Методика поверки «ГСОЕИ. АППАРАТУРА ГЕОДЕЗИЧЕСКАЯ СПУТНИКОВАЯ STONEX S» (МП АПМ 38-20)
УТВЕРЖДАЮ альный директор l>jonporpecc-M»

.С. Никитин
декабря 2020 г.
Государственная система обеспечения единства измерений
АППАРАТУРА ГЕОДЕЗИЧЕСКАЯ СПУТНИКОВАЯ STONEX S
МЕТОДИКА ПОВЕРКИ МП АПМ 38-20г. Москва.
2020 г.
Настоящая методика поверки распространяется на аппаратуру геодезическую спутниковую Stonex S, производства «Stonex S.r.l.». Италия (далее — аппаратуру) и устанавливает методику ее первичной и периодической поверки.
Интервал между поверками - 1 год.
1 Операции поверки
При проведении поверки должны выполняться операции, указанные в таблице 1.
аблица 1 - Операции поверки
Наименование операции |
№ пункта документа по поверке |
Проведение операций при | |
первичной поверке |
периодической поверке | ||
Внешний осмотр |
7.1 |
Да |
Да |
Опробование |
7.2 |
Да |
Да |
Определение метрологических характеристик |
7.3 |
- |
- |
Определение диапазона и абсолютной погрешности измерений длины базиса в режимах «Статика». «Быстрая статика» |
7.3.1 |
Да |
Да |
Определение диапазона и абсолютной погрешности измерений длины базиса в режимах «Кинематика». «Кинематика в реальном времени (RTK)» |
7.3.2 |
Да |
Да |
Определение диапазона и абсолютной погрешности измерений в режиме «Дифференциальный кодовый (DGNSS)» |
*7 О *5 7.Э.Э |
Да |
Да |
Определение диапазона и абсолютной погрешности измерений длин базисов в режиме «Кинематика в реальном времени (RTK)» с учетом угла наклона |
7.3.4 |
Да |
Да |
Определение абсолютной погрешности определения координат в режиме «Автономный» |
7.3.5 |
Да |
Да |
2 Средства поверки
При проведении поверки должны применяться эталоны и вспомогательные средства поверки, приведенные в таблице 2.
аблица 2 - Средства поверки
№ пункта документа по поверке |
Наименование эталонов, вспомогательных средств поверки и их основные метрологические и технические характеристики |
7.1 |
Эталоны не применяются |
7.2 | |
7.3.1 |
Фазовый светодальномер (тахеометр) или эталонный базисный комплекс 2 разряда в соответствии с Государственной поверочной схемой для координатно-временных средств измерений, утверждённой Приказом Росстандарта от 29.12.2018 г.. № 2831; Рулетка измерительная металлическая UM3M (per. № 22003-07) |
7.3.2 | |
7.3.3 | |
7.3.4 |
Фазовый светодальномер (тахеометр) или эталонный базисный комплекс 2 разряда в соответствии с Государственной поверочной схемой для координатно-временных средств измерений, утверждённой Приказом Росстандарта от 29.12.2018 г.. № 2831; Рулетка измерительная металлическая UM3M (per. № 22003-07) Квадрант оптический КО-60М. ±120°, ПГ ±30" (per. №26905-04) |
э
7.3.5 |
Имитатор сигналов СН-3803М (per. № 54309-13) |
Допускается применять другие средства поверки, обеспечивающие определение метрологических характеристик с точностью, удовлетворяющей требованиям настоящей методики поверки.
3 Требования к квалификации поверителей
К проведению поверки допускаются лица, изучившие эксплуатационную документацию на аппаратуру и средства поверки, и аттестованные в качестве поверителя средств измерений в установленном порядке.
4 Требования безопасности
При проведении поверки меры безопасности должны соответствовать требованиям по технике безопасности согласно эксплуатационной документации на аппаратуру и поверочное оборудование, правилам по технике безопасности, действующим на месте проведения поверки, а также правилам по технике безопасности при производстве топографо-геодезических работ ПТБ-88 (Утверждены коллегией ГУГК при СМ СССР 09.02.1989 г.. № 2/21).
5 Условия поверки
При проведении поверки должны соблюдаться, следующие нормальные условия измерений:
-
- температура окружающей среды. °C 20±5.
Полевые измерения (измерения на открытом воздухе) должны проводиться при отсутствии осадков, порывов ветра и при температуре окружающей среды в диапазоне от минус 45 до плюс 75 °C
6 Подготовка к поверке
Перед проведением поверки должны быть выполнены следующие подготовительные работы:
-
- проверить наличие действующих свидетельств о поверке на средства поверки:
-
- аппаратуру и средства поверки привести в рабочее состояние в соответствии с их эксплуатационной документацией:
-
- аппаратура должна быть установлена на специальных основаниях (фундаментах) или штативах, не подвергающихся механическим (вибрация, деформация, сдвиги) и температурным воздействиям.
-
7 Проведение поверки
7.1 Внешний осмотр
При внешнем осмотре должно быть установлено соответствие аппаратуры следующим требованиям:
-
- отсутствие механических повреждений и других дефектов, влияющих на эксплуатационные и метрологические характеристики аппаратуры:
-
- наличие комплектности и маркировки, согласно требованиям эксплуатационной документации на аппаратуру.
Если перечисленные требования не выполняются, аппаратуру признают непригодной к применению, дальнейшие операции поверки не производят.
7.2 Опробование
7.2.1 При опробовании должно быть установлено соответствие аппаратуры следующим требованиям:
-
- отсутствие качки и смещений неподвижно соединенных деталей и элементов аппаратуры:
-
- правильность взаимодействия с комплектом принадлежностей:
-
- работоспособность всех функциональных режимов.
-
7.2.2 Идентификационные данные программного обеспечения (далее - ПО) должны соответствовать данным, приведённым в таблице 3.
Таблица 3 - Идентификационные данные программного обеспечения
Идентификационные данные( признаки) |
Значение | ||||
Модификация |
S700A, S850A |
S900A |
S900 |
S990A. S980A |
S980 |
Идентификационное наименование ПО |
МПО | ||||
Номер версии (идентификационный номер ПО), не ниже |
S850-V2.02 (0.22.201120) |
S9II-V2.02 (0.22.201016) |
S900-V1.0 (0.22.200911) |
S990A-V1.1. (0.22.200911) |
S980-V1.0 (0.22.200911) |
Для идентификации номера версии МПО. установленного на аппаратуру необходимо:
-
- включить приемник нажав функциональную клавишу «ВклВыкл»:
-
- после включения приемника необходимо, используя устройство с модулем Wi-Fi найти в доступных беспроводных сетях точку доступа данного приемника (отобразится в виде серийного номера в списке) и подключиться к данной Wi-Fi сети:
-
- далее открыть любой доступный на устройстве браузер и в адресной строке ввести адрес «192.168.10.1» и перейти по нему:
-
- загрузится окно входа в web-интерфейс приемника куда необходимо ввести логин и пароль (по умолчанию Логин - «admin». Пароль - «password») и подтвердить введённые данные:
-
- после перехода в web-интерфейс приемника необходимо нажать на меню «Информация», номер версии МПО отобразится в специальном окне.
Если хотя бы одно из перечисленных требований не выполняется, аппаратуру признают непригодной к применению, дальнейшие операции поверки не производят.
-
7.3 Определение метрологических характеристик
7.3.1 Определение диапазона и абсолютной погрешности измерений длины базиса в режимах «Статика», «Быстрая статика»
Диапазон и абсолютная погрешность измерений длины базиса в режимах «Статика». «Быстрая статика» определяются путем многократных измерений (не менее 5) двух интервалов эталонного базисного комплекса или двух контрольных длин базиса, определённых фазовым светодальномером (тахеометром) 2 разряда в соответствии с Государственной поверочной схемой для координатно-временных средств измерений, утверждённой Приказом Госстандарта от 29.12.2018 г. № 2831 и действительные значения которых расположены в диапазоне от 0 до 30 км.
Установить поверяемую аппаратуру над центрами пунктов базиса и привести ее спутниковые антенны к горизонтальной плоскости.
Измерить высоту установки антенн аппаратуры с помощью рулетки.
Включить аппаратуру и настроить ее на сбор данных (измерений) в соответствующем режиме измерений согласно требованиям руководства по эксплуатации.
Убедиться в правильности функционирования и отсутствии помех приему сигнала со спутников.
Провести измерения поверяемой аппаратурой при условиях, указанных в таблице 4 настоящей методики поверки.
Таблица 4
Режим измерений |
Количество спутников, шт. |
Время измерений, мин |
Интервал между эпохами, с. |
Статика. Быстрая статика |
>6 |
от 20.0 до 60.0 |
1 |
Кинематика. Кинематика в реальном времени (RTK). «Кинематика в реальном времени (RTK)» с учетом угла наклона. Дифференциальный кодовый (DGNSS) |
от 0.05 до 0.20* | ||
Измерение координат на неподвижном основании |
120 | ||
Поверка проводятся при устойчивом закреплении поверяемой аппаратуры, открытом небосводе, отсутствии электромагнитных помех и многолучевого распространения сигнала спутников, а также при хорошей конфигурации спутниковых группировок. * - после выполнения инициализации или достижения сходимости |
Выключить аппаратуру согласно требованиям руководства по эксплуатации.
При использовании контрольных длин базиса, ещё раз измерить эталонным тахеометром ее значения. Результат измерений не должен отличаться от значения , полученного до начала съёмки аппарату рой. более чем на величину погрешности, приписанную эталонному тахеометру. В случае, если измеренная длина базиса отличается от значения L. . полученного до начала съёмки аппаратурой, более чем на величин} погрешности, необходимо повторить съёмку аппаратурой заново.
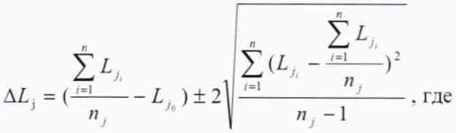
Абсолютная погрешность измерений каждой длины базиса (при доверительной вероятности 0.95) определяется как сумма систематической и случайной погрешностей по формуле:

- погрешность измерений / длины базиса в плане/по высоте, мм: - эталонное значение / длины базиса в плане/по высоте, мм:
Lj - измеренное поверяемой аппаратурой значение / длины базиса / измерением в плане/по высоте, мм:
и,- - число измерений / длины базиса.
Значения абсолютной погрешности измерений для каждой длины базиса в режимах «Статика». «Быстрая статика» не должны превышать значений, приведенных в Приложении А к настоящей методике поверки.
Абсолютная погрешность измерений длины базиса для больших длин определяется в режиме «Статика» по приращению координат замкнутой фигуры (треугольника), длины сторон которой находятся в диапазоне от 3 км до 30 км. в соответствии с п. 6.4. МИ 2408-97 «Аппаратура пользователей космических навигационных систем геодезическая. Методика поверки».
Следует последовательно устанавливать аппаратуру на пунктах, образующих треугольник и согласно руководству по эксплуатации выполнить измерения и вычислить приращения координат между пунктами.
Сумма приращений координат (невязка координат) не должна превышать значений, вычисленных по формуле:
+ (Дгх.гл)2 + (ДЗх.гР2 >
где WX Y z - невязка координат в плане/по высоте, мм:
&iXYZ - допустимые значения погрешности приращений координат для i стороны треугольника в плане/по высоте, мм. приведенных в Приложении А к настоящей методике поверки.
Если хотя бы одно из перечисленных требований не выполняется, аппаратуру признают непригодной к применению, дальнейшие операции поверки не производят.
7.3.2 Определение диапазона и абсолютной погрешности измерений длины базиса в режимах «Кинематика», «Кинематика в реальном времени (RTK)»
Диапазон и абсолютная погрешность измерений длины базиса в режимах «Кинематика». «Кинематика в реальном времени (RTK)» определяются путем многократных измерений (не менее 10) интервала эталонного базисного комплекса или контрольной длины базиса, определённой фазовым светодальномером (тахеометром) 2 разряда в соответствии с Государственной поверочной схемой для координатно-временных средств измерений, утверждённой Приказом Госстандарта от 29.12.2018 г. № 2831 и действительные значения которых расположены в диапазоне от 0 до 30 км.
Установить поверяемую аппаратуру над центрами пунктов базиса и привести ее спутниковые антенны к горизонтальной плоскости.
Измерить высоту установки антенн аппаратуры с помощью рулетки.
Включить аппаратуру и настроить ее на сбор данных (измерений) в соответствующем режиме измерений согласно требованиям руководства по эксплуатации.
Убедиться в правильности функционирования и отсутствии помех приему сигнала со спутников.
Провести измерения поверяемой аппаратурой при условиях, указанных в таблице 4 настоящей методике поверки.
Выключить аппаратуру согласно требованиям руководства по эксплуатации.
При использовании контрольной длины базиса, ещё раз измерить эталонным тахеометром ее значения. Результат измерений не должен отличаться от значения L, , полученного до начала съёмки аппаратурой, более чем на величину погрешности, приписанную эталонному тахеометру. В случае, если измеренная длина отличается от значения £;- , полученного до начала съёмки аппаратурой, более чем на величину погрешности, необходимо повторить съёмку аппаратурой заново.
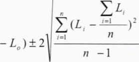
Абсолютная погрешность измерений длины базиса (при доверительной вероятности 0.95) определяется как сумма систематической и случайной погрешностей по формуле:
п
Д£ = (-^— п

. где
- погрешность измерений j длины базиса в плане/по высоте, мм:
L - эталонное значение / длины базиса в плане/по высоте, мм:
Lj - измеренное поверяемой аппаратурой значение / длины базиса / измерением в плане/по высоте, мм:
/1, - число измерений / длины базиса.
Значения абсолютной погрешности (при доверительной вероятности 0.95) измерений длины базиса в режимах «Кинематика», «Кинематика в реальном времени (RTK)» не должны превышать значений, указанных в Приложении А к настоящей методике поверки.
Абсолютная погрешность измерений длины базиса для больших длин определяется по приращению координат замкнутой фигуры (треугольника), длины сторон которой находятся в диапазоне от 3 км до 30 км. в соответствии с п. 6.4. МИ 2408-97 «Аппаратура пользователей космических навигационных систем геодезическая. Методика поверки».
Следует последовательно устанавливать аппаратуру на пунктах, образующих треугольник и согласно руководству по эксплуатации выполнить измерения и вычислить приращения координат между пунктами.
Сумма приращений координат (невязка координат) не должна превышать значений, вычисленных по формуле:
= j(Alx.K2)2 + (Д2х.кг)2 + (Дзх.г,2)2 ,
где Wx у,z ~ невязка координат в плане/по высоте, мм;
Д1ху2 ~ допустимые значения погрешности приращений координат для i стороны треугольника в плане/по высоте, мм. приведенных в Приложении А к настоящей методике поверки.
Если хотя бы одно из перечисленных требований не выполняется, аппаратуру признают непригодной к применению. дальнейшие операции поверки не производят.
7.3.3 Определение диапазона и абсолютной погрешности измерений длины базиса в режиме «Дифференциальный кодовый (DGNSS)»
Диапазон и абсолютная погрешность измерений длины базиса в режиме «Дифференциальный кодовый (DGNSS)» определяются путем многократных измерений (не менее 5) интервала эталонного базисного комплекса или контрольной длины базиса, определённой фазовым светодальномером (тахеометром) 2 разряда в соответствии с Государственной поверочной схемой для координатно-временных средств измерений, утверждённой Приказом Росстандарта от 29.12.2018 г. № 2831 и действительное значение которого расположено в диапазоне от 0 до 30 км.
Установить поверяемую аппаратуру над центрами пунктов базиса и привести ее спутниковые антенны к горизонтальной плоскости.
Измерить высоту установки антенн аппаратуры с помощью рулетки.
Включить аппаратуру и настроить ее на сбор данных (измерений) в соответствующем режиме измерений согласно требованиям руководства по эксплуатации.
Убедиться в правильности функционирования и отсутствии помех приему сигнала со спутников.
Провести измерения на поверяемой аппаратуре при условиях, указанных в таблице 4 настоящей методики поверки.
Выключить аппаратуру согласно требованиям руководства по эксплуатации.
При использовании контрольной длины базиса, ещё раз измерить эталонным тахеометром её значения. Результат измерений не должен отличаться от значения А, , полученного до начала съёмки аппаратурой, более чем на величину погрешности, приписанную эталонному тахеометру. В случае, если измеренная длина отличается от значения Lj( , полученного до начала съёмки аппаратурой, более чем на величину погрешности, необходимо повторить съёмку аппаратурой заново.
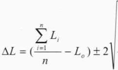
Абсолютная погрешность измерений длины базиса (при доверительной вероятности
0.95) определяется как сумма систематической и случайной погрешностей по формуле:

ДА, - погрешность измерений /длины базиса в плане/по высоте, мм:
L h - эталонное значение / длины базиса в плане/по высоте, мм;
Д - измеренное поверяемой аппаратурой значение / длины базиса i измерением в плане/по высоте, мм;
л,- - число измерений / длины базиса.
Значения абсолютной погрешности (при доверительной вероятности 0.95) измерений длины базиса в режиме «Дифференциальный кодовый (DGNSS)» не должны превышать значений, указанных в Приложении А к настоящей методике поверки.
Абсолютная погрешность измерений длины базиса для больших длин определяется по приращению координат замкнутой фигуры (треугольника), длины сторон которой находятся в диапазоне от 3 км до 30.0 км. в соответствии с п. 6.4. МИ 2408-97 «Аппаратура пользователей космических навигационных систем геодезическая. Методика поверки».
Следует последовательно устанавливать аппаратуру на пунктах, образующих треугольник и согласно руководству по эксплуатации выполнить измерения и вычислить приращения координат между пунктами.
Сумма приращений координат (невязка координат) не должна превышать значений, вычисленных по формуле:
= J(Alx.r.z)2 + (Д2ххг)2 + (Дзх,кг)2.
где Wxу z - невязка координат в плане/по высоте, мм:
Aixyz - допустимые значения погрешности приращений координат для i стороны треугольника в плане/по высоте, мм. приведенных в Приложении А к настоящей методике поверки.
Если хотя бы одно из перечисленных требований не выполняется, аппаратур}’ признают непригодной к применению, дальнейшие операции поверки не производят.
7.3.4 Определение диапазона и абсолютной погрешности измерений длин базисов в режиме «Кинематика в реальном времени (RTK)» с учетом угла наклона
Диапазон и абсолютная погрешность измерений длин базисов в режимах «Кинематика». «Кинематика в реальном времени (RTK)» определяются путем многократных измерений (не менее 10) эталонного базисного комплекса 2 разряда или контрольной длины базиса, определённой фазовым светодальномером (тахеометром) 2 разряда в соответствии с Государственной поверочной схемой для координатно-временных средств измерений, утверждённой Приказом Госстандарта от 29.12.2018 г. №2831 и действительное значение которого расположено в диапазоне от 0 до 30 км.
Установить поверяемые образцы аппаратуры над центрами пунктов, расположенных на концах эталонного базиса и привести аппаратуру к горизонтальной плоскости. Один из образцов аппаратуры необходимо установить на веху.
Измерить высоту установки антенн аппаратуры с помощью рулетки.
Включить аппаратуру и настроить ее на сбор данных (измерений) в соответствующем режиме измерений согласно требованиям руководства по эксплуатации.
Убедиться в правильности функционирования и отсутствии помех приему сигнала со спутников.
Наклоняя один из образцов аппаратуры в диапазоне от 0 до 60 °. не менее, чем в 5, фиксируемых при помощи квадранта, точках, провести одновременные измерения расстояния на образцах аппаратуры при условиях, указанных в таблице 4 настоящей методики поверки.
Затем вернуть наклоненный образец в горизонтальное положение.
Повернуть на 120° в горизонтальной плоскости.
Повторить процедуру 3 раза, до возвращения наклоненного образца в исходное положение. Выключить аппаратуру согласно требованиям руководства по эксплуатации.
При использовании контрольной длины базиса, ещё раз измерить тахеометром её значения. Результат измерений не должен отличаться от значения L . полученного до начала съёмки аппаратурой, более чем на величин)’ погрешности, приписанную тахеометру. В случае если измеренная длина отличается от значения L; , полученного до начала съёмки аппаратурой, более чем на величину погрешности, необходимо повторить съёмку аппаратурой заново.
Провести обработку данных с использованием штатного ПО к аппаратуре.
Абсолютная погрешность измерений длины базиса (при доверительной вероятности 0.95) определяется как сумма систематической и случайной погрешностей по формуле:

77-1
где ЛА - погрешность измерений длины базиса в плане/по высоте, мм:
Д) - эталонное значение длины базиса в плане/по высоте, мм:
Д - измеренное аппаратурой значение длины базиса i измерением в плане/по высоте, мм:
П - число измерений длины базиса.
Значения абсолютной погрешности (при доверительной вероятности 0.95) измерений длины базиса в режиме «Кинематика в реальном времени (RTK)» с учетом угла наклона должны соответствовать значениям, приведенным в Приложении А к настоящей методике поверки.
Абсолютная погрешность измерений длины базиса для больших длин определяется по приращению координат замкнутой фигуры (треугольника), длины сторон которой находятся в диапазоне от 3 км до 30.0 км. в соответствии с п. 6.4. МИ 2408-97 «Аппаратура пользователей космических навигационных систем геодезическая. Методика поверки».
Следует последовательно устанавливать аппаратуру на пунктах, образующих треугольник и согласно руководству по эксплуатации выполнить измерения и вычислить приращения координат между пунктами.
Сумма приращений координат (невязка координат) не должна превышать значений, вычисленных по формуле:
^.r.z = J^.yj2 + (Д2ХУЛ)2 + (Дзхкг)2,
где у,z ~ невязка координат в плане/по высоте, мм;
Aixyz - допустимые значения погрешности приращений координат для i стороны треугольника в плане/по высоте, мм. приведенных в Приложении А к настоящей методике поверки.
Если хотя бы одно из перечисленных требований не выполняется, аппаратуру признают непригодной к применению. дальнейшие операции поверки не производят.
7.3.5 Определение абсолютной погрешности определения координат в режиме «Автономный»
Абсолютная погрешность измерений определения координат в режиме «Автономный» определяется с помощью имитатора сигналов космических навигационных систем ГЛОНАСС/GPS. Измерения следует выполнять в соответствии с руководством по эксплуатации при моделировании имитатором сигналов условий (сценария) неподвижности аппаратуры.
Собрать схему измерений с имитатором сигналов в соответствии с рисунком 1:

Рисунок 1 - Схема измерений
-
1 - переизлучающая антенна:
-
2 - экранированная камера (из состава имитатора сигналов)
Составить сценарий имитации с параметрами, приведенными в таблице 5. Отслеживать значение геометрического фактора PDOP (не должно превышать 3).
Таблица 5
Наименование параметра имитации |
Значение параметра имитации |
Формируемые спутниковые навигационные сигналы |
ГЛОНАСС и GPS (код С/А без SA) |
Продолжительность |
120 мин. |
Количество каналов: - ГЛОНАСС -GPS |
8 8 |
Параметры среды распространения навигационных сигналов:
|
отсутствует присутствует |
Координаты в системе координат WGS-84:
|
60°00'000000 N 030°00'000000 Е 100.00 18,00 |
Запустить сценарий имитации.
Включить образцы аппаратуры и настроить их на сбор данных (измерений) в необходимом режиме согласно требованиям руководства по эксплуатации. Настроить образцы аппаратуры на выдач)' результатов измерений в протоколе NMEA. Осуществить запись измерений в формате NMEA сообщений с частотой 1 Гц в течение 120 минут, при условиях. указанных в таблице 5.
Выключить аппаратуру согласно требованиям руководства по эксплуатации.
Провести постобработку собранных данных с помощью прикладного ПО на ПК.
Абсолютная погрешность измерения вычисляется как сумма систематической и
случайной погрешности по выражению: | |
п ys, п 'Х.Г.Н | |
-1 Дх.™=('=1 |
ж,„ -Z ) i=l nX.Y.H |
п-\ | |
"x.Y.H » |
A v,. н - погрешность измерений координат X. У. Н. мм;
Sov - эталонные значения координат X. У. Н задаваемые имитатором сигналов, мм:
( - измеренные аппаратурой значения координат X. У. Н. мм:
j я - число измерений координат X. У Н.
Примечание.
X.Y - прямоугольные координаты, полученные преобразованием сферических координат (широта, долгота.) по алгоритму ГОСТ Р 51~94-2001 «Системы координат. Методы преобразований координат определяемых точек»
Значения абсолютной погрешности определения координат на неподвижном основании не должны превышать значений, указанных в Приложении А к настоящей методике поверки.
Если хотя бы одно из перечисленных требований не выполняется, аппаратуру признают непригодной к применению. дальнейшие операции поверки не производят.
8 Оформление результатов поверки
-
8.1 Результаты поверки оформляются протоколом, составленным в виде сводной таблицы результатов поверки по каждому пункту раздела 7 настоящей методики поверки.
-
8.2 Сведения о результатах поверки средств измерений в целях подтверждения поверки должны быть переданы в Федеральный информационный фонд по обеспечению единства измерений.
-
8.3 При положительных результатах поверки аппаратура признается пригодной к применению и по заявлению владельца средств измерений или лица, представляющего средства измерений на поверку выдается свидетельство о поверке установленной формы. Нанесение знака поверки на средство измерений не предусмотрено.
-
8.4 При отрицательных результатах поверки, аппаратура признается непригодной к применению и по заявлению владельца средств измерений или лица, представляющего средства измерений на поверку выдаётся извещение о непригодности установленной формы с указанием
основных причин.

К.А. Ревин
Руководитель отдела ООО «Автопрогресс-М»
Приложение А
(Обязательное)
Метрологические характеристики
Таблица А.1 - Метрологические характеристики
Наименование характеристики |
Значение | |
Модификация |
Границы допускаемой абсолютной погрешности измерений длины базиса11 (при доверительной вероятности 0.95). мм. в режимах: | |
в плане |
по высоте | |
«Статика». «Быстрая статика» | ||
S700A |
±2(2,5+l.O-lO^-D) |
±2-(5.0+1.0-10‘6-D) |
S980, S900 |
±2-(3.0+0.5-10'6-D) |
±2-(3.5+0.510*6D) |
S900A. S850A |
±2-(2,5+0.5-10'6-D) |
±2-(3.5+0,5-10‘6-D) |
S980A. S990A |
±2-(2.0+0,5-10'6-D) |
±2-(3.0+0.5-10‘6D) |
«Кинематика». «Кинематика в реальном времени (RTK)» | ||
S980. S900 |
±2-(8.0+l,0-10'6-D) |
±2-(15.0+1.0-10AD) |
S700A |
±2(5,(H-l,010'6-D) |
±2-( lO.O+l.O-lO^-D) |
S900A. S850A |
±2-(5,0+0.5-10'6-D) |
±2-(10.0+0.5-10’6-D) |
S980A. S990A |
±2-(4,0+0,5-106-D) |
±2-( 8.0+0.5-10'6-D) |
«Кинематика в реальном времени (RTK)» с учётом наклона аппаратуры2’ | ||
S980. S900 |
±2(28,0+1.0-IO^-D) |
±2(35.0+1.010‘6-D) |
S900A. S850A |
±2(25,0+0,5-lO^-D) |
±2(30.0+0.5-10‘6-D) |
S980A, S990A |
±2-(24,0+0.510-6-D) |
±2-(28.0+0.5-10'6-D) |
«Дифференциальный кодовый (DGNSS)» | ||
S700A. S850A |
±2(250+1 -10'6-D) |
±2-(500+l-10'6-D) |
S980, S900. S900A. S990A. S980A |
±2-(250+l-10"*-D) |
±2-(450+l-10'6-D) |
«Автономный» | ||
S700A. S850A |
6000 |
12000 |
S980. S900. S900A, S990A. S980A |
3000 |
6000 |
11 - при длине базиса от 0 до 30 км 21 - допускается наклон от 0 до 60 ° D - измеряемое расстояние в мм |