Методика поверки «ГСИ. СИСТЕМА ИЗМЕРЕНИЙ КОЛИЧЕСТВА И ПОКАЗАТЕЛЕЙ КАЧЕСТВА НЕФТИ № 423 ПСП «УФА» » (МП 1165 - 14-2020)
ВСЕРОССИЙСКИЙ НАУЧНО-ИССЛЕДОВАТЕЛЬСКИЙ ИНСТИТУТ РАСХОДОМЕТРИИ -ФИЛИАЛ ФЕДЕРАЛЬНОГО ГОСУДАРСТВЕННОГО УНИТАРНОГО ПРЕДПРИЯТИЯ «ВСЕРОССИЙСКИЙ НАУЧНО-ИССЛЕДОВАТЕЛЬСКИЙ ИНСТИТУТ МЕТРОЛОГИИ им. Д.И. МЕНДЕЛЕЕВА»
ВНИИР - филиал ФГУП «ВНИИМ им.Д.И.Менделеева»

Государственная система обеспечения единства измерений
СИСТЕМА ИЗМЕРЕНИЙ КОЛИЧЕСТВА И ПОКАЗАТЕЛЕЙ КАЧЕСТВА
НЕФТИ № 423 ПСП «УФА»
Методика поверки
МП 1165 - 14-2020
Начальник отдела НИО-14

Р.Р. Нурмухаметов
Тел.: (843) 299-72-00
Казань
2020
РАЗРАБОТАНА |
ВНИИР - филиал ФГУП «ВНИИМ им.Д.И.Менделеева» |
ИСПОЛНИТЕЛИ |
Черепанов М.В. |
УТВЕРЖДЕНА |
ВНИИР - филиал ФГУП «ВНИИМ им.Д.И.Менделеева» |
Настоящий документ распространяется на систему измерений количества и показателей качества нефти № 423 ПСП «Уфа» (далее — СИКН) с заводским № 423, и устанавливает методику первичной поверки при вводе в эксплуатацию, а также после ремонта и периодической поверки при эксплуатации.
Если очередной срок поверки измерительного компонента (средства измерений (СИ)) из состава СИКН наступает до очередного срока поверки СИКН, или появилась необходимость проведения периодической или внеочередной поверки измерительного компонента, то поверяют только этот измерительный компонент, при этом внеочередную поверку СИКН не проводят.
Допускается проведение поверки СИКН в части отдельного измерительного канала в соответствии с заявлением владельца СИКН.
Интервал между поверками СИКН - 12 месяцев.
1 Операции поверки
При проведении поверки выполняют операции, приведенные в таблице 1.
Таблица 1
Наименование операции |
Номер пункта документа |
Проведение операции при | |
первичной поверке |
периодической поверке | ||
Внешний осмотр |
6.1 |
Да |
Да |
Подтверждение соответствия программного обеспечения |
6.2 |
Да |
Да |
Опробование |
6.3 |
Да |
Да |
Определение (контроль) метрологических характеристик |
6.4 |
Да |
Да |
Если при проведении какой-либо операции поверки получен отрицательный результат, дальнейшую поверку не проводят.
2 Средства поверки
-
2.1 Эталоны (основные средства поверки)
-
2.1.1 Рабочий эталон 1-го или 2-го разряда в соответствии с Государственной поверочной схемой (часть 2), утвержденной приказом Госстандарта от 07.02.2018 № 256 (установка поверочная трубопоршневая) (далее - ПУ).
-
-
2.2 Средства измерений
-
2.2.1 СИ плотности, обеспечивающее возможность поверки во всем диапазоне измерений СИКН (преобразователь плотности поточный с пределами допускаемой абсолютной погрешности ±0,3 кг/м3) (далее - ПП).
-
2.2.2 СИ избыточного давления, обеспечивающие возможность поверки во всем диапазоне измерений СИКН (измерительные преобразователи избыточного давления с унифицированным токовым выходным сигналом с пределами допускаемой приведенной погрешности ±0,5 %, манометры класса точности 0,6).
-
2.2.3 СИ температуры, обеспечивающие возможность поверки во всем диапазоне измерений СИКН (датчики температуры, термометры с пределами допускаемой абсолютной погрешности ±0,2 °C).
-
2.2.4 СИ вязкости, обеспечивающее возможность поверки во всем диапазоне измерений СИКН (преобразователь вязкости поточный с пределами допускаемой приведенной погрешности ±1,0 %) (далее - ПВ).
-
2.2.5 Комплекс измерительно-вычислительный «ИМЦ-03» (далее - ИВК) с пределами допускаемой относительной погрешности: измерений частоты импульсного сигнала ±0,002 %, количества импульсов ±0,025 %, преобразования входных электрических сигналов в значение коэффициента преобразования ±0,025 %, абсолютной погрешности измерений постоянного тока ±0,015 мА).
-
-
2.3 Допускается применение аналогичных средств поверки, обеспечивающих определение метрологических характеристик СИКН с требуемой точностью.
3 Требования безопасности
-
3.1 При проведении работ соблюдают требования, определяемые документами:
-
- в области охраны труда;
-
- в области промышленной безопасности;
-
- в области пожарной безопасности;
-
- в области соблюдения правильной и безопасной эксплуатации электроустановок;
-
- в области охраны окружающей среды;
-правилами безопасности при эксплуатации используемых СИ, приведенными в их эксплуатационной документации.
4 Условия поверки
-
4.1 Поверку СИКН проводят на месте эксплуатации в диапазоне измерений, указанном в описании типа, или фактически обеспечивающимся при поверке диапазоне измерений с обязательным указанием в свидетельстве о поверке информации об объеме проведения поверки. Фактический диапазон измерений не может превышать диапазона измерений, указанного в описании типа СИКН.
Характеристики СИКН и физико-химические показатели нефти при проведении поверки должны соответствовать требованиям, приведенным в таблице 2.
Проверку физико-химических показателей нефти на соответствие данным таблицы 2 проводят по данным паспорта качества нефти.
Таблица 2
Наименование характеристики
Значение
Диапазон измерений массового расхода нефти, т/ч
Диапазон измерений расхода через ИК”, м3/ч
- рабочий
- контрольно-резервный
от 115 до 843*
от 135 до 528
от 130 до 535
Избыточное давление, МПа
от 0,19 до 1,60
Измеряемая среда
нефть
по ГОСТ Р 51858-2002 «Нефть. Общие технические условия»
Продолжение таблицы 2
Наименование характеристики |
Значение |
Параметры измеряемой среды: - температура, °C |
от +2,0 до +30,0 |
- плотность при температуре +20°С и избыточном давлении 0 МПа, кг/м3 |
от 855,0 до 887,0 |
- вязкость кинематическая, мм2/с |
от 12,0 до 30,0 |
- массовая доля воды, %, не более |
1,0 |
- массовая доля механических примесей, %, не более |
0,05 |
- массовая концентрация хлористых солей, мг/дм3, не более |
900 |
- давление насыщенных паров, кПа (мм рт. ст.), не более |
66,7 (500) |
- содержание свободного газа, % |
не допускается |
- указан максимальный диапазон измерений. Фактический диапазон измерений определяется при | |
проведении поверки и не может превышать максимальный диапазон измерений. | |
- измерительный канал объема и объемного расхода нефти. |
-
4.2 Определение метрологических характеристик измерительного канала объема и объемного расхода нефти комплектным способом проводят при следующих условиях:
-
- работы проводят на месте эксплуатации в комплекте с элементами измерительных линий;
-
- допускаемое изменение абсолютного значения расхода за время одного измерения (в точке расхода) 2,5 %;
-
- допускаемое изменение абсолютного значения температуры измеряемой среды за время одного измерения 0,2 °C;
-
- температура, влажность окружающей среды и физико-химические показатели измеряемой среды соответствуют условиям эксплуатации системы;
-
- диапазоны рабочего давления и объемного расхода определяются типоразмерами ПР (преобразователи расхода жидкости турбинные HELIFLU TZ-N с Ду 150 мм, преобразователь объема жидкости лопастной Smith Meter с Ду 10" модели JB-10), рабочим диапазоном объемного расхода ПУ и технологическими требованиями;
-
- содержание свободного газа не допускается;
-
- для обеспечения бескавитационной работы избыточное давление в трубопроводе после ПР, Pmin, МПа, должно быть не менее вычисленного по формуле
=2,06.Pw+2-AP, (1)
где Р нп ~ давление насыщенных паров, определенное в соответствии с ГОСТ 1756-2000
«Нефтепродукты. Определение давления насыщенных паров» при максимально возможной температуре измеряемой среды, МПа;
ДР - разность давления на ПР, указанная в технической документации, МПа;
-
- регулирование объемного расхода проводят при помощи регуляторов расхода, расположенных на выходе ПУ и (или) на измерительных линиях.
-
4.3 При соблюдении условий 4.1, 4.2 считают, что факторы, которые могут оказать влияние на точность результатов измерений при поверке, отсутствуют.
5 Подготовка к поверке
Подготовку средств поверки и СИКН осуществляют в соответствии с их эксплуатационной документацией.
-
5.1 Проверяют наличие действующих свидетельств о поверке (свидетельств об аттестации) и(или) знаков поверки на все средства поверки.
-
5.2 Перед началом определения метрологических характеристик ИК нефти комплектным способом выполняют следующие подготовительные работы:
-
- проверяют правильность монтажа средств поверки и ПР;
-
- проверяют отсутствие газа (воздуха) в измерительной линии с ПР и ПУ, а также в верхних точках трубопроводов. Для этого устанавливают объемный расход нефти в пределах диапазона измерений ПР и открывают краны, расположенные в верхних точках измерительной линии и ПУ. Проводят 1-3 раза запуск поршня, удаляя после каждого запуска газ (воздух). Считают, что газ (воздух) отсутствует полностью, если из кранов вытекает струя нефти без газовых (воздушных) пузырьков;
-
- проверяют герметичность устройства пуска и приема поршня ПУ в соответствии с технической документацией;
-
- проверяют стабильность температуры измеряемой среды. Температуру измеряемой среды считают стабильной, если ее изменение в ПУ и в ПР не превышает 0,2 °C за время измерения;
-
- определяют плотность измеряемой среды за время определения относительной погрешности ПР с помощью поточного преобразователя плотности (далее - ПП) или в испытательной лаборатории;
-
- определяют кинематическую вязкость измеряемой среды за время определения относительной погрешности ПР с помощью поточного преобразователя вязкости или в испытательной лаборатории;
-
- вводят в память ИВК (или проверяют введенные ранее) необходимые данные согласно приложению А.
6 Проведение поверки
-
6.1 Внешний осмотр
При внешнем осмотре должно быть установлено соответствие СИКН следующим требованиям:
-
- комплектность СИКН должна соответствовать указанной в описании типа и эксплуатационной документации на СИКН;
-
- на компонентах СИКН не должно быть механических повреждений и дефектов, препятствующих проведению поверки;
-
- надписи и обозначения на компонентах СИКН должны быть четкими и соответствовать технической документации;
Результаты считают положительными, если СИКН соответствует вышеперечисленным требованиям.
-
6.2 Подтверждение соответствия программного обеспечения (ПО)
-
6.2.1 Определение идентификационных данных ПО ИВК проводят в следующей последовательности:
-
-
- включить питание ИВК, если питание было выключено;
-
- дождаться после включения питания появления на дисплее ИВК главного меню или войти в главное меню;
-
- в главном меню выбрать пункт «Просмотр 2»;
-
- в меню «Просмотр 2» выбрать пункт «Версия программы», после чего на экране отобразится информация о:
-
- наименовании ИВК;
-
- названии реализованных алгоритмов вычислений;
-
- идентификационном наименовании ПО;
-
- номере версии ПО (идентификационный номер ПО);
-
- цифровом идентификаторе ПО.
-
6.2.2 Определение идентификационных данных ПО автоматизированного рабочего места (АРМ) оператора «ФОРВАРД» проводят в следующей последовательности:
-
- в основном меню, расположенном в верхней части экрана монитора АРМ оператора, выбрать пункт меню «О программе»;
-
- нажать кнопку «Модули», на экране появится диалоговое окно с информацией о ПО.
Результат считают положительным, если идентификационные данные ПО СИКН соответствуют идентификационным данным, указанным в описании типа СИКН.
-
6.3 Опробование
-
6.3.1 Опробование проводят в соответствии с эксплуатационной документацией на СИКН.
-
Проверяют действие и взаимодействие компонентов в соответствии с инструкцией по эксплуатации СИКН, возможность получения отчетов следующим образом:
-
- проверяют наличие электропитания на компонентах СИКН;
-
- проверяют наличие связи между первичными преобразователями, вторичной аппаратурой и ИВК, ИВК и АРМ оператора СИКН путем визуального контроля меняющихся значений измеряемых величин (температура, давление, плотность, вязкость нефти, расход нефти через измерительные линии и блок контроля качества, объемной доли воды в нефти) на дисплее компьютера АРМ оператора;
-
- используя принтер компьютера АРМ оператора СИКН, распечатываются пробные отчеты (оперативные, суточные отчеты, протокол поверки).
-
6.3.2 Проводят опробование ПР, входящих в состав ИК нефти. Для этого устанавливают произвольное значение расхода, находящееся в пределах рабочего диапазона ПР и проводят одно измерение.
По команде с СОИ запускают поршень ПУ.
При прохождении поршнем первого детектора в СОИ начинается отсчет количества импульсов, поступающих от ПР и времени прохождения поршня между детекторами. При прохождении поршнем второго детектора отсчет количества импульсов в СОИ прекращается. Выполняют те же операции при обратном направлении движения поршня.
За одно измерение принимают движение поршня в прямом и обратном направлении, количество импульсов и время прохождения поршня в прямом и обратном направлениях суммируют.
-
6.3.3 Результат опробования считают положительным, если получены положительные результаты по 6.3.1, 6.3.2.
6.4 Определение (контроль) метрологических характеристик
-
6.4.1 Проверка результатов поверки измерительных компонентов, входящих в состав СИКН
Проверяют наличие у измерительных компонентов, входящих в состав СИКН, действующих знаков поверки и (или) свидетельств о поверке, и (или) записи в паспортах (формулярах), заверенные подписью поверителя и знаком поверки.
Перечень измерительных компонентов, входящих в состав СИКН, приведен в описании типа СИКН.
Входящие в состав СИКН измерительные компоненты на момент проведения поверки СИКН должны быть поверены в соответствии с документами на поверку, указанными в свидетельствах об утверждении типа (описаниях типа) данных измерительных компонентов (за исключением ПР, входящих в состав ИК. метрологические характеристики которых определяются в соответствии с 6.4.2).
Показывающие СИ температуры и давления должны быть поверены в соответствии с методиками поверки, указанными в свидетельствах об утверждении типа (описаниях типа) данных СИ.
Примечания
-
1 Проверку согласно 6.4.1 проводят для измерительных компонентов, фактически установленных на момент проведения поверки СИНК.
-
2 Поверку СИКН в части отдельных ИК проводят в соответствии с 6.4.2, к данной методике.
Результат проверки считают положительным, если измерительные компоненты, входящие в состав СИКН, имеют действующие знаки поверки и (или) свидетельства о поверки, и (или) запись в паспортах (формулярах).
-
6.4.2 Определение метрологических характеристик ИК проводят в соответствии с приложением Б к данной методике поверки.
-
6.4.3 Определение относительной погрешности измерений массы (брутто, нетто) нефти
-
6.4.3.1 При получении положительных результатов поверки согласно 6.1-6.3, 6.4.1, 6.4.2 настоящей методики поверки, относительная погрешность измерений массы брутто нефти не выходит за установленные пределы ±0,25 %.
-
6.4.3.2 Определение относительной погрешности измерений массы нетто нефти с применением СИКН
Относительную погрешность измерений массы нетто нефти 5шн, %, вычисляют по формуле
8тн=±1,1

(2)
где 5т - относительная погрешность измерений массы брутто нефти, %;
AWm.b ~ абсолютная погрешность измерений массовой доли воды в нефти, %, определяется по формуле

(3)
Rmb - воспроизводимость метода измерений массовой доли воды в нефти в соответствии с ГОСТ 2477-2014 «Нефть и нефтепродукты. Метод определения содержания воды», %;
Гм.в - повторяемость метода измерений массовой доли воды в нефти в соответствии с ГОСТ 2477, %;
AWmti - абсолютная погрешность измерений массовой доли механических примесей в
нефти, %, определяется по формуле
AWM п ±

э
(4)
В-м.п - воспроизводимость метода измерений механических примесей в нефти в соответствии с ГОСТ 6370-2018 «Нефть, нефтепродукты и присадки. Метод определения механических примесей», %;
гм.п - сходимость метода измерений механических примесей в нефти в соответствии с ГОСТ 6370, %;
AWx.c ~ абсолютная погрешность измерений массовой доли хлористых солей в нефти, %, определяется по формуле
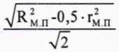
AWXC = ±0,1 .VRx.c-°’5_^C-, (5)
р *>/2 г изм v
Rx c - воспроизводимость метода определения массовой доли хлористых солей в нефти в соответствии с ГОСТ 21534-76 «Нефть. Методы определения содержания хлористых солей» (принимают равной удвоенному значению сходимости г^с)» мг/дм3;
г х.с ~ сходимость метода определения массовой доли хлористых солей в нефти в соответствии с ГОСТ 21534, мг/дм3;
Wm.b~ массовая доля воды в нефти, определенная в лаборатории по ГОСТ 2477, %;
Wx.c~ массовая доля хлористых солей в нефти, %, определенная по формуле
Wxc=0,l±^, (6)
Ризм
фх.с - массовая концентрация хлористых солей в нефти, мг/дм3, определенная в лаборатории по ГОСТ 21534 (метод А);
ризм - плотность нефти при условиях измерений, (рх.с, кг/м3;
^м п - массовая доля механических примесей в нефти, определенная в лаборатории по ГОСТ 6370, %.
Относительная погрешность измерений массы нетто нефти с применением СИКН не должна превышать ±0,35 %.
При получении положительных результатов по 6.4.3.1, 6.4.3.2 результат контроля метрологических характеристик считают положительным.
7 Оформление результатов поверки
-
7.1 Результаты поверки СИКН оформляют протоколом по форме, приведенной в Приложении А.
При оформлении протокола средствами вычислительной техники и вручную допускается форму протокола представлять в измененном виде.
-
7.2 Результаты поверки оформляются в соответствии с действующими нормативноправовыми документами в части поверки СИ.
При положительных результатах поверки оформляют свидетельство о поверке СИКН в соответствии с действующим порядком проведения поверки СИ.
На оборотной стороне свидетельства о поверке СИКН указывают:
- диапазон расхода и пределы допускаемой относительной погрешности измерений массы (брутто, нетто) нефти.
Знак поверки наносится на свидетельство о поверке СИКН, а также на пломбы, установленные на контровочных проволоках, согласно описанию типа СИКН.
К свидетельству о поверке на СИКН прикладывают:
-
- перечень автономных измерительных блоков, в который включают перечень ИК с указанием заводских номеров измерительных компонентов, входящих в состав ИК, и перечень измерительных компонентов, входящих в состав СИКН, с указанием их заводских номеров.
-
- протокол поверки на СИКН.
-
7.3 При поверке СИКН в части отдельного ИК при получении положительных результатов поверки оформляют свидетельство о поверке СИКН в части ИК в соответствии с действующим порядком проведения поверки СИ. Срок действия свидетельства о поверке СИКН в части отдельного ИК устанавливается до окончания срока действия основного свидетельства о поверке на СИКН.
-
7.4 При отрицательных результатах поверки выписывают извещение о непригодности в соответствии с установленным порядком.
Приложение А (рекомендуемое)
Форма протокола поверки
ПРОТОКОЛ ПОВЕРКИ №___________
Стр. _ из
Наименование, тип средства измерений:_______________________________________
Изготовитель:__________________________________________________________________
Заводской номер:____________________________________________________________
Владелец:_____________________________________________________________________
Наименование и адрес заказчика:________________________________________________
Методика поверки:___________________________________________________________
Место проведения поверки:___________________________________________________
Поверка выполнена с применением:__________________________________________
РЕЗУЛЬТАТЫ ПОВЕРКИ
А. 1. Внешний осмотр:_____________________________________________________________________________(соответствует/не соответствует 6.1)
А.2. Подтверждение соответствия ПО: ____________________________________________________________ (соответствует/не соответствует 6.2)
А.З. Опробование:___________(соответствуст/не соответствует 6.3)
А.4. Определение (контроль) метрологических характеристик
А.4.1 Проверка результатов поверки СИ (измерительных компонентов), входящих в состав СИКН
СИ (измерительные компоненты), входящих в состав СИКН, действующие знаки поверки и (или) свидетельства о поверки, и (или) запись в паспортах (формулярах) _____________________(имеют/ не имеют)
А.4.2 Определение метрологических характеристик И К
А.4.2.1 Протокол определения метрологических характеристик ИК объема и объемного расхода (заполняется для каждого рабочего ИК, а также контрольнорезервного ИК, при применяемого в качестве резервного)
ПР: |
Тип |
Зав. № |
Линия № |
ПУ: |
Тип |
Зав. № | |
ИВК: |
Тип |
Зав. № |
Рабочая жидкость____________ Вязкость, мм2/с, ________
Таблица 1 - Исходные данные
Детекторы |
Vo, м3 |
D, мм |
S, мм |
Е, МПа |
at, 1/°С |
% |
©Vo, % |
Atrry. °C |
1 |
2 |
3 |
4 |
5 |
6 |
7 |
8 |
9 |
Окончание таблицы 1
°C |
Бивк, % |
Av, мм'/с |
10 |
11 |
12 |
Таблица 2 - Результаты измерений и вычислений
№ точ / № изм |
Qjb м3/ч |
Детекторы |
Tji, с |
tnyji, °C |
Pnyjb МПа |
praiji, кг/м3 |
tnnji, °C |
PlUIji, МПа |
1 |
2 |
3 |
4 |
5 |
6 |
7 |
8 |
9 |
1/1 | ||||||||
1/п, | ||||||||
т/1 | ||||||||
П1/пп, |
Окончание таблицы 2
№ точ./ № изм. |
Pji* 1/°С |
Vji, мм2/с |
tnPji» °C |
PnPji» МПа |
fji» Гц |
Nji, ими |
Kjj, имп/м3 |
1 |
10 |
11 |
12 |
13 |
14 |
15 |
16 |
1/1 | |||||||
1/П| |
Таблица 3 - Результаты вычислений в точках рабочего диапазона
№ точ. |
Qi. м3/ч |
fj. Гц |
Kj имп/м3 |
Sj. % |
nj |
Sq, % |
t0.95j |
Ej. % |
1 |
2 |
3 |
4 |
5 |
6 |
7 |
8 |
9 |
1 | ||||||||
... |
... |
... |
... |
... |
... |
... | ||
m |
Таблица 4 - Результаты вычислений в рабочем диапазоне
Qmin, м3/ч |
Qmax, м3/ч |
Vmin, мм2/с |
vmax, мм2/с |
So, % |
e, % |
®A, % |
©t, % |
©£» % |
5, % |
1 |
2 |
3 |
4 |
5 |
6 |
7 |
8 |
9 |
10 |
Относительная погрешность ИК установленным в соответствии с 6.4.2 пределам____________________________________(соответствуст/нс соответствует)
Примечания
-
1 Столбец 12 таблицы 1 заполняют при наличии значения Av.
-
2 При отсутствии поточного влагомера столбец 11 таблицы 2 нс заполняют.
А.4.2.2 Протокол определения метрологических характеристик ИК объема и объемного расхода (заполняется для контрольно-резервного ИК, применяемого в качестве контрольного)
ПР : Тип________ Зав. № __________ Линия №___________
ПУ: Тип________ Зав. № __________
ИВК: Тип________ Зав. № __________
Рабочая жидкость____________ Вязкость, мм2/с, ________
Таблица 1 - Исходные данные
Детекторы |
Vo, m3 |
D, MM |
s, MM |
E, Mila |
at, 1/°C |
©Io, % |
©Vo, % |
Atny, °C |
1 |
2 |
3 |
4 |
5 |
6 |
7 |
8 |
9 |
Окончание таблицы 1
Atnp, °C |
бивк, % |
Av, мм2/с |
10 |
11 |
12 |
Таблица 2 - Результаты измерений и вычислений
№ точ / № изм |
Qib м3/ч |
Детекторы |
Ь, с |
tnyji. °C |
Pnyji, МПа |
pimji, кг/м3 |
tnnji. °C |
Pnnji, МПа |
1 |
2 |
3 |
4 |
5 |
6 |
7 |
8 |
9 |
1/1 | ||||||||
1/п, | ||||||||
П1/1 | ||||||||
П1/п„, |
Окончание таблицы 2
№ точ./ № изм. |
Pji. 1/°С |
Vji, мм2/с |
tnpji, °C |
Pnpji. МПа |
fjb Гц |
Nh, имп |
Kjt. имп/м3 |
1 |
10 |
11 |
12 |
13 |
14 |
15 |
16 |
1/1 | |||||||
1/П| | |||||||
т/1 | |||||||
П1/п,п |
Стр. _ из
Приложение А (окончание)
Стр. _ из
Таблица 3 - Результаты вычислений в точках рабочего диапазона
№ точ. |
Qi. м3/ч |
fj. Гц |
Kj, имп/м3 |
Vmin» мм2/с |
'’max» мм2/с |
Sj, % |
nj |
So,. % |
1 |
2 |
3 |
4 |
5 |
6 |
7 |
8 |
9 |
1 | ||||||||
• •• |
... |
... |
... |
... |
... |
... | ||
in |
Окончание таблицы 3
№ точ. |
tO.95j |
Cj. % |
©b % |
©i, % |
% |
1 |
10 |
11 |
12 |
13 |
14 |
1 | |||||
... |
... |
... |
... | ||
m |
Метрологические характеристики ИК установленным в соответствии с 6.4.2 пределам______________________________(соотвстствуст/не соответствует)
Примечания
-
1 Столбец 12 таблицы 1 заполняют при наличии значения Av.
-
2 При отсутствии поточного влагомера столбец 11 таблицы 2 не заполняют.
А.4.3 Определение относительной погрешности измерений массы брутто и нетто нефти СИКН
Относительная погрешность измерений массы брутто нефти СИКН установленным в соответствии с 6.4.3.1 пределам___________________(соответствуст/не соответствует)
Относительная погрешность измерений массы нетто нефти СИКН установленным в соответствии с 6.4.3.2 пределам ____________________(соответствует/не соответствует)
должность лица, проводившего поверку
подпись
ФИО.
Дата поверки
Приложение Б
(обязательное)
Определение метрологических характеристик ИК
Для определения метрологических характеристик ИК проводят измерения не менее чем в трёх точках рабочего диапазона измерений объемного расхода. Значения объемного расхода (точки рабочего диапазона) рекомендуется выбирать с интервалом не более 20 % от максимального значения объемного расхода ПР. В каждой точке рабочего диапазона измерений объемного расхода проводят не менее:
-
- пяти измерений для рабочего ПР (ИК №№ 1-3);
-
- семи измерений для контрольного ПР (ИК № 4).
Требуемые значения расхода устанавливают, начиная от минимального, в сторону увеличения или от максимального в сторону уменьшения.
Определение коэффициента преобразования.
Для определения коэффициента преобразования устанавливают выбранное значение объемного расхода по показаниям ПР и проводят предварительное измерение для уточнения значения установленного объемного расхода.
Запускают поршень ПУ. При срабатывании второго детектора регистрируют время между срабатываниями первого и второго детекторов, количество импульсов выходного сигнала ПР.
Объемный расход нефти через ПР вычисляют по формуле (Б.8).
При необходимости проводят корректировку значения объемного расхода регулятором расхода или запорной арматурой.
После стабилизации объемного расхода и температуры нефти в соответствии с Б.1 проводят необходимое количество измерений.
Запускают поршень ПУ. При срабатывании первого детектора ИВК начинает отсчет импульсов выходного сигнала ПР и времени, при срабатывании второго детектора - заканчивает.
Если количество импульсов выходного сигнала ПР за время между срабатываниями детекторов ПУ меньше 10000, то ИВК должен определять количество импульсов с долями.
Для определения средних значений за время измерения ИВК периодически фиксирует значения следующих параметров:
-
- температуры нефти на входе и выходе ПУ;
-
- давления нефти на входе и выходе ПУ;
-
- температуры нефти в ПР;
-
- давления нефти в ПР;
-
- плотность нефти, измеренную ПП (при наличии);
-
- температуру нефти в ПП;
-
- давление нефти в ПП;
-
- кинематическую вязкость нефти, измеренную ПВ (при наличии).
При использовании термометров и манометров с визуальным отсчетом допускается фиксировать температуру и давление один раз за время измерения.
Для двунаправленной ПУ за одно измерение принимают движение поршня в прямом и обратном направлении, количество импульсов и время прохождения поршня в прямом и обратном направлениях суммируют.
Результаты измерений заносят в протокол поверки СИКН (Приложение А).
При заполнении протокола полученные результаты измерений и вычислений округляют в соответствии с таблицей Б. 1.
Таблица Б. 1
Параметр |
Единица измерения |
Количество цифр после запятой |
Количество значащих цифр, не менее |
Объем |
м3 |
- |
6 |
Температура |
°C |
2 |
- |
Давление |
МПа |
2 |
- |
Плотность |
кг/м3 |
1 |
- |
Кинематическая вязкость |
мм2/с |
1 |
- |
Количество импульсов |
имп |
- |
5 |
Интервал времени |
с |
2 |
- |
Погрешность, СКО |
% |
3 |
- |
Коэффициент преобразования |
имп/м3 |
- |
5 |
Коэффициент объемного расширения |
1/°С |
6 |
- |
Примечание - Если количество цифр в целой части числа больше рекомендованного количества значащих цифр, то число округляют до целого.
Обработка результатов измерений
Алгоритм определения метрологических характеристик ИК соответствует алгоритму, приведенному в МИ 3287-2010 «ГСИ. Преобразователи объемного расхода. Методика поверки».
Объем нефти, прошедшей через ПР за время i-ro измерения в j-ой точке рабочего диапазона измерений объемного расхода, Vjj, м3, вычисляют по формулам
(Б.2)
CTI • ОРТ
VzlJ^nyji vrbnyji
CTI • СРТ
^lljnPji ^rLTIPji

Ргту jj • D
CPSH =1 + 0,95—2^— J1 ES
(Б.З)


^BxITyji + ^Buxnyji
2
(Б.5)
P +P
П _ 1Bxnyji ^Buxnyji ZT,
rnyji— 2 ’
где Vo - вместимость калиброванного участка ПУ при стандартных условиях (to = 20°С и Р = 0 МПа) (берут из действующего свидетельства о поверке ПУ), м3;
CTSjj - коэффициент, учитывающий влияние температуры на вместимость ПУ, для i-ro измерения в j-ой точке рабочего диапазона измерений объемного расхода;
CPSji - коэффициент, учитывающий влияние давления на вместимость ПУ, для i-ro измерения в j-ой точке рабочего диапазона измерений объемного расхода;
CTLnyji - коэффициент, учитывающий влияние температуры на объем нефти, определенный для температуры нефти в ПУ для i-ro измерения в j-ой точке рабочего диапазона измерений объемного расхода (вычисляют по приложению Б.1);
CPLnyji - коэффициент, учитывающий влияние давления на объем нефти, определенный для давления нефти в ПУ для i-ro измерения в j-ой точке рабочего диапазона измерений объемного расхода (вычисляют по приложению Б.1);
CTLnpji - коэффициент, учитывающий влияние температуры на объем нефти, определенный для температуры нефти в ПР для i-ro измерения в j-ой точке рабочего диапазона измерений объемного расхода (вычисляют по приложению Б.1);
CPLnpji - коэффициент, учитывающий влияние давления на объем нефти, определенный для давления нефти в ПР для i-ro измерения в j-ой точке рабочего диапазона измерений объемного расхода (вычисляют по приложению Б.1);
оц - коэффициент линейного расширения материала стенок калиброванного участка ПУ (согласно технической документации ПУ или определяют по таблице Б.3.1 приложения Б.З), 1/°С;
tnyji - температура нефти в ПУ за время i-ro измерения в j-ой точке рабочего диапазона измерений объемного расхода, °C;
*Bxnyji, tBuxnyji - температура нефти на входе и выходе ПУ за время i-ro измерения в j-ой точке рабочего диапазона измерений объемного расхода, °C;
Pnyji - давление нефти в ПУ за время i-ro измерения в j-ой точке рабочего диапазона измерений объемного расхода, МПа;
РвхПУр, Рвыхпу]| - давление нефти на входе и выходе ПУ за время i-ro измерения в j-ой точке рабочего диапазона измерений объемного расхода, МПа;
D - внутренний диаметр калиброванного участка ПУ (согласно технической документации ПУ), мм;
S - толщина стенок калиброванного участка ПУ (согласно технической документации ПУ), мм;
Е - модуль упругости материала стенок калиброванного участка ПУ (согласно технической документации ПУ или определяют по таблице Б.3.1 приложения Б.З), МПа.
Объемный расход нефти через ПР за время i-ro измерения в j-ой точке рабочего диапазона измерений объемного расхода, Qj;, м3/ч, вычисляют по формуле
Qji=^.3600, (Б.7)
Aji
где Vjj - объем нефти, прошедшей через ПР за время i-ro измерения в j-ой точке рабочего диапазона измерений объемного расхода, м3;
Tjj - время i-ro измерения в j-ой точке рабочего диапазона измерений объемного расхода, с.
Объемный расход нефти через ПР в j-ой точке рабочего диапазона измерений объемного расхода, Qj, м3/ч, вычисляют по формуле

Qj =—---, (Б.8)
ni
где nj- количество измерений в j-ой точке рабочего диапазона измерений объемного расхода. Нижний и верхний предел рабочего диапазона измерений объемного расхода Qmin, Qmax, м3/ч, вычисляют по формулам
Qm»=min(Qj). (Б-9)
Qmax=max(Qj). (Б.10)
Частоту выходного сигнала ПР для i-ro измерения в j-ой точке рабочего диапазона измерений объемного расхода, fjj, Гц, вычисляют по формуле
N-
(Б.11)
где Njj - количество импульсов от ПР за время i-ro измерения в j-ой точке рабочего диапазона измерений объемного расхода, имп.
Частоту выходного сигнала ПР в j-ой точке рабочего диапазона измерений объемного расхода, fj, Гц, вычисляют по формуле
п)
Г = -^—. (Б.12)
nJ
Коэффициент преобразования ПР для i-ro измерения в j-ой точке рабочего диапазона измерений объемного расхода, К3„ имп/м3, вычисляют по формуле
NH
Кл=тЛ. (Ь13)
Vji
Коэффициент преобразования ПР в j-ой точке рабочего диапазона измерений объемного расхода, Kj, имп/м3, вычисляют по формуле

(Б. 14)
Среднее значение кинематической вязкости нефти за время поверки, v, мм2/с вычисляют по формуле
m nj
ЕЕ*,>1 i°l
m
E-bj“l
при наличии ПВ
(Б. 15)
vh+vk
2
при отсутствии ПВ
где Vjj - кинематическая вязкость нефти для i-ro измерения в j-ой точке рабочего диапазона измерений объемного расхода, мм2/с;
m - количество точек расхода;
vH, vK - кинематическая вязкость нефти, определенная в испытательной лаборатории в начале и в конце поверки, мм2/с.
Нижний и верхний предел рабочего диапазона кинематической вязкости нефти vmin, vmax, мм2/с вычисляют по формулам
vmin=v-Av, (Б.16)
Vmix=V + Av> (Б.17)
где v - среднее значение кинематической вязкости нефти за время определения метрологических характеристик ПК, мм2/с;
Av - допускаемый предел изменения кинематической вязкости нефти, установленный для данного типа ПР (берут из описания типа или технической и нормативной документации), мм2/с.
Примечание - При vmin < 0 принимают vmin = 0.
Оценка СКО результатов измерений.
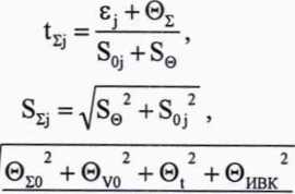
СКО результатов измерений в j-ой точке рабочего диапазона измерений объемного расхода, Sj, %, вычисляют по формуле

Проверяют выполнение следующего условия
Sj < 0,02%.
(Б. 18)
(Б.19)
При выполнении условия (Б.19) продолжают обработку результатов измерений.
При невыполнении данного условия выявляют наличие промахов в полученных результатах измерений, согласно приложению Б.2 настоящей инструкции. Выявленный промах исключают и проводят дополнительное измерение. При отсутствии промахов выясняют и устраняют причины, обуславливающие невыполнение данного условия и повторно проводят измерения.
При повторном невыполнении данного условия поверку прекращают.
Границу неисключенной систематической погрешности ИК, 0у, %, вычисляют по формулам вместимости ПУ (берут из свидетельства о поверки ПУ), %;

для ИК№1-3
для ИК № 4
(Б.20)
0А = max 0,5-
<
■ЮО'-yAtqy + At рр .
Рт» =тах(рД
А =8
WIIBK иивк’
Kj-Krl
•100 ,
где 0го - граница суммарной неисключенной систематической свидетельства о поверке ПУ), %;
0vo - граница неисключенной систематической погрешности
(Б.21)
(Б.22)
(Б.23)
(Б.24)
погрешности ПУ (берут из
определения среднего значения
0t - граница неисключенной систематической погрешности, обусловленной погрешностью преобразователей температуры при измерениях температуры нефти в ПУ и ПР, %;
©ивк - граница неисключенной систематической погрешности, обусловленной погрешностью
ИВК, %;
0А - граница неисключенной систематической погрешности, обусловленной кусочно-линейной аппроксимацией градуировочной характеристики ПР в рабочем диапазоне измерений объемного расхода, %;
§ивк - предел допускаемой относительной погрешности преобразования входных электрических сигналов в значение коэффициента преобразования ИВК (берут из свидетельства или протокола поверки ИВК), %;
Ртах _ максимальное значение коэффициента объемного расширения нефти за время поверки, 1/°С;
Pji - коэффициент объемного расширения нефти при температуре tnyji для i-ro измерения в j-ой точке рабочего диапазона измерений объемного расхода (вычисляют по формуле (Б. 1.6) приложения Б.1), 1/°С;
Atny - предел допускаемой абсолютной погрешности датчиков температуры, установленных в ПУ (берут из свидетельства о поверке датчика температуры), °C;
Atnp - предел допускаемой абсолютной погрешности датчика температуры, установленного около ПР (берут из свидетельства о поверке датчика температуры), °C;
Kj, Kj+| - коэффициенты преобразования ПР в j-ой и (j+l)-ofi точках рабочего диапазона измерений объемного расхода, имп/м3.
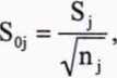
СКО среднего значения результатов измерений в j-ой точке рабочего диапазона измерений объемного расхода, SOj, %, вычисляют по формуле

(Б.25)
Границу случайной погрешности ИК в j-ой точке рабочего диапазона измерений объемного расхода при доверительной вероятности Р=0,95, Ej, %, вычисляют по формуле
E = max(ej), (Б.26)


(Б.27)
где to,95j - квантиль распределения Стьюдента для количества измерений nj в j-ой точке рабочего диапазона измерений объемного расхода (определяют по таблице Б.3.2 приложения Б.З).
СКО среднего значения результатов измерений в рабочем диапазоне измерений объемного расхода So принимают равным значению СКО среднего значения результатов измерений Soj в точке рабочего диапазона измерений объемного расхода с максимальным значением границы случайной погрешности Ej.
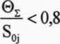
Границу относительной погрешности рабочего ИК (ИК № 1-3) в рабочем диапазоне измерений объемного расхода 5, %, определяют по формулам
8 если


если 0,8 < — < 8
°о
(Б.28)
0V | ||
если |
-=^>8 So |
(Б.29)
So + S0

(Б.ЗО)
(Б.31)
где tj - коэффициент, зависящий от соотношения случайной и неисключенной систематической погрешностей;
Приложение Б (окончание)
Sv - суммарное СКО результатов измерений в рабочем диапазоне измерений объемного расхода, %;
S0 - СКО суммы неисключенных систематических погрешностей, %.
Проверяют выполнение условия
£<0,15%.
(Б.32)
Если условие (Б.32) не выполняется, то рекомендуется:
-
- увеличить количество точек в рабочем диапазоне измерений объемного расхода;
-
- увеличить количество измерений в точках рабочего диапазона измерений объемного расхода;
-
- уменьшить рабочий диапазон измерений объемного расхода.
Проводят повторную проверку выполнения условия (Б.32). При повторном невыполнении условия (Б.32) поверку прекращают.
Границу относительной погрешности контрольного ИК (ИК № 4) в j-ой точке рабочего диапазона измерений объемного расхода, 5j, %, определяют по формулам


если

если 0,8 < < 8
Soj
(Б.33)
если



(Б.34) (Б.35) (Б.36)
где tq - коэффициент, зависящий от соотношения случайной и неисключенной систематической погрешностей;
Szj - суммарное СКО результатов измерений в j-ой точке рабочего диапазона измерений объемного расхода, %;
S© - СКО суммы неисключенных систематических погрешностей, %.
Проверяют выполнение условия
£у <0,10%.
(Б.37)
Если условие (Б.37) не выполняется, то рекомендуется увеличить количество измерений в точках рабочего диапазона измерений объемного расхода.
Проводят повторную проверку выполнения условия (Б.37). При повторном невыполнении условия (Б.37) поверку прекращают.
Приложение Б.1 (справочное)
Б. 1.1 Определение коэффициента CTL
Значение коэффициента CTL, учитывающего влияние температуры на объем нефти (при t = 15 °C и Р = 0 МПа) определяют по формулам

613,9723
(Б.1.1)
Pis2
(Б. 1.2)
At=t-15,
(Б. 1.3)
где dis - значение коэффициента объемного расширения нефти при t = 15°СиР = 0 МПа, 1/°С;
Pi 5 - значение плотности нефти при t = 15°СиР = 0 МПа, кг/м3;
t - значение температуры нефти, °C.
Б. 1.2 Определение коэффициента CPL
Значение коэффициента CPL, учитывающего влияние давления на объем нефти
(при t=15°CHP = 0 МПа) определяют по формулам

(Б. 1.4)
0.87096-106 4.2092 • 103 •t'l
--------------------------------1--
b = 10’4 ■ exp -1.62080 + 0.00021592 • t + 2-.8709^10 +1 \ Р15
2
Р15
2
Р15
(Б.1.5)
где
Р - значение избыточного давления нефти, МПа;
10 - коэффициент перевода единиц измерения давления МПа в бар.
Б. 1.3 Определение коэффициента 0
Значение коэффициента объемного расширения нефти, 0, 1/°С:
р = а|5 + 1.6 а152 (t-15).
(Б. 1.6)
Б. 1.4 Определение плотности р)5
Значение плотности нефти при t = 15 °C и Р = 0 МПа, р15, кг/м3 определяют по формуле где рпп - значение плотности нефти в ПП, кг/м3;
CTLnn - коэффициент, учитывающий влияние температуры на объем нефти, определенный для tnn и pis;
CPLnn - коэффициент, учитывающий влияние давления на объем нефти, определенный для tnn» Рпп и Р15-
Для определения pi5 необходимо определить значения CTLnn и CPLnn, а для определения CTLnn и CPLnn, в свою очередь, необходимо определить значение плотности при стандартных условиях р15. Поэтому значение pi5 определяют методом последовательного приближения.
-
1) Определяют значения CTLnn(i) и CPLnn(i), принимая значение pi5 равным значению рпп-
-
2) Определяют значения Pi5(i), кг/м3:
(Б.1.8)
Приложение Б.1 (окончание)
-
3) Определяют значения СТЬпп(2) и CPLnn(2), принимая значение р!5 равным значению Pi5(i)-
-
4) Определяют значение pi5(2)> кг/м3:
Р15(2) ~
_______Рпп_______
СТЬпп(2) ’СРЬдщг)
(Б. 1.9)
-
5) Аналогично пунктам (3) и (4), определяют значения СТЬпгцо, CPLnn(i) и Pi5(i) для i-ro цикла вычислений и проверяют выполнение условия:
|pl5(i) “ P15(i-I)| “ 0,001 , (Б.1.10)
где pi5(i), Pi5(i-i) - значения pi5, определенные, соответственно, за последний и предпоследний цикл вычислений, кг/м3.
Процесс вычислений продолжают до выполнения данного условия. За значение р^ принимают последнее значение Р15(о-
Приложение Б.2 (справочное)
Методика анализа результатов измерений на наличие промахов
Проверка результатов измерений на один промах по критерию Граббса при определении метрологических характеристик.
СКО результатов измерений в j-ой точке рабочего диапазона измерений расхода, SKj определяют по формуле
®j
Ж-к,)2
(Б.2.1)
I “j"1
где Kj - значение коэффициента преобразования в j-ой точке рабочего диапазона измерений объемного расхода, имп/м3;
Kjj - значение коэффициента преобразования для i-ro измерения в j-ой точке рабочего диапазона измерений объемного расхода, имп/м3;
nj - количество измерений в j-ой точке рабочего диапазона измерений объемного расхода.
Примечание - При SKj < 0,001 принимают SKj = 0,001.
Наиболее выделяющееся соотношение U:
U = max

(Б.2.2)
значения для
Если значение U больше или равно значению h, взятому из таблицы Б.2.1, то результат измерения должен быть исключен как промах.
Таблиц а Б.2.1
п |
5 |
6 |
7 |
8 |
9 |
10 |
И |
12 |
h |
1,715 |
1,887 |
2,020 |
2,126 |
2,215 |
2,290 |
2,355 |
2,412 |
Приложение Б.З (справочное)
Справочные материалы
Б.З. 1 Коэффициенты расширения и модули упругости
Значения коэффициентов линейного расширения, квадратичных коэффициентов расширения и модули упругости материалов стенок калиброванного участка ПУ, в зависимости от материала приведены в таблице Б.3.1.
Таблица Б.3.1
Материал |
аь 1/°С |
Е, МПа |
Сталь углеродистая |
1,12 х Ю’5 |
2,07 х Ю5 |
Сталь нержавеющая 304 |
1,73 х 10'5 |
1,93 х 105 |
Сталь нержавеющая 316 |
1,59 х Ю'5 |
1,93 х 10s |
Сталь нержавеющая 17-4 |
1,08 х Ю 5 |
1,97 х Ю5 |
Б.3.2 Квантиль распределения Стьюдента
Значения квантиля распределения Стьюдента toi95 при доверительной вероятности Р = 0,95 в зависимости от количества измерений приведены в таблице Б.З.2.
Таблица Б.3.2
п-1 |
1 |
2 |
3 |
4 |
5 |
6 |
7 |
8 |
9 |
10 |
11 |
12 |
Й),95 |
12,706 |
4,303 |
3,182 |
2,776 |
2,571 |
2,447 |
2,365 |
2,306 |
2,262 |
2,228 |
2,201 |
2,179 |
25