Методика поверки «ГСОЕИ. Манометр грузопоршневой МП-60» (МП 231-0092-2021)
Федеральное государственное унитарное предприятие «Всероссийский научно-исследовательский институт им. Д.И. Менделеева» ФГУП «ВНИИМ им. Д.И. Менделеева»
ГЛАСОВАНО
«06» августа 2021 г.
нерального директора
ИИМ им. Д.И. Менделеева»
.Н. Пронин
Государственная система обеспечения единства измерений
Манометр грузопоршневой МП-60МЕТОДИКА ПОВЕРКИ
МП 231-0092-2021Руководитель НИО государственных эталонов в области измерений давления
Р.А. Тетерук
Ведущий инженер НИЛ государственных эталонов и научных исследований в области измерений избыточного давления и разности давлений /
г. Санкт-Петербург 2021 г.
1 ОБЩИЕ ПОЛОЖЕНИЯ-
1.1 Настоящая методика поверки распространяется на манометр грузопоршневой МП-60 (далее по тексту - манометр) и устанавливает методы и средства первичной и периодической поверок.
-
1.2 Методикой поверки (далее по тексту - МП) не предусмотрена возможность проведения поверки отдельных измерительных каналов.
-
1.3 Методика поверки должна обеспечивать прослеживаемость манометра к Государственному первичному эталону единицы давления - паскаля ГЭТ 23-2010.
-
1.4 Метод, обеспечивающий реализацию методики поверки: непосредственное сличение.
2.1 При проведении поверки должны быть выполнены операции, указанные в таблице 2.1.
Таблица 2.1
|
Наименование операций |
Номер п/п МП |
Проведение операции при | |
|
первичной поверке |
периодической поверке | ||
|
Внешний осмотр средства измерений |
7 |
да |
да |
|
Подготовка к поверке и опробование средства измерений |
8 |
да |
да |
|
Определение отклонения от перпендикулярности опорной плоскости грузоприёмного устройства к оси поршня |
9.1 |
да |
да |
|
Определение продолжительности свободного вращения поршня |
9.2 |
да |
да |
|
Определение скорости опускания поршня |
9.3 |
да |
да |
|
Определение эффективной площади поршня |
9.4 |
да |
да |
|
Определение порога реагирования |
9.5 |
да |
да |
|
Подтверждение соответствия средства измерений метрологическим требованиям |
10 |
да |
да |
|
Оформление результатов поверки |
11 |
да |
да |
-
2.2 Поверка прекращается при получении отрицательного результата по р. 7 или 8 настоящей МП.
-
3.1 При проведении операций поверки должны быть соблюдены следующие условия:
температура окружающего воздуха, °C от+18 до+22
относительная влажность воздуха, %, не более от 40 до 80
атмосферное давление, кПа от 84 до 106,7
в процессе поверки температура окружающего воздуха не должна изменяться более 1 °C в час;
вибрация, тряска, удары, магнитные поля, кроме земного, влияющие на работу и метрологические характеристики приборов, должны отсутствовать.
-
3.2 Перед проведением поверки манометр следует выдержать при температуре окружающего воздуха в помещении для поверки не менее:
4ч- при разнице температур воздуха в помещении для поверки и местом, откуда вносится поверяемое СИ, более 10 °C;
1 ч - при разнице температур воздуха в помещении для поверки и местом, откуда вносится поверяемое СИ, от 1 до 10 °C.
При разнице указанных температур менее 1 °C выдержка не требуется.
4 ТРЕБОВАНИЯ К СПЕЦИАЛИСТАМ, ОСУЩЕСТВЛЯЮЩИМ ПОВЕРКУ-
4.1 Поверка проводится квалифицированным персоналом лабораторий, аттестованных в установленном порядке.
-
4.2 К поверке допускаются лица, прошедшие инструктаж по безопасности труда и ознакомленные с эксплуатационной документацией на средства поверки и поверяемые средства измерений.
-
5.1 При проведении поверки рекомендуются к применению средства поверки (эталоны единиц величин, средства измерений, вспомогательные технические средства), указанные в таблице 5.1.
Таблица 5.1 - Перечень средств поверки, рекомендуемых к применению при проведении поверки
|
Номер пункта МП |
Наименование и тип средств поверки, метрологические и технические требования | |
|
3.1 |
Термогигрометр ИВА-6 (регистрационный номер в информационном фонде 46434-11). |
Федеральном |
|
7 |
Визуально | |
|
8 |
Система для создания давления | |
|
9.1 |
Оптический квадрант КО-60 по ТУ 3-3.179-81, или накладной уровень с ампулой типа АЦП с ценой деления 30” по ГОСТ 2386-73, или индикатор часового типа ИЧ по ГОСТ 577-68. | |
Продолжение таблицы 5.1
|
Номер пункта МП |
Наименование и тип средств поверки, метрологические и технические требования |
|
9.2 |
Секундомер по ТУ 25-1894.003-90 или индикатор типа ИЧ по ГОСТ 577-68. Система для создания давления. |
|
9.3 |
Секундомер по ТУ 25-1894.003-90, измерительный микроскоп типа МБП-2 с увеличением 24 и ценой деления 0,05 мм или индикатор типа ИЧ по ГОСТ 577-68. Система для создания давления. |
|
9.4 |
Государственный вторичный эталон-копия единицы давления для области избыточного давления в диапазоне от 0,02 до 100 МПа (ГВЭТ 23-1-2014), в диапазоне измерений от 0,02 до 3 МПа, среднее квадратическое отклонение результата измерений So=4 1O'6 (в соответствии поверочной схемой «Государственная поверочная схема для средств измерений избыточного давления до 4000 МПа», утверждённой Приказом Госстандарта № 1339 от 29.06.2018). Система для создания давления. Наборы миллиграммовых и граммовых гирь класса Ег, Fi и F2 по ГОСТ OIMLR 111-1-2009. |
|
9.5 |
Средства поверки для п.9.4. |
|
Примечание: Средства измерений, применяемые при поверке, должны иметь сведения о результатах поверки в Федеральном информационном фонде. Эталоны должны быть аттестованы в установленном порядке, должны иметь сведения о результатах аттестации в Федеральном информационном фонде. | |
-
5.2 Допускается применение средств поверки, не приведенных в рекомендуемом перечне, но обеспечивающих определение (контроль) метрологических характеристик поверяемого средства измерений с требуемой точностью, передачу единицы величины средству измерений при его поверке и прослеживаемость эталонов и средств измерений, применяемых при поверке, к государственным первичным эталонам единиц величин.
-
6.1 При поверке должны быть соблюдены требования безопасности труда, производственной санитарии и охраны окружающей среды, изложенные в эксплуатационных документах средств поверки и поверяемого средства измерений.
-
7.1 При внешнем осмотре должно быть установлено соответствие поверяемого манометра следующим требованиям:
маркировка, обозначения на манометре должны соответствовать требованиям технической документации;
механические повреждения, влияющие на правильность функционирования и метрологические характеристики должны отсутствовать;
внешний вид должен соответствовать конструктивным требованиям, указанным в эксплуатационной документации;
5 комплектность должна соответствовать комплектности, указанной в технической документации.
Примечание: при наличии сертификатов калибровки на грузы с датой выдачи не более 24 месяцев до даты предоставления манометра в поверку, грузы допускается не предоставлять.
-
7.2 Манометр, не удовлетворяющий требованиям п. 7.1 настоящей методики, не подлежит дальнейшей поверке.
-
8.1 Перед опробованием манометра должны быть выполнены следующие подготовительные работы.
-
8.1.1 Устройство для создания давления должно быть установлено на горизонтальное основание, исключающее тряску, вибрацию и появление наклонов опорной поверхности.
-
8.1.2 Устройство для создания давления должно обеспечивать в пределах всего рабочего хода поршня возможность плавного повышения и понижения давления.
-
8.1.3 Должна быть осуществлена проверка наличия сертификата калибровки на грузы и поршень с грузоприёмным устройством с датой выдачи не более 24 месяцев до даты предоставления манометра в поверку.
-
8.1.3.1 Результатом калибровки должны быть условные значения массы грузов, поршня с грузоприемным устройством и дополнительных грузов, а так же расширенная неопределенность измерений массы.
-
8.1.3.2 Условные значения массы грузов и поршня с грузоприемным устройством должны быть подогнаны в зависимости от значения под номинальное значение массы или под номинальное значение давления с учетом ускорения свободного падения.
-
8.1.3.3 Условные значения массы грузов, поршня с грузоприемным устройством и дополнительных грузов проверяют взвешиванием на компараторе массы (весах) с применением наборов миллиграммовых и граммовых гирь класса Ei по ГОСТ OIMLR 111-1-2009.
-
-
8.1.4 Манометр перед поверкой, после промывания поршневой пары, должен находиться в лаборатории не менее 10 часов.
-
-
8.2 При опробовании устанавливают соответствие эксплуатационных свойств манометра требованиям, приведенным ниже.
-
8.2.1 Соединение поршня с грузоприемным устройством должно исключать взаимное относительное перемещение.
-
8.2.2 Поршень должен свободно, без затираний вращаться в цилиндре и перемещаться вдоль оси цилиндра.
-
8.2.3 Грузы должны легко, без заедания, размещаться один на другой на грузоприемное устройство и сниматься без относительного взаимного радиального перемещения.
-
8.2.4 Герметичность манометра проверяют при давлении, равном верхнему пределу измерений. При указанном давлении измерительную поршневую систему (далее - ИПС) выдерживают пять минут. В течение последующих двух минут не должно наблюдаться падение давления, при этом изменение температуры воздуха в помещении не должно превышать ±0,1 °C.
-
-
9 ОПРЕДЕЛЕНИЕ МЕТРОЛОГИЧЕСКИХ ХАРАКТЕРИСТИК СРЕДСТВА ИЗМЕРЕНИЙ
-
9.1.1 Отклонение от перпендикулярности опорной плоскости грузоприемного устройства к оси поршня определяют при вертикальном положении ИПС одним из двух способов.
-
9.1.2 Первый способ. На опорную плоскость устанавливают уровень или квадрант в двух взаимно перпендикулярных положениях, не приводя ИПС во вращение.
Разность показаний уровня или квадранта не должна превышать (5').
-
9.1.3 Второй способ. Манометр отключают вентилем от устройства для создания давлений. Устанавливают на штативе индикатор в вертикальное положение. Наконечник индикатора приводят в соприкосновение с опорной плоскостью грузоприемного устройства и рукой приводят во вращение поршень с грузоприемным устройством, наблюдая при этом за перемещением стрелки индикатора.
Опорная плоскость грузоприемного устройства, поверяемого манометра, должна быть перпендикулярной к оси поршня с допускаемым отклонением не более 1,45 мм/м (~5 ')•
9.2 Определение продолжительности свободного вращения поршня-
9.2.1 Продолжительность свободного вращения поршня определяют при помощи секундомера при установке поверяемого манометра в среднее рабочее положение с допускаемым отклонением ±1 мм.
-
9.2.2 Поршень манометра нагружают грузами, создавая давление, равное 20% верхнего предела измерений, и приводят вращение по ходу часовой стрелки.
-
9.2.3 За продолжительность свободного вращения поршня принимают интервал времени от момента, соответствующего начальной частоте его вращения, равной (120±10) об/мин, до полной остановки поршня. Начальную частоту вращения поршня определяют при помощи тахометра или подсчетом числа оборотов за 10 с. Для удобства подсчета между грузами следует положить полоску бумаги.
-
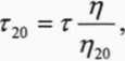
9.2.4 Если температура манометра в момент измерений отличается от 20 °C, то значение продолжительности вращения необходимо привести к температуре 20 °C, пересчитав по формуле:

где Т20 - приведенное значение продолжительности вращения, с,
т - подсчитанное значение продолжительности вращения, с,
7 - значение динамической вязкости рабочей жидкости при измерении, Па с,
t]20 - значение динамической вязкости рабочей жидкости при измерении при температуре 20 °C, Па-с.
9.3 Определение скорости опускания поршня-
9.3.1 Скорость опускания поршня определяют при нагрузке, соответствующей верхнему пределу измерений поверяемого манометра. При этом запорный вентиль должен быть перекрыт, поверяемый манометр выдержан под нагрузкой не менее 15 минут.
-
9.3.2 Для определения скорости опускания поршня измеряют расстояние, на которое он переместился за некоторый промежуток времени. Расстояние измеряют отсчетным устройством, интервал времени опускания поршня отсчитывают по секундомеру.
-
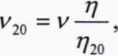
9.3.3 Если температура манометра в момент измерений отличается от 20 °C, то значение скорости опускания необходимо привести к температуре 20 °C, пересчитав по формуле:

где V20- приведенное значение скорости опускания, мм/мин,
v - измеренное значение скорости опускания, мм/мин.
9.4 Определение эффективной площади поршня-
9.4.1 Эффективную площадь манометра определяют методом непосредственного сличения поверяемого манометра с эталонным манометром. При этом проводят гидростатическое уравновешивание поршней одним из способов:
прямое уравновешивание (без предварительного уравновешивания) масс поршней с грузоприемным устройством и помещенных на них грузов,
уравновешивание масс грузов, помещенных на поршни поверяемого и эталонного манометров, при условии предварительного уравновешивания поршней.
-
9.4.2 При прямом уравновешивании поршни поверяемого и эталонного манометров необходимо установить так, чтобы в момент их равновесия нижние торцы поршней располагались в одной горизонтальной плоскости. В противном случае необходимо определить расстояние по вертикали между нижними торцами поршней и внести поправку на значение массы столба жидкости. Взаимное положение поршней должно быть определено с погрешностью не более 1 мм.
-
9.4.3 При условии применения метода с предварительным уравновешиванием нет необходимости располагать торцы поршней в одной горизонтальной плоскости.
-
9.4.4 При определении эффективной площади поршня должны быть выполнены следующие требования, приведенные ниже.
-
9.4.4.1 Поршни эталонного и поверяемого манометра должны быть установлены в рабочее положение.
-
9.4.4.2 Взаимное положение поршней следует контролировать во время их равновесия отсчетными устройствами для наблюдения за положением равновесия.
-
9.4.4.3 Измерения следует проводить при постепенном увеличении значений давления до верхнего предела диапазона измерений манометра, а затем при их постепенном уменьшении. Количество точек давления для прямого и обратного хода должно быть не менее 5.
-
9.4.4.4 Погрешность определения действительных значений масс поршня с грузоприёмным устройством и грузов поверяемого манометра при определении эффективной площади поршня не должны превышать 0,05 dnOe (где 0,05 dnoe - предел допускаемой погрешности поверяемого манометра, %), а для грузов массой менее 50 г погрешность не должна превышать 0,1 dnoe или 1 мг в зависимости от того, что больше.
-
Примечание: при отклонении действительных значений масс грузов от номинальных значений, не превышающем значения допускаемой погрешности определения массы, т.е. 0,2 dnoe. в протокол поверки записывают их номинальную массу. В противном случае учитывают действительное значение массы грузов.
-
9.4.4.5 Для уравновешивания поршней на грузоприёмные устройства поверяемого манометра и рабочего эталона помещают грузы соответствующей массы, необходимой для создания требуемого значения давления, затем приводят их во вращение с частотой не менее 30 оборотов в минуту. Равновесие считают достигнутым, если не наблюдается взаимное изменение положения поршней.
-
9.4.4.6 При определении эффективной площади ИПС без предварительного уравновешивания отношение масс Л/ при каждом отдельном уравновешивании поршней с учетом массы столба рабочей среды под поршнем ЭК определяют по формуле:
А, =---------F----Е------’
m3-pc-F3HOM'h + nl3ri
а с учетом массы столба рабочей среды под поршнем поверяемого манометра по формуле:

(т„,„ + Рс ■ • h +
(4)
где w, и Шпов - действительная масса поршня с грузоприемным устройством эталонного и поверяемого манометров соответственно, кг;
Шп и тПов п - действительная масса грузов и гирь при z-м уравновешивании, нагружаемых на эталонный и поверяемый манометры соответственно, кг;
F3 ном и Fnoe ном - номинальные значения приведенных площадей ИПС эталонного и поверяемого манометров соответственно, м2;
h - расстояние между нижними торцами поршней эталонного манометра и поверяемого манометра, м; h > 0, если нижний торец поршня эталонного манометра ниже торца поршня поверяемого манометра;
рс - плотность рабочей среды, кг/м3;
qi - поправочный коэффициент, учитывающий влияние температуры и деформации на показания манометров, определяемый по формуле:
qi=l+(ah+ а2э)(1эг20°С)-(а1По^ о-2пов)( tnoe г20°С)+([$э~ flnoe)pi> (5)
где аь и а2э - температурные коэффициенты линейного расширения материалов цилиндра и поршня эталонного манометра, °C"1;
ainoe и а2пов - температурные коэффициенты линейного расширения материалов цилиндра и поршня поверяемого манометра, °C’1;
tnoe i и tji- температура поверяемого и эталонного манометров соответственно при z-m уравновешивании, °C;
pi - номинальное давление при z-м уравновешивании, Па;
и /Зпов - коэффициенты деформации поршня и цилиндра от давления эталонного и поверяемого манометров соответственно, Па'1.
Поправочным коэффициентом qt пренебрегают, если его значение не превышает 10% предела допускаемой погрешности поверяемого манометра.
По результатам значений А, определяют среднее отношение масс с учетом массы столба рабочей среды под поршнем эталонного манометра по формуле:
А = -- (6)
£(m,+ 1=1
а с учетом массы столба рабочей среды под поршнем поверяемого манометра по формуле:
Хк+»»,„)
1=1
(7)
где п - число поверяемых точек.
-
9.4.4.7 При определении эффективной площади ИПС по способу с предварительным уравновешиванием перед началом измерений проводят предварительное уравновешивание поршней ЭК и поверяемого манометров путем накладывания тарировочных грузов, которые затем не снимают с грузоприемных устройств. Суммарные массы поршней с грузоприемными устройствами и грузов, помещенных при предварительном уравновешивании, при определении эффективной площади не измеряют и не учитывают.
Дальнейший порядок измерений такой же, как и при способе без предварительного уравновешивания.
Отношение масс при каждом отдельном уравновешивании поршней по этому способу определяют по формуле:
А,=- , (8)
а среднее отношение масс А- по формуле:
л
V ni „ • а,
лов п т /
1 = ^4------. (9)
S'”,« м
-
9.4.4.8 Эффективную площадь поверяемого манометра FnOe определяют по формуле:
Fm=F,-A, (10)
где Fnoe - значение эффективной площади ИПС эталонного манометра, см2.
9.5 Определение порога реагирования-
9.5.1 Порог реагирования определяют при последнем уравновешивании, т.е. при давлении, соответствующем верхнему пределу измерений манометров. При окончании уравновешивания поршень поверяемого манометра дополнительно нагружают гирями, масса которых не превышает (0J-dnoe’mmax)/100 %, где Штах - масса грузов поверяемого манометра, соответствующая верхнему пределу измерений, кг.
-
10.1 Обработка результатов измерений.
-
10.1.1 Результат проверки отклонения от перпендикулярности опорной плоскости грузоприемного устройства к оси поршня считают положительным, если полученное значение не превышает значений, указанных в п. 9.1.
-
10.1.2 Результат проверки продолжительности свободного вращения поршня, приведенной к температуре 20 °C, считают положительным, если полученное значение по п. 9.2 составляет не менее 6 минут.
-
10.1.3 Результат проверки скорости опускания поршня считают положительным, если полученное значение по п. 9.3 составляет не более 1,5 мм/мин.
-
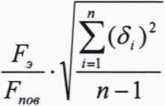
10.1.4 Для оценки точности полученных значений эффективной площади поршня вычисляют среднее квадратическое отклонение Sf результата в последовательности, приведенной ниже.
-
При каждом значении давления определяют разность отношений масс & по формуле:
(И)
Среднее квадратическое отклонение определяют по формуле:
•100%.
(12)
Среднее квадратическое отклонение результата определения эффективной площади поршня не должно превышать 0,002 %.
Предельное отклонение значений эффективной площади поршня поверяемого манометра от номинального значения не должно превышать 1 %.
-
10.1.5 Результат проверки порога реагирования считают положительным, если при перемещении добавочных гирь равновесие поршней нарушится, а значение, полученное по п. 9.5, не превышает 30 Па при давлении 6 МПа.
-
10.2 Критерии соответствия средства измерений метрологическим требованиям.
-
10.2.1 При соблюдении всех требований пп. 10.1.1-10.1.5 пределы допускаемой основной погрешности поверяемого манометра не должны превышать значений, установленных в описании типа, и поверяемый манометр будет соответствовать требованиям, предъявляемым к рабочему эталону класса точности 0,005 согласно поверочной схеме «Государственная поверочная схема для средств измерений избыточного давления до 4000 МПа», утвержденной Приказом Госстандарта № 1339 от 29.06.2018 г. Результаты поверки считаются положительными.
-
10.2.2 При несоответствии поверяемого манометра любому требованию пп. 10.1.1-10.1.5 измерительную поршневую систему манометра разбирают, снова собирают, повторяют операции по пп. 9.1-9.5. Если в этом случае значения контролируемых характеристик превышают предельные значения, то результаты считаются отрицательными.
-
-
11.1 Результаты поверки подтверждаются сведениями о результатах поверки в Федеральном информационном фонде по обеспечению единства измерений.
-
11.2 При положительных результатах поверки, в соответствии с заявлением владельца средства измерений или лица, представившего средство измерений, оформляется свидетельство о поверке, с указанием состава средства измерений, и (или) на средство измерений наносится знак поверки, и (или) в паспорт средства измерений вносится запись о проведенной поверке, заверяемая подписью поверителя с расшифровкой подписи (фамилия, инициалы), наносится знак поверки и указывается дата поверки.
-
11.3 При отрицательных результатах поверки, выдают извещение о непригодности к применению средства измерений.
-
11.4 Результаты измерений заносят в протокол произвольной формы.
