Методика поверки «ГСОЕИ. Манометр грузопоршневой МП-600» (МП 231-0093-2021)
Федеральное государственное унитарное предприятие
«Всероссийский научно-исследовательский институт им. Д.И. Менделеева» ФГУП «ВНИИМ им. Д.И. Менделеева»
СОГЛАСОВАНО

енерального директора
им. Д.И. Менделеева»
.Н. Пронин
«06» августа 2021 г.
Государственная система обеспечения единства измерений
Манометр грузопоршневой МП-600
МЕТОДИКА ПОВЕРКИ
МП 231-0093-2021Руководитель НИО государственных эталонов в области измерений давления
Р.А. Тетерук
Ведущий инженер НИЛ государственных эталонов и научных исследований в области измерений избыточного давления и разности давлений /
{_/ М.Ю. Леонтьев
г. Санкт-Петербург 2021 г.
1 ОБЩИЕ ПОЛОЖЕНИЯ-
1.1 Настоящая методика поверки распространяется на манометр грузопоршневой МП-600 (далее по тексту - манометр) и устанавливает методы и средства первичной и периодической поверок.
-
1.2 Методикой поверки (далее по тексту - МП) не предусмотрена возможность проведения поверки отдельных измерительных каналов.
-
1.3 Методика поверки должна обеспечивать прослеживаемость манометра к Государственному первичному эталону единицы давления - паскаля ГЭТ 23-2010.
-
1.4 Метод, обеспечивающий реализацию методики поверки: непосредственное сличение.
2.1 При проведении поверки должны быть выполнены операции, указанные в таблице 2.1.
Таблица 2.1
|
Наименование операций |
Номер п/п МП |
Проведение операции при | |
|
первичной поверке |
периодической поверке | ||
|
Внешний осмотр средства измерений |
7 |
да |
да |
|
Подготовка к поверке и опробование средства измерений |
8 |
да |
да |
|
Определение отклонения от перпендикулярности опорной плоскости грузоприёмного устройства к оси поршня |
9.1 |
да |
да |
|
Определение продолжительности свободного вращения поршня |
9.2 |
да |
да |
|
Определение скорости опускания поршня |
9.3 |
да |
да |
|
Определение эффективной площади поршня |
9.4 |
да |
да |
|
Определение порога реагирования |
9.5 |
да |
да |
|
Подтверждение соответствия средства измерений метрологическим требованиям |
10 |
да |
да |
|
Оформление результатов поверки |
11 |
да |
да |
-
2.2 Поверка прекращается при получении отрицательного результата по р. 7 или 8 настоящей МП.
-
3.1 При проведении операций поверки должны быть соблюдены следующие условия:
температура окружающего воздуха, °C от +18 до +22
относительная влажность воздуха, %, не более от 40 до 80
атмосферное давление, кПа от 84 до 106,7
в процессе поверки температура окружающего воздуха не должна изменяться более 1 °C в час;
вибрация, тряска, удары, магнитные поля, кроме земного, влияющие на работу и метрологические характеристики приборов, должны отсутствовать.
-
3.2 Перед проведением поверки манометр следует выдержать при температуре окружающего воздуха в помещении для поверки не менее:
4ч- при разнице температур воздуха в помещении для поверки и местом, откуда вносится поверяемое СИ, более 10 °C;
1 ч - при разнице температур воздуха в помещении для поверки и местом, откуда вносится поверяемое СИ, от 1 до 10 °C.
При разнице указанных температур менее 1 °C выдержка не требуется.
4 ТРЕБОВАНИЯ К СПЕЦИАЛИСТАМ, ОСУЩЕСТВЛЯЮЩИМ ПОВЕРКУ-
4.1 Поверка проводится квалифицированным персоналом лабораторий, аттестованных в установленном порядке.
-
4.2 К поверке допускаются лица, прошедшие инструктаж по безопасности труда и ознакомленные с эксплуатационной документацией на средства поверки и поверяемые средства измерений.
-
5.1 При проведении поверки рекомендуются к применению средства поверки (эталоны единиц величин, средства измерений, вспомогательные технические средства), указанные в таблице 5.1.
Таблица 5.1 - Перечень средств поверки, рекомендуемых к применению при проведении поверки
|
Номер пункта МП |
Наименование и тип средств поверки, метрологические и технические требования | |
|
3.1 |
Термогигрометр ИВА-6 (регистрационный номер в информационном фонде 46434-11). |
Федеральном |
|
7 |
Визуально | |
|
8 |
Система для создания давления | |
|
9.1 |
Оптический квадрант КО-60 по ТУ 3-3.179-81, или накладной уровень с ампулой типа АЦП с ценой деления 30” по ГОСТ 2386-73, или индикатор часового типа ИЧ по ГОСТ 577-68. | |
Продолжение таблицы 5.1
|
Номер пункта МП |
Наименование и тип средств поверки, метрологические и технические требования |
|
9.2 |
Секундомер по ТУ 25-1894.003-90 или индикатор типа ИЧ по ГОСТ 577-68. Система для создания давления. |
|
9.3 |
Секундомер по ТУ 25-1894.003-90, измерительный микроскоп типа МБП-2 с увеличением 24 и ценой деления 0,05 мм или индикатор типа ИЧ по ГОСТ 577-68. Система для создания давления. |
|
9.4 |
Государственный вторичный эталон-копия единицы давления для области избыточного давления в диапазоне от 0,02 до 100 МПа (ГВЭТ 23-1-2014), в диапазоне измерений от 0,02 до 3 МПа, среднее квадратическое отклонение результата измерений So=4 1O'6 (в соответствии поверочной схемой «Государственная поверочная схема для средств измерений избыточного давления до 4000 МПа», утверждённой Приказом Госстандарта № 1339 от 29.06.2018). Система для создания давления. Наборы миллиграммовых и граммовых гирь класса Ег, Fi и F2 по ГОСТ OIMLR 111-1-2009. |
|
9.5 |
Средства поверки для п.9.4. |
|
Примечание: Средства измерений, применяемые при поверке, должны иметь сведения о результатах поверки в Федеральном информационном фонде. Эталоны должны быть аттестованы в установленном порядке, должны иметь сведения о результатах аттестации в Федеральном информационном фонде. | |
-
5.2 Допускается применение средств поверки, не приведенных в рекомендуемом перечне, но обеспечивающих определение (контроль) метрологических характеристик поверяемого средства измерений с требуемой точностью, передачу единицы величины средству измерений при его поверке и прослеживаемость эталонов и средств измерений, применяемых при поверке, к государственным первичным эталонам единиц величин.
-
6.1 При поверке должны быть соблюдены требования безопасности труда, производственной санитарии и охраны окружающей среды, изложенные в эксплуатационных документах средств поверки и поверяемого средства измерений.
-
7.1 При внешнем осмотре должно быть установлено соответствие поверяемого манометра следующим требованиям:
маркировка, обозначения на манометре должны соответствовать требованиям технической документации;
механические повреждения, влияющие на правильность функционирования и метрологические характеристики должны отсутствовать;
внешний вид должен соответствовать конструктивным требованиям, указанным в эксплуатационной документации;
5 комплектность должна соответствовать комплектности, указанной в технической документации.
Примечание: при наличии сертификатов калибровки на грузы с датой выдачи не более 24 месяцев до даты предоставления манометра в поверку, грузы допускается не предоставлять.
-
7.2 Манометр, не удовлетворяющий требованиям п. 7.1 настоящей методики, не подлежит дальнейшей поверке.
-
8.1 Перед опробованием манометра должны быть выполнены следующие подготовительные работы.
-
8.1.1 Устройство для создания давления должно быть установлено на горизонтальное основание, исключающее тряску, вибрацию и появление наклонов опорной поверхности.
-
8.1.2 Устройство для создания давления должно обеспечивать в пределах всего рабочего хода поршня возможность плавного повышения и понижения давления.
-
8.1.3 Должна быть осуществлена проверка наличия сертификата калибровки на грузы и поршень с грузоприёмным устройством с датой выдачи не более 24 месяцев до даты предоставления манометра в поверку.
-
8.1.3.1 Результатом калибровки должны быть условные значения массы грузов, поршня с грузоприемным устройством и дополнительных грузов, а так же расширенная неопределенность измерений массы.
-
8.1.3.2 Условные значения массы грузов и поршня с грузоприемным устройством должны быть подогнаны в зависимости от значения под номинальное значение массы или под номинальное значение давления с учетом ускорения свободного падения.
-
8.1.3.3 Условные значения массы грузов, поршня с грузоприемным устройством и дополнительных грузов проверяют взвешиванием на компараторе массы (весах) с применением наборов миллиграммовых и граммовых гирь класса Ei по ГОСТ OIMLR 111-1-2009.
-
-
8.1.4 Манометр перед поверкой, после промывания поршневой пары, должен находиться в лаборатории не менее 10 часов.
-
-
8.2 При опробовании устанавливают соответствие эксплуатационных свойств манометра требованиям, приведенным ниже.
-
8.2.1 Соединение поршня с грузоприемным устройством должно исключать взаимное относительное перемещение.
-
8.2.2 Поршень должен свободно, без затираний вращаться в цилиндре и перемещаться вдоль оси цилиндра.
-
8.2.3 Грузы должны легко, без заедания, размещаться один на другой на грузоприемное устройство и сниматься без относительного взаимного радиального перемещения.
-
8.2.4 Герметичность манометра проверяют при давлении, равном верхнему пределу измерений. При указанном давлении измерительную поршневую систему (далее - ИПС) выдерживают пять минут. В течение последующих двух минут не должно наблюдаться падение давления, при этом изменение температуры воздуха в помещении не должно превышать ±0,1 °C.
-
-
9 ОПРЕДЕЛЕНИЕ МЕТРОЛОГИЧЕСКИХ ХАРАКТЕРИСТИК СРЕДСТВА ИЗМЕРЕНИЙ
-
9.1.1 Отклонение от перпендикулярности опорной плоскости грузоприемного устройства к оси поршня определяют при вертикальном положении ИПС одним из двух способов.
-
9.1.2 Первый способ. На опорную плоскость устанавливают уровень или квадрант в двух взаимно перпендикулярных положениях, не приводя ИПС во вращение.
Разность показаний уровня или квадранта не должна превышать (5')-
-
9.1.3 Второй способ. Манометр отключают вентилем от устройства для создания давлений. Устанавливают на штативе индикатор в вертикальное положение. Наконечник индикатора приводят в соприкосновение с опорной плоскостью грузоприемного устройства и рукой приводят во вращение поршень с грузоприемным устройством, наблюдая при этом за перемещением стрелки индикатора.
Опорная плоскость грузоприемного устройства, поверяемого манометра, должна быть перпендикулярной к оси поршня с допускаемым отклонением не более 1,45 мм/м (~5')>
9.2 Определение продолжительности свободного вращения поршня-
9.2.1 Продолжительность свободного вращения поршня определяют при помощи секундомера при установке поверяемого манометра в среднее рабочее положение с допускаемым отклонением ±1 мм.
-
9.2.2 Поршень манометра нагружают грузами, создавая давление, равное 20% верхнего предела измерений, и приводят вращение по ходу часовой стрелки.
-
9.2.3 За продолжительность свободного вращения поршня принимают интервал времени от момента, соответствующего начальной частоте его вращения, равной (120±10) об/мин, до полной остановки поршня. Начальную частоту вращения поршня определяют при помощи тахометра или подсчетом числа оборотов за 10 с. Для удобства подсчета между грузами следует положить полоску бумаги.
-
9.2.4 Если температура манометра в момент измерений отличается от 20 °C, то значение продолжительности вращения необходимо привести к температуре 20 °C, пересчитав по формуле:

где Т2о - приведенное значение продолжительности вращения, с,
т - подсчитанное значение продолжительности вращения, с,
7 - значение динамической вязкости рабочей жидкости при измерении, Па-с,
г]20 - значение динамической вязкости рабочей жидкости при измерении при температуре 20 °C, Па-с.
9.3 Определение скорости опускания поршня-
9.3.1 Скорость опускания поршня определяют при нагрузке, соответствующей верхнему пределу измерений поверяемого манометра. При этом запорный вентиль должен быть перекрыт, поверяемый манометр выдержан под нагрузкой не менее 15 минут.
-
9.3.2 Для определения скорости опускания поршня измеряют расстояние, на которое он переместился за некоторый промежуток времени. Расстояние измеряют отсчетным устройством, интервал времени опускания поршня отсчитывают по секундомеру.
-
9.3.3 Если температура манометра в момент измерений отличается от 20 °C, то значение скорости опускания необходимо привести к температуре 20 °C, пересчитав по формуле:

где V20 - приведенное значение скорости опускания, мм/мин,
v - измеренное значение скорости опускания, мм/мин.
9.4 Определение эффективной площади поршня-
9.4.1 Эффективную площадь манометра определяют методом непосредственного сличения поверяемого манометра с эталонным манометром. При этом проводят гидростатическое уравновешивание поршней одним из способов:
прямое уравновешивание (без предварительного уравновешивания) масс поршней с грузоприемным устройством и помещенных на них грузов,
уравновешивание масс грузов, помещенных на поршни поверяемого и эталонного манометров, при условии предварительного уравновешивания поршней.
-
9.4.2 При прямом уравновешивании поршни поверяемого и эталонного манометров необходимо установить так, чтобы в момент их равновесия нижние торцы поршней располагались в одной горизонтальной плоскости. В противном случае необходимо определить расстояние по вертикали между нижними торцами поршней и внести поправку на значение массы столба жидкости. Взаимное положение поршней должно быть определено с погрешностью не более 1 мм.
-
9.4.3 При условии применения метода с предварительным уравновешиванием нет необходимости располагать торцы поршней в одной горизонтальной плоскости.
-
9.4.4 При определении эффективной площади поршня должны быть выполнены следующие требования, приведенные ниже.
-
9.4.4.1 Поршни эталонного и поверяемого манометра должны быть установлены в рабочее положение.
-
9.4.4.2 Взаимное положение поршней следует контролировать во время их равновесия отсчетными устройствами для наблюдения за положением равновесия.
-
9.4.4.3 Измерения следует проводить при постепенном увеличении значений давления до верхнего предела диапазона измерений манометра, а затем при их постепенном уменьшении. Количество точек давления для прямого и обратного хода должно быть не менее 5.
-
9.4.4.4 Погрешность определения действительных значений масс поршня с грузоприёмным устройством и грузов поверяемого манометра при определении эффективной площади поршня не должны превышать 0,05 dnOe (где 0,05 dnoe - предел допускаемой погрешности поверяемого манометра, %), а для грузов массой менее 50 г погрешность не должна превышать 0,1 dnoe или 1 мг в зависимости от того, что больше.
-
Примечание: при отклонении действительных значений масс грузов от номинальных значений, не превышающем значения допускаемой погрешности определения массы, т.е. 0,2 dnoe. в протокол поверки записывают их номинальную массу. В противном случае учитывают действительное значение массы грузов.
-
9.4.4.5 Для уравновешивания поршней на грузоприёмные устройства поверяемого манометра и рабочего эталона помещают грузы соответствующей массы, необходимой для создания требуемого значения давления, затем приводят их во вращение с частотой не менее 30 оборотов в минуту. Равновесие считают достигнутым, если не наблюдается взаимное изменение положения поршней.
-
9.4.4.6 При определении эффективной площади ИПС без предварительного уравновешивания отношение масс А, при каждом отдельном уравновешивании поршней с учетом массы столба рабочей среды под поршнем ЭК определяют по формуле:
m,-Pc-F,^h+m,n
а с учетом массы столба рабочей среды под поршнем поверяемого манометра по формуле:
(zzi + • F„naun„ • h + т„по„) • а,

\ нов ГС повном поен/ 41
(4)
т+гп
э зп
где тэ и тпов - действительная масса поршня с грузоприемным устройством эталонного и поверяемого манометров соответственно, кг;
rriri и тпов ri - действительная масса грузов и гирь при z-м уравновешивании, нагружаемых на эталонный и поверяемый манометры соответственно, кг;
F3 ном и Fnoe ном - номинальные значения приведенных площадей ИПС эталонного и поверяемого манометров соответственно, м2;
h - расстояние между нижними торцами поршней эталонного манометра и поверяемого манометра, м; h > 0, если нижний торец поршня эталонного манометра ниже торца поршня поверяемого манометра;
рс - плотность рабочей среды, кг/м3;
q, - поправочный коэффициент, учитывающий влияние температуры и деформации на показания манометров, определяемый по формуле:
qi=l + (aij+ С12э)(1э1~20ОС)-(о.1пов+ О-2пов)( tnoe 1~20°С) + ([$э~ flnoe)pi, (5)
где а/э и а.2э - температурные коэффициенты линейного расширения материалов цилиндра и поршня эталонного манометра, °C’1;
а/лое и а2пов - температурные коэффициенты линейного расширения материалов цилиндра и поршня поверяемого манометра, °C'1;
tnoe i и t3j- температура поверяемого и эталонного манометров соответственно при z-м уравновешивании, °C;
pi - номинальное давление при z-м уравновешивании, Па;
/Зэ и /Зпов - коэффициенты деформации поршня и цилиндра от давления эталонного и поверяемого манометров соответственно, Па'1.
Поправочным коэффициентом qt пренебрегают, если его значение не превышает 10% предела допускаемой погрешности поверяемого манометра.
По результатам значений А, определяют среднее отношение масс с учетом массы столба рабочей среды под поршнем эталонного манометра по формуле:
А = . (6)
/-1
а с учетом массы столба рабочей среды под поршнем поверяемого манометра по формуле:

где п - число поверяемых точек.
-
9.4.4.7 При определении эффективной площади ИПС по способу с предварительным уравновешиванием перед началом измерений проводят предварительное уравновешивание поршней ЭК и поверяемого манометров путем накладывания тарировочных грузов, которые затем не снимают с грузоприемных устройств. Суммарные массы поршней с грузоприемными устройствами и грузов, помещенных при предварительном уравновешивании, при определении эффективной площади не измеряют и не учитывают.
Дальнейший порядок измерений такой же, как и при способе без предварительного уравновешивания.
Отношение масс А\ при каждом отдельном уравновешивании поршней по этому способу определяют по формуле:

(8)
а среднее отношение масс А - по формуле:
л
пов п ~ 1
(9)
-
9.4.4.8 Эффективную площадь поверяемого манометра Fnoe определяют по формуле:
пов

(10)
где Fnoe - значение эффективной площади ИПС эталонного манометра, см2.
9.5 Определение порога реагирования-
9.5.1 Порог реагирования определяют при последнем уравновешивании, т.е. при давлении, соответствующем верхнему пределу измерений манометров. При окончании уравновешивания поршень поверяемого манометра дополнительно нагружают гирями, масса которых не превышает (0,1-Зпов-ттах)/Ю0 %, где ттах - масса грузов поверяемого манометра, соответствующая верхнему пределу измерений, кг.
-
10.1 Обработка результатов измерений.
-
10.1.1 Результат проверки отклонения от перпендикулярности опорной плоскости грузоприемного устройства к оси поршня считают положительным, если полученное значение не превышает значений, указанных в п. 9.1.
-
10.1.2 Результат проверки продолжительности свободного вращения поршня, приведенной к температуре 20 °C, считают положительным, если полученное значение по п. 9.2 составляет не менее 6 минут.
-
10.1.3 Результат проверки скорости опускания поршня считают положительным, если полученное значение по п. 9.3 составляет не более 1,5 мм/мин.
-
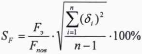
10.1.4 Для оценки точности полученных значений эффективной площади поршня вычисляют среднее квадратическое отклонение Sr результата в последовательности, приведенной ниже.
-
10 При каждом значении давления определяют разность отношений масс д, по формуле:
4=Д-л. (И)Среднее квадратическое отклонение определяют по формуле:
п

•100%. (12)
Среднее квадратическое отклонение результата определения эффективной площади поршня не должно превышать 0,002 %.
Предельное отклонение значений эффективной площади поршня поверяемого манометра от номинального значения не должно превышать 1 %.
-
10.1.5 Результат проверки порога реагирования считают положительным, если при перемещении добавочных гирь равновесие поршней нарушится, а значение, полученное по п. 9.5, не превышает 300 Па при давлении 60 МПа.
-
10.2 Критерии соответствия средства измерений метрологическим требованиям.
-
10.2.1 При соблюдении всех требований пп. 10.1.1-10.1.5 пределы допускаемой основной погрешности поверяемого манометра не должны превышать значений, установленных в описании типа, и поверяемый манометр будет соответствовать требованиям, предъявляемым к рабочему эталону класса точности 0,005 согласно поверочной схеме «Государственная поверочная схема для средств измерений избыточного давления до 4000 МПа», утвержденной Приказом Госстандарта № 1339 от 29.06.2018 г. Результаты поверки считаются положительными.
-
10.2.2 При несоответствии поверяемого манометра любому требованию пп. 10.1.1-10.1.5 измерительную поршневую систему манометра разбирают, снова собирают, повторяют операции по пп. 9.1-9.5. Если в этом случае значения контролируемых характеристик превышают предельные значения, то результаты считаются отрицательными.
-
-
11.1 Результаты поверки подтверждаются сведениями о результатах поверки в Федеральном информационном фонде по обеспечению единства измерений.
-
11.2 При положительных результатах поверки, в соответствии с заявлением владельца средства измерений или лица, представившего средство измерений, оформляется свидетельство о поверке, с указанием состава средства измерений, и (или) на средство измерений наносится знак поверки, и (или) в паспорт средства измерений вносится запись о проведенной поверке, заверяемая подписью поверителя с расшифровкой подписи (фамилия, инициалы), наносится знак поверки и указывается дата поверки.
-
11.3 При отрицательных результатах поверки, выдают извещение о непригодности к применению средства измерений.
-
11.4 Результаты измерений заносят в протокол произвольной формы.
