрической частоты.
-
7.4.9.4.5 Включить цифровой фильтр с частотами среза 60 и 120 кГц. Изменяя частоту синусоидального сигнала, подаваемого на вход имитатора датчика, от среднегеометрической в сторону верхних и нижних частот с шагом третьоктавного ряда, контролировать на экране «МОНИТОР», и регистрировать измеренные значения СКЗ напряжения.
-
7.4.9.4.6 Неравномерности амплитудно-частотной характеристики при измерении СКЗ амплитуды напряжения в рабочем диапазоне частот не должна превышать ± 3 дБ; ослабление сигнала вне рабочего диапазона частот на октаву от частот среза цифрового фильтра должно составлять не менее 30 дБ.
7.4.9.5 Определение абсолютной погрешности измерений количества импульсов и длительности импульсов:
-
7.4.9.5.1 Для определения абсолютной погрешности измерений количества импульсов и длительности импульсов необходимо собрать схему, представленную на рисунке А. 14 Приложения А.
-
7.4.9.5.2 Определение абсолютной погрешности измерений количества импульсов и длительности импульсов проводить при следующих параметрах:
-
- коэффициент усиления измерительного модуля - 2 (6 дБ);
-
- коэффициент усиления имитатора датчика АЭ - 1 (0 дБ)
-
- СКЗ напряжения на входе имитатора датчика АЭ - 250 мВ.
-частота модулирующего сигнала прямоугольной формы: 1, 10, 100, 1000, 10000 Гц: скважность 2; заполнение синусоидальным сигналом 90 кГц.
Значение СКЗ амплитуды напряжения контролировать с помощью мультиметра.
-
7.4.9.5.3 Регистрировать измеренные значения числа импульсов за время экспозиции, максимальную длительность импульса за время экспозиции на экране «МОНИТОР».
-
7.4.9.5.4 Измерения провести для всех выбранных измерительных каналов.
-
7.4.9.5.5 По результатам каждого измерения определить абсолютную погрешность измерений количества импульсов JN. имп., по формуле:
(30) ‘0
где Nt - количество подсчитанных импульсов, имп.;
Т, - длительность экспозиции (выборки), с;
То - период задаваемого генератором сигнала, с.
-
7.4.9.5.6 По результатам каждого измерения определить абсолютную погрешность измерений длительности импульсов Д, мкс. по формуле:
Де=т(-т0, (31)
где т, - максимальная длительность импульса за экспозицию, определенная системой, мкс.;
то - заданная длительность импульса, мкс, вычисляется по формуле:
то=7'106, (32)
где Nc — число циклов синусоиды в одном импульсе:
У7 - частота заполнения импульса. Гц.
-
7.4.9.5.7 Абсолютную погрешность измерений количества импульсов и абсолютную погрешность измерений длительности импульсов не должны превышать установленных пределов ±1 имп. и ±10 мкс соответственно.
-
7.4.10.1 Количество измерительных каналов, подлежащих поверке, определяется в соответствии 1.2-1.3 настоящей методики.
-
7.4.10.2 Значение силы переменного тока высокой частоты. мА. определяется по формуле:
/ _ (W2.10з, (33)
R
где UCK3 - значение СКЗ амплитуды напряжения измеренного сигнала. В;
R - значение сопротивления нагрузки. Ом;
-
7.4.10.3 Определение основной относительной погрешности измерений силы переменного тока высокой частоты:
-
7.4.10.3.1 Для определения основной относительной погрешности измерений силы переменного тока высокой частоты необходимо собрать схему, представленную на рисунке А. 15 Приложения А.
-
-
7.4.10.3.2 Определение относительной погрешности измерений силы переменного тока высокой частоты проводить при следующих параметрах:
-
- частота синусоидального сигнала - 100 кГц;
-
- сила переменного тока высокой частоты - 0,93, 23,49, 47,09, 70,50,
93,90 мА (соответствует значениям СКЗ амплитуды напряжения 0.033; 0.833; 1,67; 2.50; 3.33 В при сопротивлении нагрузки 50 Ом).
Значение СКЗ амплитуды напряжения на нагрузке контролировать с помощью мультиметра.
-
7.4.10.3.3 Снять показания системы в режиме ускоренного опроса экрана «МОНИТОР» по параметру силы переменного тока высокой частоты.
-
7.4.10.3.4 Измерения провести для всех выбранных измерительных каналов.
-
7.4.10.3.5 По результатам каждого измерения определить основную относительную погрешность измерений силы переменного тока высокой частоты i, %, по формуле:
<511 = ^-100%, (34)
'д
где /; - показания системы при i-ом значении входного сигнала силы переменного тока высокой частоты, мА;
/д - значении силы переменного тока высокой частоты, рассчитанное по формуле 33. мА.
-
7.4.10.3.6 Основная относительная погрешность измерений силы переменного тока высокой частоты не должна превышать установленных пределов ± 10 %.
-
7.4.10.4 Определение основной относительной погрешности измерений частоты повторения импульсов:
-
7.4.10.4.1 Для определения основной относительной погрешности измерений частоты повторения импульсов необходимо собрать схему, представленную на рисунке А. 15 Приложения А.
-
7.4.10.4.2 Определение основной относительной погрешности измерений частоты повторения импульсов проводить при следующих параметрах:
-
- частота следования импульсов - 10 кГц;
-
- длительность импульсов - 1,5; 3.0; 4.5 мкс;
-
- амплитуда П-образоного сигнала - 4.5 В.
Значение частоты повторения контролировать с помощью частотомера.
-
7.4.10.4.3 Снять показания системы в режиме ускоренного опроса экрана «МОНИТОР» по параметру частоты повторения импульсов.
7.4.10.4.4. Измерения провести для всех выбранных измерительных каналов.
-
7.4.10.4.5 По результатам каждого измерения определить основную относительную погрешность измерений частоты повторения импульсов i, %, по формуле:
i = • 100 %, (35)
"О
где Ni - показания системы при i-ом значении входного сигнала частоты следования импульсов, с’1;
No - значение частоты, измеренное частотомером, с1.
-
7.4.10.5.6 Основная относительная погрешность измерений частоты повторения импульсов не должна превышать установленных пределов ± 2 %.
-
8.1 Результаты поверки оформляют протоколом поверки произвольной формы.
-
8.2 Положительные результаты первичной поверки оформляются оттиском поверительного клейма в разделе «Свидетельство о поверке» КОБМ.421451.017 ФО.
-
8.3 Положительные результаты периодической поверки оформляются свидетельством о поверке установленного образца. Знак поверки наносится на свидетельство о поверке.
-
8.4 При отрицательных результатах первичной поверки систему считают непригодной и к эксплуатации не допускают.
-
8.5 При отрицательных результатах периодической поверки систему считают непригодной и к эксплуатации не допускают, свидетельство о поверке аннулируют, оттиск поверительного клейма гасят и выдают извещение о непригодности установленного образца, с указанием причин непригодности.
Приложение А
(справочное)
Типовые схемы проверки измерительных каналов системы

Д- ВИП AB-311FR, AB-311FRO, AB-311FRU, AB-320FRM, AB-321FK, АВ-330,
АВ-317-5, АКЗ17-25, АК-3165, датчик вибрации 5128, 5129, 5131, 5136;
ДС - диагностическая станция (ДК или компьютер);
ИК - измерительной канал аппаратной платформы;
U1 ...U6 - технологические кабели РК-50
1049 - генератор 1049;
2626 - усилитель заряда 2626;
2706 - усилитель мощности 2706;
4809 - возбудитель механических колебаний 4809;
8305 - акселерометр 8305;
34970А - система сбора данных/коммутации 34970А
Рисунок А. 1 - Схема проверки каналов измерений СКЗ параметров абсолютной вибрации
Рисунок А, 1 (Измененная редакция, Изм. № 1)
U1
ИК |
U2 |
ДС | |
д |
Д - датчик перемещения 5007;
ДС - диагностическая станция (ДК или компьютер);
ИК - измерительной канал аппаратной платформы;
Имитатор объекта - имитатор объекта КОБМ.466211.001:
МР - адаптер МР:
U1...U3 - технологические кабели:
8003 - калибратор 8003
Рисунок А.2 - Схема проверки каналов измерений параметров относительной вибрации

Д - датчик перемещения 5007;
ДС - диагностическая станция (ДК или компьютер); ИК - измерительной канал аппаратной платформы; Имитатор - имитатор перемещений КОБМ.442269.002; 43-57 - частотомер 43-57;
МР - адаптер МР;
Ul, U2 - технологические кабели;
33521А - генератор сигналов 33521А
Рисунок А.З - Схема проверки для определения неравномерности А4Х канала измерения относительной вибрации

Д - датчик перемещения 5007;
ДС - диагностическая станция (ДК или компьютер);
ИК - измерительной канал аппаратной платформы;
Имитатор - устройство для тарировки датчиков перемещения КОБМ.441465.004;
И4-10 - индикатор часового типа И4-10;
Ul, U2 - технологические кабели;
Рисунок А.4 - Схема проверки каналов измерений
расстояния до контролируемой поверхности

ДС - диагностическая станция (ДК или компьютер); ИК - измерительной канал аппаратной платформы; Ul, U2 - технологические кабели;
8003 - калибратор 8003;
34410А - мультиметр 34410А
Рисунок А.5 - Схема проверки канала измерения температуры

Rin - шунт измерительный стационарный взаимозаменяемый 75ШСМ.М:
Д - трансформаторный преобразователь тока ТПТ-1-1А/0.1 V; ДС - диагностическая станция (ДК или компьютер);
ИК - измерительной канал аппаратной платформы: LCR-7821 - измеритель LRC LCR-7821;
Ul, U2 - технологические кабели;
34970А - система сбора данных/коммутации 34970А
Рисунок А.6 - Схема проверки канала измерения силы переменного тока сТПТ-1-IA/O.IV

Д - трансформаторный преобразователь тока ТПТ-1-5А/0.1 V, датчик ток 5308;
ДС - диагностическая станция (ДК или компьютер);
ИК - измерительной канал аппаратной платформы:
КТ-50 - калибратор тока КТ-50;
LCR-7821 - измеритель LRC LCR-7821;
Rm - шунт измерительный стационарный взаимозаменяемый 75ШСМ.М;
Ul, U2 - технологические кабели;
34970А - система сбора данных/коммутации 34970А;
Рисунок А.7 - Схема проверки канала измерения силы переменного тока с ТПТ-1-5А/0.1 V. датчиком тока 5308

Д - датчик тока 5304. 5307 или трансформаторный преобразователь тока ТПТ-1-5А/0.1 V с трансформатором тока разъемным ХН-32-хххА/5А;
ДС - диагностическая станция;
ИК - измерительной канал аппаратной платформы;
LCR-7821 - измеритель LRC LCR-7821;
Ш, U2 - технологические кабели;
8012 - калибратор тока 8012;
34970А - система сбора данных/коммутации 34970А
Рисунок А.8 - Схема проверки канала измерения силы переменного тока с датчиками тока 5304. 5307 или ТПТ-1-5А/0.1 V с трансформатором тока разъемным ХН-32-хххА/5А

Д - датчик давления 412ДИ:
ДС - диагностическая станция (ДК или компьютер); ИК - измерительной канал аппаратной платформы; МП 600 - манометр грузопоршневой МП 600;
Ul, U2 - технологические кабели
Рисунок А.9 - Схема проверки канала измерения давления

А1 - диск с магнитной меткой;
Д - таходатчик индукционный ТДИ-1. фотодатчик ФД-2 с адаптером 4803,
датчик перемещения 5007 с адаптером МР или датчик оборотов 5605: Дв - двигатель:
ДС - диагностическая станция (ДК или компьютер);
ИК - измерительной канал аппаратной платформы;
43-57 - частотомер 43-57;
S1 - переключатель;
Ul...U4 - технологические кабели;
33521А - генератор сигналов 33521А
Рисунок А. 10 - Схема проверки канала измерения частоты вращения

ДС - диагностическая станция (ДК или компьютер); ИК - измерительной канал аппаратной платформы; 43-57 - частотомер 43-57;
U1 ...U3 - технологические кабели ;
33521А-генератор сигналов 33521А
Рисунок А.11 - Схема проверки канала измерения частоты

ДС - диагностическая станция (ДК или компьютер); ИК - измерительной канал аппаратной платформы; U1 ...U3 - технологические кабели ;
33521А - генератор сигналов 33521 А;
34410А - мультиметр 34410А
Рисунок А. 12 - Схема проверки канала измерения напряжения

Д - датчик «КОКОС»;
ДС - диагностическая станция (ДК или компьютер);
ИК - измерительной канал аппаратной платформы:
Ul, U2 - технологические кабели:
Рисунок А.13 - Схема проверки канала измерения линейного перемещения

Д-делитель 1:100;
ДС - диагностическая станция (ДК или компьютер);
ИД - имитатор датчика АЭ 8113;
ИК - измерительной канал аппаратной платформы: U1 ...U4 - технологические кабели;
33521А - генератор сигналов 33521 А;
34410А - мультиметр 34410А
Рисунок А. 14 - Схема проверки канала измерений параметров импульсного сигнала

АКИП 3402 - генератор сигналов АКИП-3402;
Д - датчик частичных разрядов 5902;
ДС - диагностическая станция (ДК или компьютер);
ИК - измерительной канал аппаратной платформы;
Янагр - однозначная мера сопротивления 50 Ом:
Ul.. .U7 - технологические кабели;
34410А - мультиметр 34410А
Рисунок А. 15 - Схема проверки канала измерений силы переменного тока высокой частоты