Методика поверки «ГСИ. РАСХОДОМЕРЫ МАССОВЫЕ PROMASS 100, PROMASS 200» (МП 57484-14)
ФЕДЕРАЛЬНОЕ ГОСУДАРСТВЕННОЕ УНИТАРНОЕ ПРЕДПРИЯТИЕ «ВСЕРОССИЙСКИЙ НАУЧНО-ИССЛЕДОВАТЕЛЬСКИЙ ИНСТИТУТ МЕТРОЛОГИЧЕСКОЙ СЛУЖБЫ»
(ФГУП «ВНИИМС»)
СОГЛАСОВАНО

директора метрологии «ВНИИМС»
В. Иванникова
Q3 2021 г
Государственная система обеспечения единства измеренийРАСХОДОМЕРЫ МАССОВЫЕ PROMASS 100, PROMASS 200 Методика поверки.
МП 57484-14
с изменением №2
Москва
2021
1. ВВЕДЕНИЕ-
1.1 Настоящий документ распространяется на расходомеры массового расхода Promass 100, Promass 200 (далее расходомеры) фирмы Endress+Hauser Flowtec AG (Швейцария), при использовании их в сферах распространения государственного метрологического контроля и надзора, и устанавливает методы и средства их первичной и периодической поверок при выпуске из производства и после ремонта.
-
1.2 Интервал между поверками - не более 5 лет.
п. 1.2 (Измененная редакция, Изм. №2)
-
1.3 Методика описывает 2 метода поверки: проливной и имитационный.
-
1.4 Для первичной поверки может использоваться только проливной метод поверки.
-
1.5 Использование имитационного метода допускается только для периодической поверки расходомеров Promass 100.
-
1.6 Имитационный метод может использоваться только для поверки расходомера по массовому расходу (массе), объемному расходу (объему) и плотности.
-
1.7 Для периодической поверки допускается использование проливного или имитационного метода поверки. Метод поверки выбирается пользователем расходомера, исходя из экономических факторов и особенностей технологического процесса в точке установки расходомера.
-
2.1.1 При проведении поверки выполняют следующие операции:
-
2.1.1.1 Внешний осмотр, п.2.6.1.
-
2.1.1.2 Проверка идентификационных данных ПО, п.2.6.2.
-
2.1.1.3 Проверка герметичности, п.2.6.3.
-
2.1.1.4 Опробование, п.2.6.4.
-
2.1.1.5 Определение метрологических характеристик, п.2.6.5.
2.2.1 При проведении поверки применяют следующие эталоны и испытательное оборудование:
Номер пункта методики поверки |
Наименование и тип (условное обозначение) основного или вспомогательного средства поверки; обозначение нормативного документа, регламентирующего технические, и (или) метрологические и основные технические характеристики средства поверки |
Пример возможного средства поверки с указанием наименования, заводского обозначения, а при наличии - обозначения типа, модификации |
10.1, |
Вторичный эталон единицы массы и объема жидкости в соответствии с приказом Госстандарта от 07.02.2018 № 256 часть 1, с диапазоном расхода, соответствующим поверяемому расходомеру; |
Установка поверочная Эрмитаж (регистрационный номер 71416-18 в Федеральном информационном фонде по обеспечению единства измерений) |
10.1, |
Рабочий эталон 1 разряда единицы массы и объема жидкости в соответствии с приказом Госстандарта от 07.02.2018 № 256 часть 1, с диапазоном расхода, соответствующим поверяемому расходомеру; |
Установки поверочные расходомерные Тайфун, мод. Тайфун-15, Тайфун-30, Тайфун-50, Тайфун-100, Тайфун-240, Тайфун-400 И Тайфун-1000 (регистрационный номер 60684-15 в Федеральном информационном фонде по обеспечению единства измерений) |
10.1.4 |
Средство измерений температуры, пределы допускаемой абсолютной погрешности: ±0,031 °C в диапазоне температур от минус 50 до плюс 400 °C; |
Термометр цифровой прецизионный DTI-1000, (регистрационный № 15595-12 в Федеральном информационном фонде по обеспечению единства измерений) |
8.1.3, 10.1, |
Средство измерения синусоидальных сигналов амплитудой до 50 В и частотой 0...10 кГц; |
Частотомер электронно-счетный ЧЗ-49А (регистрационный № 6510-78 в Федеральном информационном фонде по обеспечению единства измерений). |
8.1.2, 10.1 |
Средство измерений силы постоянного тока, диапазон измерений от 0 до 20 мА, пределы допускаемой относительной погрешности: ±(0,01% показания ± 2 мкА); |
Ампервольтметр Г386, (регистрационный № 3295-72 в Федеральном информационном фонде по обеспечению единства измерений) |
10.1.2, |
Средство измерений плотности жидкостей в диапазоне от 600 до 2000 кг/м3 и погрешностями измерений 0,1; 0,5; 1 кг/м3; |
Ареометр, (регистрационный № 66949-17 в Федеральном информационном фонде по обеспечению единства измерений) |
10.1.3, |
Стандартные образцы вязкости |
Стандартные образцы вязкости жидкостей с диапазоном измерений вязкости от 0,4 до 1100 мПа-с по ГОСТ 8.025-96 и относительной погрешностью ±1,5 %; |
и. 2.2.1 (Измененная редакция, Изм. №2)
-
2.2.3 Используемые эталоны должны быть поверены и иметь действующие свидетельства о поверке.
-
2.2.4 Допускается использовать другие эталоны с характеристиками не хуже указанных в п.2.2.1.
-
2.3.1 При проведении поверки соблюдают требования безопасности определяемые: правилами безопасности труда и пожарной безопасности действующими на поверочной установке;
правилами безопасности при эксплуатации используемых эталонов, испытательного оборудования и поверяемого расходомера приведенными в эксплуатационной документации.
-
2.3.2 Монтаж электрических соединений должен производиться в соответствии с ГОСТ 12.3.032-84 и "Правилами устройства электроустановок" (раздел VII).
-
2.3.3 К поверке допускают лиц, имеющих квалификационную группу по технике безопасности не ниже II в соответствии с "Правилами техники безопасности при эксплуатации электроустановок потребителей", изучивших руководство по эксплуатации на расходомер и настоящий документ.
-
2.4.1 При проведении поверки соблюдают следующие условия: поверочные среды - вода водопроводная, нефть и светлые нефтепродукты; температура окружающего воздуха 20 ± 5 °C;
температура измеряемой среды от 15 до 25 °C, при этом изменение температуры во время измерения не должно превышать 0,5 °C;
относительная влажность воздуха от 30 до 80 %; атмосферное давление от 86 до 107 кПа.
2.5 Подготовка к поверке-
2.5.1 Поверяемый расходомер монтируют на поверочной установке и подготавливают к работе согласно руководству по эксплуатации поверяемого расходомера или поверяют на месте эксплуатации без демонтажа с помощью эталонного поверочного оборудования, отвечающего по точности требованиям п. 2.2.
-
2.5.2 Проводят проверку токового выхода. Для этого задают в ячейке "проверка токового выхода" ("simulation current") не менее трёх из имеющихся токовых значений в произвольном порядке.
Абсолютную погрешность Ai по токовому сигналу рассчитывают по формуле

(1)
где
1Р - значение тока на выходе расходомера в мА;
Is - проверочное значение тока в мА,
Расходомер считают выдержавшим проверку по токовому выходу, если значение погрешности не превышает значения допустимой абсолютной погрешности токового сигнала
(2)
Az < A’z
где значение допустимой абсолютной погрешности токового сигнала A’i расходомера указанно в руководстве по эксплуатации соответственно его исполнению.
-
2.5.3 Проводят проверку частотного выхода. Для этого задают в ячейке "проверка частотного сигнала" ("simulation frequency") не менее трёх из имеющихся значений частоты в произвольном порядке.
Расходомер считают выдержавшим проверку по частотному выходу, если значение частоты на выходе расходомера совпадает с заданным.
Примечание:
при выполнении операций поверки, единицы измерений физических величин у поверочной установки, эталонов и у поверяемого расходомера должны быть одинаковы.
2.6 Проведение поверки-
2.6.1 Внешний осмотр.
-
2.6.1.1 При внешнем осмотре устанавливают:
-
- на расходомере отсутствуют механические повреждения, препятствующие его применению;
-
- надписи и обозначения на расходомере четкие и соответствуют требованиям эксплуатационной документации.
комплектность расходомера, соответствует указанной в документации; соответствие исполнения расходомера его маркировке.
Расходомер не прошедший внешний осмотр, к поверке не допускают.
-
2.6.2 Проверка идентификационных данных ПО.
-
2.6.2.1 При запуске расходомера номера версий программного обеспечения должны:
-
- выводиться на экран преобразователя (для исполнений Promass 200) путем следующих команд в меню прибора Diagnostics Device info -> Firmware version (Диагностика
Информация о приборе -> Версия программного обеспечения);
-
- отображаться в программном обеспечении FieldCare или DeviceCare (для исполнений Promass 100/200) или через встроенный веб-сервер (для исполнений Promass 100) в следующем разделе Diagnostics Device information -> Firmware version (Диагностика Информация о приборе -> Версия программного обеспечения).
Номера версий ПО также должны отображаться на дисплее преобразователя при его включении как неактивные, не подлежащие изменению, в случае наличия дисплея у данного исполнения Promass.
Результаты проверки считаются положительными, если отображаются следующие номера версии программного обеспечения:
Идентификационное наименование программного обеспечения |
Номера версии (идентификационный номер) программного обеспечения |
Promass 100 |
не ниже 01.yy.zz |
Promass 200 |
п. 2.6.2.1 (Измененная редакция, Изм. №2)
-
2.6.3 Проверка герметичности.
-
2.6.3.1 Проверку герметичности проводят путем создания в полости первичного преобразователя расхода расходомера давления 1,5±1 МПа. Время выдержки под давлением не менее 15 мин.
-
2.6.3.2 Расходомер считают выдержавшим проверку, если в течение 15 минут не наблюдалось просачивания жидкости/ воздуха, запотевания сварных швов и снижения давления.
-
2.6.4 Опробование.
-
2.6.4.1 Опробуют расходомер на поверочной установке путем увеличения/уменьше-ния расхода жидкости в пределах рабочего диапазона измерений.
-
2.6.4.2 Результаты опробования считают удовлетворительными, если при увеличе-нии/уменьшении расхода жидкости соответствующим образом изменялись показания на дисплее расходомера, на мониторе компьютера, контроллера, выходной измерительный сигнал/сигналы.
-
2.6.5 Определение метрологических характеристик.
Допускается определение только используемых в технологическом процессе метрологических характеристик.
Если отношение относительной погрешности поверочной установки и поверяемого расходомера при измерении массы и объема жидкости > 1:3 то погрешность расходомера при измерении массы определяют по п. 2.6.5.1, погрешность расходомера при измерении объема определяют по п. 2.6.5.2 настоящей методики.
Если отношение относительной погрешности поверочной установки и поверяемого расходомера при измерении массы и объема жидкости < 1:3 то погрешность расходомера при измерении массы определяют по п. 2.6.5.1.1., погрешность расходомера при измерении объема определяют по п. 2.6.5.2.1. настоящей методики.
п. 2.6.5 (Измененная редакция, Изм. №2)
-
2.6.5.1 Погрешность расходомера при измерении массы определяют сравнением значений массы, измеренной расходомером с показаниями поверочной проливной установки в двух точках, соответствующих 0,05Qmax, и 0,2...0,9 Qmax, где Qmax - максимальный предел измерений расходомера (для Ду>80 мм допускается 0,05Qmax, 0,1 ...0,3Qmax). Число измерений в каждой точке не менее двух, при допустимом отклонении установленного массового расхода Qm от контрольных точек ±3 %. На заданном массовом расходе Qm проводят измерение массы жидкости Му.
Относительную погрешность расходомера в процентах для каждого поверочного расхода определяют по формуле

• 100%
(3)
где
Му - масса жидкости, измеренная установкой при установленном массовом расходе Qm;
Мр - масса жидкости, измеренная расходомером, т.е. показания расходомера на дисплее, мониторе компьютера/контроллера в единицах измерений массы,
Расходомер считают выдержавшим поверку, если значение его погрешности при измерении массы в каждой точке при каждом измерении не превышает значения допускаемой погрешности 6 m
<5'm = ±(0,05...0,25)% (4)
где
±(0,05...0,25) % - значение погрешности при измерении массы, указанное в руководстве по эксплуатации и соответствующее расходомеру Promass E/I/F/A/S/P.
Т.е. выполняется условие - I 6m I < I 5 т I .
Примечание:
-
- при положительном результате поверки по измерению массы, расходомер признают годным для измерений массового расхода и массового дозирования;
-
- при использовании импульсного выхода пересчитывают измеренную расходомером массу по формуле
(5)
Л/, = У, х 9
где
Ni - количество импульсов наработанных расходомером за время измерений массы; q - цена импульса расходомера при измерении массы.
-
2.6.5.1.1 Погрешность расходомера при измерении массы определяют сравнением значений массы, измеренных расходомером с показаниями поверочной установки не менее, чем в трех точках j>3, соответствующих 0,05Qmax, 0,06...0,1 Qmax, 0,15...0,5 Qmax, где Qmax -максимальный предел измерений расходомера (для Ду>100 мм допускается 0,03Qmax...0,05Qmax, 0,06Qmax.. .0,9Qmax, 0,1 Qmax.. .0,2Qmax; для Ду<8 допускается
0,05.. .0,3Qmax, 0,5...0,6Qmax, 0,7.. .0,9Qmax). Допускается определение метрологических характеристик в трех точках рабочего диапазона: при минимальном (Qminp), среднем (0,5*(Qminp+ Qmaxp)) и максимальном (Qmaxp) значениях расхода. Число измерений в каждой точке не менее пяти i>5, при допустимом отклонении установленного массового расхода Qm от контрольных точек ±3 %. На заданном массовом расходе проводят измерение массы жидкости;
среднее квадратичное отклонение (далее - СКО) результатов определений коэффициентов коррекции для точек расхода в рабочем диапазоне SMFduan. рассчитанное по формуле (6), не превышает 0,02 %
'диап

• 100 < 0,02%
(6)
где
Xrij - суммарное количество измерений в рабочем диапазоне; т - количество точек разбиения рабочего диапазона;
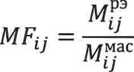
MF - коэффициент коррекции измерений массы при i-м измерении в j-й точке расхода;
MF. - среднее арифметическое значение коэффициента коррекции в j-й точке рас
хода

(7)
где
- значение массы рабочей жидкости для i-ro измерения в j-й точке, полученное в результате измерений рабочего эталона;
М "ас- значение массы рабочей жидкости для i-ro измерения в j-й точке, полученное в результате измерений поверяемым расходомером
____(8) MF, =-=1----
«7 Относительную погрешность расходомера в процентах для каждого поверочного расхода определяют по формуле
М"ас -
Sii = ~ мр 100% <9>
Примечание:
- при использовании импульсного выхода пересчитывают измеренную расходомером массу по формуле

(Ю)
где
Nij - количество импульсов наработанных расходомером за время измерений массы; q - цена импульса расходомера при измерении массы.
Расходомер считают выдержавшим поверку, если значение его погрешности при измерении массы в каждой точке при каждом измерении не превышает значения допускаемой погрешности 8 у
в'ц = ±(0,05...0,15)% (И)
где
±(0,05...0,15) % - значение погрешности при измерении массы, указанное в руководстве по эксплуатации и соответствующее расходомеру
Т.е. выполняется условие - | 8у | < | 8 у |
п. 2.6.5.1.1 (введен дополнительно Изм. №2)
-
2.6.5.2 Погрешность расходомера при измерении объема определяют сравнением измеренного объема жидкости, прошедшей через расходомер с показаниями поверочной проливной установки в двух точках, соответствующих 0,05Qmax, и 0,2.. .0,9 Qmax, где Q max — максимальный предел измерений расходомера (для Ду>80 мм допускается 0,05Qmax, 0,1.. .0,3Qmax). Число измерений в каждой точке не менее двух, при допустимом отклонении установленного объёмного расхода Qv от контрольных точек ±3 %.
Относительную погрешность расходомера в процентах для каждого поверочного расхода определяют по формуле
V - у
Sv = ■ 100%
(12)
где
Vy - объём жидкости, измеренный поверочной установкой,
Vp - объём жидкости, измеренный расходомером, т.е. показания расходомера на дисплее, мониторе компьютера/контроллера.
Расходомер считают выдержавшим поверку, если значение его погрешности при измерении объема в каждой точке при каждом измерении не превышает значения допускаемой погрешности 8'v
<?',. = ±(0,1..Д25)% (13)
где
±(0,1 ...0,25) % - значение погрешности при измерении объемного расхода, указанное в руководстве по эксплуатации и соответствующее расходомеру Promass E/I/F/A/S/P.
Т.е. выполняется условие - | 5VI < 15 v I.
Примечание:
при положительном результате поверки по измерению объема, расходомер признают годным для измерений объемного расхода и объемного дозирования.
2.6.5.2.1. При поверке расходомера по объему выполняют действия, аналогичные п.
-
2.6.5.1.1
При этом при расчете относительной погрешности вместо величин и М"ас используют К/” и V;.,ac,
где - значение объема рабочей жидкости для i-ro измерения в j-й точке, полученное в результате измерений рабочего эталона;
У;.,ас - значение объема рабочей жидкости для i-ro измерения в j-й точке, полученное в результате измерений поверяемым расходомером;
- при положительном результате поверки по измерению объема, расходомер признают годным для измерений объемного расхода и объемного дозирования.
Расходомер считают выдержавшим поверку, если значение его погрешности при измерении объема в каждой точке при каждом измерении не превышает значения допускаемой погрешности 5у
8'и = ±(0,05...0,15)% (14)
где
±(0,05...0,15) % - значение погрешности при измерении массы, указанное в руководстве по эксплуатации и соответствующее расходомеру
Т.е. выполняется условие - | бу | < | б'у |.
п. 2.6.5.2.1 (введен дополнительно Изм. №2)
-
2.6.5.3 Абсолютную погрешность расходомера при измерении плотности определяют сравнением по показаниям дисплея, монитора компьютера, контроллера с показаниями ареометра в рабочем диапазоне измерений плотности. Для этого берут пробу поверочной среды на выходном участке трубопровода в сосуд, ареометром определяют её плотность. Число измерений не менее двух.
Абсолютную погрешность измерений плотности Ап в каждой точке при каждом измерении рассчитывают по формуле
Д/7 — Рр — рр (15)
где
рр - значение плотности измеренное расходомером;
Ро
р > ------у--- - значение плотности, измеренное ареометром при температуре
1 + сг(Г-/0)
процесса t;
ро - плотность жидкости при to = 20 °C,
а - коэффициент объемного расширения жидкости, 1/°С.
Расходомер считают выдержавшим поверку, если значение абсолютной погрешности измерений плотности Ап в каждой точке при каждом измерении не превышает значения допустимой абсолютной погрешности измерений плотности, указанного в руководстве по эксплуатации и соответствующего его исполнению (±0,5...±20) кг/м3.
Примечание:
операция поверки расходомера по плотности может быть проведена как на поверочной установке, так и без демонтажа на месте эксплуатации.
-
2.6.5.4 Погрешность расходомера при измерении вязкости определяют сравнением по показаниям дисплея, монитора компьютера, контроллера со значениями вязкости стандартных образцов вязкости жидкостей в рабочем диапазоне измерений вязкости. Для этого берут стандартный образец вязкости жидкости и заполняют данной средой полость расходомера, после чего проводят измерения вязкости стандартного образца при помощи расходомера. Число измерений не менее двух.
Относительную погрешность измерений вязкости в каждой точке при каждом измерении рассчитывают по формуле
Д = X 100%, (16)
где
г/р- значение вязкости, измеренное расходомером;
г]д- значение вязкости стандартного образца вязкости жидкости при температуре процесса t0 = 20 °C.
Расходомер считают выдержавшим поверку, если значение относительной погрешности измерений вязкости Л,, в каждой точке при каждом измерении не превышает значения допускаемой относительной погрешности расходомера при измерении вязкости т| ньютоновской жидкости, рассчитанной по формуле:
±(5 + ^)% (17)
где
т|р- значение вязкости, измеренное расходомером.
Примечание:
операция поверки расходомера по вязкости может быть проведена как на поверочной установке, так и без демонтажа на месте эксплуатации.
и. 2.6.5.4 (Измененная редакция, Изм. №2)
-
2.6.5.5 Абсолютную погрешность измерений температуры определяют сравнением показаний дисплея, монитора компьютера/контроллера с показаниями эталонного термометра в рабочем диапазоне измерений температуры. Для этого рядом с местом установки расходомера в поверочную среду погружают термометр и проводят не менее двух измерений температуры, по 1 -й точке - температура процесса.
Абсолютную погрешность измерений температуры At в каждой точке при каждом измерении рассчитывают по формуле
At = tp - tT (18)
где
tp - значение температуры измеренное расходомером,
tT- значение температуры измеренное термометром.
Расходомер считают выдержавшим поверку, если значение абсолютной погрешности измерений температуры At в каждой точке при каждом измерении не превышает значения допустимой абсолютной погрешности расходомера при измерении температуры, рассчитанной по формуле
Д’г< ±0,5 ±0,005tT (19)
где
t-r- значение температуры измеренное термометром, в °C.
Т.е. выполняется условие - | At | < | Д\ I.
Примечание:
операция поверки расходомера по температуре может быть проведена как на поверочной установке, так и без демонтажа на месте эксплуатации.
-
2.6.6 При положительных результатах поверки на жидкой среде расходомер признают годным к измерениям на газовых рабочих средах с метрологическими характеристиками, указанными в руководстве по эксплуатации соответственно исполнению расходомера. По окончании поверки проводят перенастройку прибора, в соответствии с параметрами настройки, указанными в руководстве по эксплуатации.
-
2.7.1 Результаты поверки оформляют протоколом по формам, указанным в приложении А.
-
2.7.1.1 Сведения о результатах поверки средств измерений передаются в Федеральный информационный фонд по обеспечению единства измерений в соответствии с порядком создания и ведения Федерального информационного фонда по обеспечению единства измерений, передачи сведений в него и внесения изменений в данные сведения, предоставления содержащихся в нем документов и сведений, предусмотренным частью 3 статьи 20 Федерального закона № 102-ФЗ.
п. 2.7.5.1 (введен дополнительно Изм. №2)
-
2.7.2 По заявлению владельца средств измерений или лица, представившего их на поверку положительные результаты поверки, оформляют записью в Паспорте, удостоверенной подписью поверителя и нанесением знака поверки или выдают свидетельство о поверке по установленной форме в соответствии с приказом Минпромторга России от 31 июля 2020 г. №2510 "Об утверждении Порядка проведения поверки средств измерений, требования к знаку поверки и содержанию свидетельства о поверке".
п. 2.7.2. (Измененная редакция, Изм. №2)
-
2.7.3 По заявлению владельца средств измерений или лица, представившего их на поверку в случае отрицательных результатов поверки, выдает извещения о непригодности к применению средства измерений.
п. 2.7.3. (Измененная редакция, Изм. №2)
-
3. ИМИТАЦИОННЫЙ МЕТОД ПОВЕРКИ
-
3.1.1 Имитационный метод поверки расходомеров Promass 100 состоит из следующих операций:
-
- внешний осмотр, п. 3.6.1;
-
- проверка идентификационных данных ПО расходомера п. 3.6.2;
-
- контроль метрологических характеристик, п. 3.6.3.
-
3.2.1 Для контроля метрологических характеристик расходомера применяют встроенное в расходомер программное обеспечение с функцией Heartbeat Verification (Heartbeat Проверка).
п. 3.2.1 (Измененная редакция, Изм. №2)
п. 2.2.2 (Исключили, Изм. №2)
-
2.2.3 Персональный компьютер с возможностью подключения к расходомеру при помощи USB или Ethernet интерфейса (см. руководство по эксплуатации).
п. 3.2.3 (Измененная редакция, Изм. №2)
3.3 Требования безопасности-
3.3.1 При проведении поверки соблюдают требования безопасности определяемые:
-
- правилами безопасности труда и пожарной безопасности действующими на месте эксплуатации расходомера,
-
- правилами безопасности по эксплуатации преобразователей сигналов FXA291 или FXA195 и поверяемого расходомера, приведенными в соответствующих руководствах по эксплуатации.
п. 3.3.1 (Измененная редакция, Изм. №2)
-
3.3.2 Монтаж электрических соединений должен проводиться в соответствии с ГОСТ 12.3.032-84 и "Правилами устройства электроустановок" (раздел VII).
-
3.3.3 К поверке допускают лиц, имеющих квалификационную группу по технике безопасности не ниже II в соответствии с "Правилами техники безопасности при эксплуатации электроустановок потребителей" и изучивших руководство по эксплуатации расходомера.
п. 3.3.3 (Измененная редакция, Изм. №2)
-
3.3.4 К поверке допускают лиц, изучивших инструкцию по применению технологии Heartbeat™ или прошедших информационный семинар по работе со встроенной в расходомере технологией Heartbeat™ с подтверждением соответствующим свидетельством, выданным компанией ООО "Эндресс+Хаузер".
п. 3.3.4 (Измененная редакция, Изм. №2)
3.4 Условия поверки-
3.4.1 При проведении поверки соблюдают следующие условия:
-
- температура окружающего воздуха от 0 до 30 °C;
температура процесса (при поверке без демонтажа) от 0 до 80 °C; атмосферное давление от 86 до 107 кПа;
давление процесса избыточное (при поверке без демонтажа) от 0 до 1,5 МПа; относительная влажность воздуха от 30 до 80 %.
3.5 Подготовка к поверке-
3.5.1 Имитационную поверку расходомера допускается проводить без демонтажа с трубопровода и остановки технологического процесса.
-
3.5.2 Перед началом поверки выполняют электрическое подключение поверяемого расходомера к персональному компьютеру одним из способов, описанных в руководстве по эксплуатации расходомера.
п. 3.5.2 (Измененная редакция, Изм. №2)
-
3.5.3 Если поверяемый расходомер установлен во взрывоопасной зоне, предусмотренной модификацией прибора, то допускается только удаленное подключение к нему персонального компьютера по протоколу HART из взрывобезопасной зоны.
и. 3.5.3 (Измененная редакция, Изм. №2)
-
3.5.4 Выходной токовый сигнал поверяемого расходомера должен быть задействован во время поверки. В случае если клеммы выходного сигнала не задействованы, необходимо замкнуть цепь выходного сигнала при помощи проводника тока.
п. 3.5.4 (Измененная редакция, Изм. №2)
-
3.5.5 Выполняют активацию программного обеспечения с функцией Heartbeat Verification (Heartbeat Проверка), если в коде отсутствует опция этой функции. Активация функции проводится при помощи меню настроек прибора в разделе Setup Advanced setup
Enter access code (Настройки Расширенные настройки Введите код доступа).
п. 3.5.5 (введен дополнительно Изм. №2)
3.6 Проведение поверки-
3.6.1 Внешний осмотр.
-
3.6.1.1 При внешнем осмотре устанавливают, что:
-
-
- на расходомере отсутствуют механические повреждения, препятствующие его применению;
-
- надписи и обозначения на паспортной табличке расходомера соответствуют требованиям эксплуатационной документации;
-
- комплектность расходомера соответствует указанной в документации;
-
- исполнение расходомера соответствует его маркировке.
-
3.6.1.2 Расходомер, не прошедший внешний осмотр, к поверке не допускают.
-
3.6.2 Проверка идентификационных данных ПО расходомера происходит в соответствии с пунктом см. п. 2.6.2. данной методики. Номер версии (идентификационный номер) программного обеспечения дополнительно сравнивается со значением Firmware version (версия программного обеспечения) в pdf отчете, формируемом в соответствии с инструкцией по применению технологии Heartbeat™.
п. 3.6.2 (Измененная редакция, Изм. №2)
-
3.6.3 Контроль метрологических характеристик.
-
3.6.3.1 С помощью функции (Heartbeat -> Performing verification Start verification) (Heartbeat Выполнение поверки Начало поверки), в соответствии с инструкцией по применению технологии Heartbeat™, в расходомере инициируется процедура самопо-верки, в ходе которой контролируется следующие параметры:
-
Исправность электронных элементов первичного преобразователя:
(Измененная редакция, Изм. №2)
-
• чувствительных элементов (параметры Inlet pickup coil, Outlet pickup coil, Pickup coil symmetry);
-
• датчика измерения температуры измерительных трубок (параметр Measuring tube temperature sensor);
-
• датчика измерения температуры корпуса первичного преобразователя (параметр Carrier tube temperature sensor);
-
• катушки возбуждения колебаний (параметр Frequency lateral/torsion mode);
Дрейф электромеханических характеристик первичного преобразователя: (Измененная редакция, Изм. №2)
-
• Целостность первичного преобразователя (параметр Sensor integrity);
Дрейф характеристик электронного преобразователя измерительных сигналов:
-
• дрейф частоты кварцевого генератора, встроенного в модуль цифровой обработки измерительных сигналов (параметр Reference clock);
-
• дрейф нулевой точки (параметр Zero point tracking);
-
• стабильность величины сопротивления встроенного образцового резистора (параметр Reference temperature);
-
• дрейф характеристик модуля формирования аналогового выходного сигнала (параметр I/O module).
-
3.6.3.2 Результаты поверки считаются положительными, если в отчете о поверке, формируемом программой Heartbeat™ (Verification report, см. Приложение Б), результаты контроля параметров расходомера отображаются в виде (Passed) (Пройдено), и значение параметра Sensor integrity deviation (Целостность сенсора), не превышает ±1%.
Примечание. Значение параметра Sensor integrity deviation (Целостность сенсора) может отображается в четырехстраничном отчете pdf или в диалоговом окне программы FieldCare или DeviceCare (см. Приложение В).
п. 3.6.3.2 (Измененная редакция, Изм. №2)
-
3.6.3.3 При положительных результатах имитационной поверки расходомер Promass 100 признают годным к измерениям массового расхода жидкости и газа, объемного расхода и плотности жидкости с относительной погрешностью, указанной в таблице:
Первичный преобразователь
Е
F
I
А
S
Р
Пределы допускаемой относительной погрешности расходомеров Promass 100 при имитационной поверке, %
- массового расхода и массы жидкости;
±0,45
±0,30
±0,30
±0,30
±0,30
±0,30
- массового расхода и массы газа;
±1,50
±0,70
±1,00
±1,00
±1,00
±1,00
- объемного расхода и объема жидкости.
±0,45
±0,30
±0,30
±0,30
±0,30
±0,30
Пределы допускаемой абсолютной погрешности измерений плотности жидкости, кг/м3
±50
±25
±50
±50
±25
±50
-
3.7.1 Согласно руководству по эксплуатации, происходит сохранение результатов, формируемых в черырехстраничном pdf файле в соответствии с эксплуатационной документацией или в двухстраничном pdf файле с сохранением мгновенных снимков значения параметра Sensor integrity (Целостность сенсора) из диалогового окна программы FieldCare или DeviceCare (см. Приложение В).
Примечание. Значение параметра Sensor integrity (Целостность сенсора) можно получить в диалоговом окне программы FieldCare или DeviceCare в разделах модуля Flow Verification DTM CDI (Archive file-> Verification data Result) (см. Приложение В).
n. 3.7.1 (Измененная редакция, Изм. №2)
3.72 Отчет (см. Приложение Б) и сохраненные мгновенные снимки (см. Приложение В), которые являются протоколом поверки, выводят на печать.
п. 3.7.2 (Измененная редакция, Изм. №2)
-
3.7.2.1 Сведения о результатах поверки средств измерений передаются в Федеральный информационный фонд по обеспечению единства измерений в соответствии с порядком создания и ведения Федерального информационного фонда по обеспечению единства измерений, передачи сведений в него и внесения изменений в данные сведения, предоставления содержащихся в нем документов и сведений, предусмотренным частью 3 статьи 20 Федерального закона № 102-ФЗ.
п. 2.7.2.1 (введен дополнительно Изм. №2)
3.722 По заявлению владельца средств измерений или лица, представившего их на поверку положительные результаты поверки, оформляют записью в Паспорте, удостоверенной подписью поверителя и нанесением знака поверки или выдают свидетельство о поверке по установленной форме в соответствии с приказом Минпромторга России от 31 июля 2020 г. №2510 "Об утверждении Порядка проведения поверки средств измерений, требования к знаку поверки и содержанию свидетельства о поверке".
п. 3.7.2.2 (введен дополнительно Изм. №2)
з. 7.3 По заявлению владельца средств измерений или лица, представившего их на по
верку в случае отрицательных результатов поверки, выдает извещения о непригодности к применению средства измерений. /
и. 3.7.3. (Измененная редакция, Изм. №2) /
Б. А. Иполитов
Начальник отдела 208 ФГУП "ВНИИМС"
Ведущий инженер ФГУП "ВНИИМС"
Представитель фирмы ООО "Эндресс+Хаузер"

Д. П. Ломакин
А. С. Гончаренко
Приложение А
Результаты поверки-
2.5 Заключение по подготовке к поверке ________________________
-
2.6.1 Заключение по внешнему осмотру ________________________
-
2.6.2 Заключение по проверке идентификаци- _________________________
онных данных ПО
-
2.6.3 Заключение по проверке герметичности _________________________
-
2.6.4 Заключение по опробованию ________________________
2.6.5.1 Определение погрешности измерений массы S т.
Массовый расход [т/ч] |
Измерение |
Показания расходомера по измеренной массе, Мр [т] |
Показания поверочной установки Му [т] |
Значение относительной погрешности 61П [%] |
Значение допускаемой погрешности рассчитанной по формуле 5'т [%] |
1 | |||||
2 | |||||
1 | |||||
2 | |||||
1 | |||||
2 | |||||
1 | |||||
2 | |||||
1 | |||||
2 | |||||
1 | |||||
2 |
2.5
2.6.1
2.6.2
-
2.6.3
-
2.6.4
Заключение по подготовке к поверке _________________________
Заключение по внешнему осмотру _______________________
Заключение по проверке идентификаци- ________________________
онных данных ПО
Заключение по проверке герметичности ________________________
Заключение по опробованию _______________________
2.6.5.2 Определение погрешности измерений объема 5V [%]
Объемный расход [м3/ч] |
Измерение |
Показания расходомера по измеренному объему, м3 [VP] |
Показания поверочной установки по измеренному объему, м3 ш |
Значение относительной погрешности 8V [%] |
Значение допускаемой погрешности рассчитанной по формуле S'v [%] |
1 | |||||
2 | |||||
1 | |||||
2 | |||||
1 | |||||
2 | |||||
1 | |||||
2 | |||||
1 | |||||
2 |
Серийный номер
Ду, мм
Поверяемый параметр
Результаты поверки
2.5
2.6.1
2.6.2
-
2.6.3
-
2.6.4
Заключение по подготовке к поверке _________________________
Заключение по внешнему осмотру _______________________
Заключение по проверке идентификаци- ________________________
онных данных ПО
Заключение по проверке герметичности ________________________
Заключение по опробованию _______________________
2.6.5.3 Определение абсолютной погрешности измерений плотности Дп, (кг/м3)
Измерение |
Значение плотности измеренное расходомером рр, (кг/м3) |
Значение плотности измеренное ареометром рд (кг/м3) |
Абсолютная погрешность Дп , (кг/м3) |
1 | |||
2 |
Заключение о пригодности расходомера:_________________________
Серийный номер
Ду, ММ
Поверяемый параметр
Результаты поверки
2.5
2.6.1
2.6.2
-
2.6.3
-
2.6.4
Заключение по подготовке к поверке _________________________
Заключение по внешнему осмотру _______________________
Заключение по проверке идентификаци- ________________________
онных данных ПО
Заключение по проверке герметичности ________________________
Заключение по опробованию _______________________
2.6.5.4 Определение относительной погрешности измерений вязкости Дп, (%)
Измерение |
Значение вязкости измеренное расходомером т|р, (мПа с) |
Значение вязкости, измеренное ареометром 7а,(мПас) |
Относительная погрешность Дл, (%) |
Значение допускаемой относительной погрешности рассчитанной по формуле |
1 | ||||
2 |
Серийный номер
Ду, мм
Серийный номер
Результаты поверки
2.5
2.6.1
2.6.2
-
2.6.3
-
2.6.4
Заключение по подготовке к поверке _________________________
Заключение по внешнему осмотру _______________________
Заключение по поверке идентификаци- ________________________
онных данных ПО
Заключение по проверке герметичности ________________________
Заключение по опробованию _______________________
2.6.5.5 Определение абсолютной погрешности измерений температуры At [°C]
Измерение |
Значение температуры, измеренное расходомером, tp [°C] |
Значение температуры, измеренное термометром, tT [°C] |
Абсолютная погрешность At [°C] |
Значение допускаемой абсолютной погрешности, рассчитанной по формуле А\ [°C] |
1 | ||||
2 |
Заключение о пригодности расходомера:_________________________
Серийный номер ________________________
Ду, мм _________________________
Применяемый диапазон измерений по расходу, т/ч __________________________
Результаты поверки
2.6.5.1.1 Определение погрешности измерений массы
Массовый расход, [т/ч] |
Измере ние |
Показания расходомера по измеренной массе Ммас у, [т] |
Показания поверочной установки M^ij, [т] |
Среднее квадратичное отклонение SMI' диап, [%] |
Значение относительной погрешности Sii, [%] |
Значение относительной погрешности [%] |
1 | ||||||
2 | ||||||
3 | ||||||
4 | ||||||
5 | ||||||
1 | ||||||
2 | ||||||
3 | ||||||
4 | ||||||
5 | ||||||
1 | ||||||
2 | ||||||
3 | ||||||
4 | ||||||
5 |
Серийный номер ________________________
Ду, мм _________________________
Применяемый диапазон измерений по расходу, м3/ч__________________________
Результаты поверки
2.6.5.2.1 Определение погрешности измерений объема, dij
Объемный расход, [м3/ч] |
Измере ние |
Показания расходомера по измеренному объему V“ac ij, [м3] |
Показания поверочной установки Vp) у, [м3] |
Среднее квадратичное отклонение SMI' диап, [%] |
Значение относительной погрешности 8у, [%] |
Значение относительной погрешности 8'ij, [%] |
1 | ||||||
2 | ||||||
3 | ||||||
4 | ||||||
5 | ||||||
1 | ||||||
2 | ||||||
3 | ||||||
4 | ||||||
5 | ||||||
1 | ||||||
2 | ||||||
3 | ||||||
4 | ||||||
5 |
Приложение Б
Verification report Promass 100
Operator
Device information
Losato- | ||||
Device tag |
=-omass | |||
■Vodule name |
K301 | |||
Nontinal Siamese' |
DN25 /1’ | |||
Device name |
=-om.acs 100 | |||
O'de'ccde |
831825-1-78.0 | |||
Serial number |
J1103102000 | |||
Firmware version |
0100.02 | |||
Calibration | ||||
Calibration facto- |
2.4255 | |||
Ze-u pein: |
-30.0000 |

eartbeat
Verrbcotson information
Oseratingtime |
lCcO9nO3mC3s |
Date'time |
□112.20 1200 |
Verification ID |
326 |
Overall verification result* | |
0 Passed |
Dctaib see next sege |
ofthe сьтрМ* dcvte ■ -uit» Mt >u НшПЬшС Tk*
Comrrmaticn
Heartbeat Verification verifies the funcso^ of the Sowmeter withm the specified measuring tolerance. over the useful lifetime of the device, with a tots! test coverage > 9m 4. and complies with the requirements for traceable verification according to DIN EN CO 90012003 - Section 7.6 a. •'attested by TUV-5UD Industrieservices G.mbhi;
Notes
Date
Ose'sto's sgnatu-e
Inspector's signature
Device identification and verification identification
Serial number
Devree tag
,1103102000
=romaat
Verification ID
Rop'e'cr Process
eartbeat

I/O module
Inlet pickup ceil | |
Outlet pickup coil |
..................................................ESr^a..................................... |
Measuring tube temperaturesensor |
Sp=»d |
Ca~e* tube ter-rpe*atu*e aenco* |
0===^ |
Picvua cs . t.T-.-netr. |
0P=ed |
firequenc.- lateral n-ode |
Ze-o point vaddng | ||
Reference doc*. |
3===ed | |
Reference temaenzture |
Spaaaed |
Device identification and verification identification
Serial -umbe-
De.-ce tag
Verificatxn ID

eartbedt
,U03102CCC
326
Test item |
Unit |
Artun! Min. |
Max. Visualization |
Sensor | |||
Piccua co = symmetry deviation |
% |
-3.0282 | |
Actual rrequenc. lateral mode |
Ht |
813.902 |
Sensor integrity
Sensor integrity ce.-st>sn |
st |
0.0504 |
Sensor electronic module | ||
Zem point tracing deviation |
57 7629 | |
Р-ererence dot< deviation |
ppm |
-1.9000 |
Reference temae-zture deviation |
Ohm |
2-27*2 |
I/O module
Prop's xr P'oce??
Device identification and verification identification
aenal -umbe'
De-.-ce tag
Verifiator. !D

eartbedt
J11O31O2CCC

526
Test item Unit Actuof
Reference conditions | |
Msafiow venficsocn value |
2.7C80 |
Denair.- verf-cation value |
1.1436 |
Damping verification value |
387.7240 |
Process tempe-ature verification value |
-271.9831 |
E ectron ic ten pe-ature |
40.3123 |
Приложение Б
(перевод)
Отчет о проверке Promass 100
Пользователь:
Информация о приборе:
Место
Обозначение прибора
Pwnoss
Название модуля

•ЗС1
DN25 / "

eartbedl
Название прибора
Заказной код прибора
Серийный номер
Версия программного обеспечения
г'О'пазс ЮС Вс1В"5-1-78/Э
J1103102000
01.Х.02
Калибровка
Коэффициент кзлибровкми 2.4255
Нулевая точка
-ЗОЛООО
Инфомзимя о проверке
Бремя работы (сметчик)
2СдС9ч02мЭ5с
Дата/время (отмечается вручную)
ID прооерки
02.1230 1200
326
Общие результаты проверки*
21 Выполнено
Детали на след. странице
* Рыуяыы tcnxjro teg ярив in*" пржОорл с гсхмилогтй гчагЗжл: ТьсЛлоЬду
Подтверждение
Технология Heartbeat Verification проверяет функционирование расходомера в рамках указанной погрешности измерений на протяжении срока службы прибора функциональным тестом > 94 ЯЬ. и соответствует требованиям стандарта MN EN ISC 9СС13СС8 - Раздел 7.6 а. (аттестовано TUV-SUD Industrieservices GmbH)
Комментарии
Дата
Подпись пользователя
Подпись инспектора
Pwpte 'cr P'oc«« Ахотггэп

eartbedl
Тсс
Идентификация прибора и идентификждтя проверим
Серийный номер ^1103102000
Обозначение прибора

326
ID проверки
Сенсор |
я/| выполнено | |||
Измерительная. катушка на входе |
71 выполнено |
I Ъмерителапая кзтушкэ на еасходе ■ Выполнено
Датчик температуры измерительной трубки Si выполнено
Датчик температуры корпуса |
71 Выполнено |
Си-м.метрия амплитуды катушек |
71 Выполнено |
Частота поперечных колебаний |
71 Выполнено |
Целостность сенсора |
y'l выполнено |
Электрон тыи модуль датчика |
71 выполнено |
Дрейф нулевой точки |
71 Выполнено |
Дрейф частоты кварцевого генератора |
71 Выполнено |
Дрейф сопротивления встроенного эталонного резистора |
71 Выполнено |
Модуль ввода/вывода |
71 Выполнено |
Fiope'cr P'oc^s члотгпл
Пользователь:

eartbeat
Идентификация прибора и идентификация проверки Серийный номер
Обозначение прибора
10 проверки
Объект тестирования |
Ед. изм. |
Текущее значение |
Макс. Визуализация | |
Сенсор | ||||
Отклонение симметрии амплитуды катушек |
ЯЬ |
-3.0282 | ||
Резонансная частота поперечных колебаний |
Гц |
813 902 |
Целостность сенсора
Отклонение целостности сенсора |
Ч |
0.050т |
Электронный модуль д атчика | ||
Отклонение нулевой точки |
57.7629 | |
Дрейф частоты кварцевого генератора |
ррст |
-1.9000 |
Дрейф сопротивления встроенного эталонного резистора |
Ом |
1 ?7^Э |
People '<r P'oc«s Auwrayi
Идентификация прибора и идентификация проверю*
Серийной номер
Обозначение приборе
Ю проверю*

eartbedl
,1103102000
ЙИО'ПЗЗЗ
326
Объект тестирования |
Текущее Ед. изм. значение |
Условия процесса | |
ЛЪссоево* расход |
2.7060 |
Плотность |
11436 |
Демпфирование |
387.7240 |
Температура рабочей средн» |
-2719831 |
Температуре электроники |
40.3123 |

Приложение В

