Методика поверки «ГСИ.Счетчики электрической энергии однофазные многофункциональные серии РиМ 189» (ВНКЛ.411152.088 ДИ)
СОГЛАСОВАНО
Директор
ФБУ «Томский ЦСМ»

Государственная система обеспечения единства измерений
Счетчики электрической энергии однофазные многофункциональные серии РиМ 189
МЕТОДИКА ПОВЕРКИ с изменением № 3
ВНКЛ.411152.088 ДИ
Новосибирск
Содержание
ПРИЛОЖЕНИЕ А. Форма протокола поверки
ПРИЛОЖЕНИЕ Б. Схемы включения счетчиков
ПРИЛОЖЕНИЕ В. Порядок работы с программой Setting_dlms.exe
ПРИЛОЖЕНИЕ Г. Схемы расположения индикаторов и контактов счетчика
ПРИЛОЖЕНИЕ Д. Разграничение прав доступа к информации в счетчиках
ПРИЛОЖЕНИЕ Е. Основные технические характеристики исполнений счетчиков
ПРИЛОЖЕНИЕ Ж Перечень обозначений и сокращений, используемых в документе
ПРИЛОЖЕНИЕ 3. Методика выборочной первичной поверки
Настоящая методика поверки распространяется на счетчики электрической энергии однофазные многофункциональные серии РиМ 189 (далее - счетчики).
Счетчики выпускаются в следующих исполнениях:
-
- РиМ 189.21, РиМ 189.22, РиМ 189.23, РиМ 189.24, РиМ 189.25, РиМ 189.26. РиМ 189.27, РиМ 189.28 (далее РиМ 189.2Х);
-
- РиМ 189.21-01, РиМ 189.22-01, РиМ 189.23-01, РиМ 189.24-01, (далее РиМ 189.2Х-01). Данный документ устанавливает методику первичной / периодической поверки счетчиков. (Измененная редакция, Изм. №1).
Межповерочный интервал - 16 лет.
Не допускается проведение поверки отдельных измерительных каналов и (или) отдельных автономных блоков из состава счетчика.
(Измененная редакция, Изм. №2).
1 Операции поверки-
1.1 При проведении поверки счетчиков должны быть выполнены операции, указанные в таблице 1.
Таблица 1 - Операции поверки
Наименование операции |
Номер пункта методики |
Наименование эталонных и вспомогательных средств поверки |
1 Внешний осмотр |
6.1 |
Не используются |
2 Испытание изоляции счетчика напряжением переменного тока |
6.2 |
Универсальная пробойная установка УПУ-1М: испытательное напряжение до 10 кВ. Погрешность установки напряжения не более 10% |
3 Опробование счетчика: а) идентификация программного обеспечения; б) опробование интерфейса RF868; в) проверка счетного механизма; г) проверка приемника сигналов глобальных навигационных спутниковых систем (ГНСС); д) опробование ЧРВ; е) опробование УКН; ж) опробование ИСК !); з) опробование оптопорта; и) опробование и проверка работы ТМА, ТМР. |
6.3.1
|
Установка УППУ-МЭ 3.1К. Номинальное напряжение 57,7/220 / 380 В, ток 0.01 - 1(Х) А. класс точности 0,05 Номер в Федеральном информационном фонде по обеспечению единства измерений 39138-08 (далее -поверочная установка) ПК (в составе МТ); Программа - конфигуратор; Конвертор USB-RF868; Устройство сопряжения оптическое УСО-2; Устройство проверки ИСК ВНКЛ.411724.281-03 Антенна GPS/GLONASS АМТ- GPS/GLONASS-33 с переизлучателем ВНКЛ.426487.042 (далее -антенна с переизлучателем) Конвертор для связи с коммуникатором (для проверки ИСК, в зависимости от типа коммуникатора) |
4 Проверка стартового тока |
6.4 |
Установка УППУ-МЭ 3.1К; ПК (в составе МТ); Программа - конфигуратор; Конвертор USB-RF868 |
5 Проверка отсутствия самохода |
6.5 |
Установка УППУ-МЭ3.1К; Секундомер СОС пр. Госреестр № 2231-72 ПК (в составе МТ); Программа - конфигуратор; Конвертор USB-RF868 |
6 Проверка допускаемой основной погрешности, вызываемой изменением тока, при измерении активной и реактивной энергии |
6.6 |
Установка УППУ-МЭ3.1К; ПК (в составе МТ); Программа - конфигуратор; Конвертор USB-RF868 |
Продолжение таблицы 1
Наименование операции |
Номер пункта методики |
Наименование эталонных и вспомогательных средств поверки |
7 Проверка допускаемой основной погрешности, вызываемой изменением тока, при измерении активной и реактивной мощности с периодом интегрирования 1 с (текущей активной и реактивной мощности) |
6.7 |
Установка УППУ-МЭ3.1К. ПК (в составе МТ); Программа - конфигуратор; Конвертор USB-RF868 |
8 Проверка допускаемой относительной погрешности при измерении среднеквадратического значения тока фазного провода и среднеквадратического значения тока нулевого провода (в зависимости от исполнения, см. приложение Е) |
6.8 |
Установка УППУ-МЭ3.1К. ПК (в составе МТ); Программа - конфигуратор; Конвертор USB-RF868 |
9 Проверка допускаемой относительной погрешности при измерении среднеквадратического значения фазного напряжения |
6.9 |
Установка УППУ-МЭ3.1К. ПК (в составе МТ); Программа - конфигуратор; Конвертор USB-RF868 |
10 Проверка допускаемой абсолютной погрешности при измерении частоты сети |
6.10 |
Установка УППУ-МЭ3.1К. ПК (в составе МТ); Программа - конфигуратор; Конвертор USB-RF868 |
И Проверка допускаемой абсолютной погрешности при определении показателей качества электроэнергии: -установившееся отклонение напряжения основной частоты 6Uy; -отрицательное 5U<-) и положительное 5U(+) отклонения напряжения, -отклонение частоты ДЕ |
6.11 |
Не используются |
12 Замена резервного элемента питания ЧРВ2) |
6.12 |
Элемент питания: 1200 мА*ч, 3,6 В ER14250-CB-LD/ или аналогичный |
13 Проверка функционирования счетчика после замены резервного элемента питания ЧРВ 2) |
6.13 |
Установка УППУ-МЭ3.1К. ПК (в составе МТ); Программа - конфигуратор; Конвертор USB-RF868 |
14 Проверка состояния ЭПл, ЭПлК1^ ДПМП |
6.14 |
Установка УГ1ПУ-МЭ3.1К. ПК (в составе МТ); Программа - конфигуратор; Конвертор USB-RF868 |
15 Проверка допускаемой относительной погрешности при определении коэффициента реактивной мощности tg ср |
6.15 |
Не используются |
1 ’ Для счетчиков РиМ 189.2Х. 2) При первичной поверке не проводится. |
Таблица 1 (Измененная редакция, Изм. №1, Изм. №2, Изм. №3)
-
1.2 Поверка должна быть прекращена после выполнения любой операции, в результате которой получены отрицательные результаты.
-
1.3 Допускается проведение поверки счетчиков с применением эталонных и вспомогательных средств поверки, не указанных в таблице 1, но обеспечивающих контроль метрологических характеристик поверяемых счетчиков с требуемой точностью.
-
1.4 Проведение первичной поверки счетчиков при выпуске из производства выполняют на основании выборки в соответствии с приказом Минпромторга России № 1815 в действующей редакции.
(Измененная редакция, Изм. №2)
2 Требования к квалификации поверителейК проведению поверки допускаются лица изучившие:
-
- эксплуатационную документацию на счетчики;
-
- эксплуатационную документацию на эталонные и вспомогательные средства поверки, указанные в таблице 1.
К работе должны допускаться поверители, имеющие группу по электробезопасности не ниже 3.
(Измененная редакция, Изм. №3)
3 Требование безопасности-
3.1 Помещение для проведения поверки и размещения поверочного оборудования должно соответствовать правилам техники безопасности и производственной санитарии.
-
3.2 При проведении поверки должны соблюдаться правила и требования, предусмотренные действующими «Правилами технической эксплуатации электроустановок потребителей» и «Правилами по охране труда при эксплуатации электроустановок», а также требования безопасности, изложенные в эксплуатационной документации на поверочную установку.
При проведении поверки необходимо соблюдать следующие нормальные условия:
-
- температура окружающей среды
(23 ± 5)° С; от 30 до 80 %;
(Измененная редакция, Изм. №2)
-
- относительная влажность
-
- атмосферное давление
-
- напряжение электропитания
-
- частота электропитания
-
от 70 до 106,7 кПа (от 630 до 800 мм рт.сг.); (230 ± 2.3) В;
(50 ±0,15) Гц;
- форма кривой, коэффициент искажения, менее 2 %.
-
5.1 Перед проведением поверки счетчик должен быть выдержан при нормальной температуре в течение двух часов.
-
5.2 На первичную поверку должны предъявляться счетчики, принятые отделом технического контроля предприятия - изготовителя или уполномоченными на то представителями организации, проводившей ремонт.
-
5.3 При подготовке к поверке необходимо:
-
- проверить соответствие условий поверки требованиям раздела 4;
-
- подготовить к работе эталонные и вспомогательные средства поверки (см. таблицу 1) в соответствии с эксплуатационной документацией;
-
- проверить наличие действующих свидетельств о поверке на применяемые средства поверки;
-
- выполнить прогрев счетчика (не менее 5 мин).
-
6 Проведение поверки
При проведении внешнего осмотра должно быть установлено соответствие счетчика следующим требованиям:
-
6.1.1 В паспорте счетчика должна стоять отметка о приемке ОТК.
-
6.1.2 Поверхности корпуса счетчика (см. приложение Г) не должны иметь механических повреждений.
-
6.1.3 Надписи и обозначения на шильдиках счетчика должны быть четкими и ясными.
-
6.1.4 Провода не должны иметь повреждений, кроме технологических проколов изоляции на расстоянии не более 10 мм от конца провода.
Результат внешнего осмотра считают положительным, если выполнены требования пп. 6.1.1 -6.1.4.
6.2 Испытание изоляции счетчика напряжением переменного тока-
6.2.1 Испытание изоляции счетчиков в корпусе «тип 1» и «тип IV»
Испытательное напряжение переменного тока 4 кВ должно быть приложено в течение 1 мин между контактами «1», «2», «N» счетчика, соединенными вместе, и «землей» (у исполнений счетчиков, не оснащенных УКН, контакт «1» отсутствует).
В качестве «земли» используется специально наложенная на корпус счетчика фольга, касающаяся всех доступных частей корпуса счетчика и присоединенная к плоской проводящей поверхности, на которой расположен счетчик. Фольга должна находиться от контактов и от отверстий для проводов на расстоянии не более 20 мм.
Результат испытания считают положительным, если во время испытания не было искрения, пробивного разряда или пробоя.
-
6.2.2 Испытание изоляции счетчиков в корпусе «тип III»
Испытательное напряжение переменного тока 4 кВ должно быть приложено в течение 1 мин между контактами «1», «2» корпуса счетчика, контакта «2» корпуса с ДДТ (или коммуникатором, или другим устройством), соединенными вместе, и «землей» (у исполнений счетчиков, не оснащенных УКН, контакт «1» отсутствует).
В качестве «земли» используется специально наложенная на корпус счетчика фольга, касающаяся всех доступных частей корпуса счетчика (включая ДДТ), и присоединенная к плоской проводящей поверхности, на которой расположен счетчик. Фольга должна находиться от контактов и от отверстий для проводов на расстоянии не более 20 мм.
Результат испытания считают положительным, если во время испытания не было искрения, пробивного разряда или пробоя.
Расположение контактов счетчиков приведено в приложении Г.
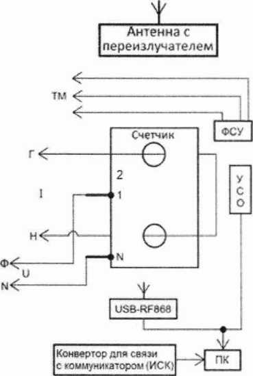
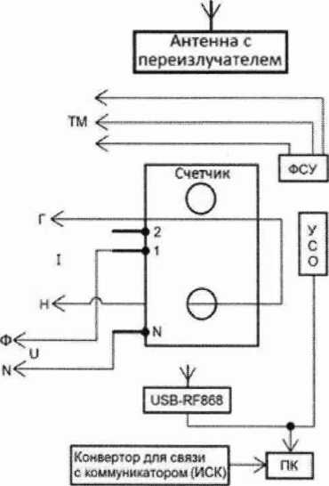
6.3 Опробование счетчикаДля проведения опробования и проверки требований точности, стартового тока и отсутствия самохода подключить счетчик к поверочной установке в соответствии со схемами подключения (см. приложение Б) и эксплуатационной документацией на поверочную установку.
На схемах обозначено: Г, Н - сторона генератора и сторона нагрузки при подключении токовых цепей (I) поверочной установки, Ф, N - фазный и нулевой провода при подключении цепей напряжения (U) поверочной установки.
Счетчики имеют два оптических испытательных выхода (индикаторы функционирования): ТМА и ТМР в соответствии с ГОСТ 31818.11-2012. Они используются для проведения проверок характеристик точности в соответствии с перечнем видов энергий, измеряемых счетчиками:
а) при измерении активной энергии - оптический испытательный выход ТМА;
б) при измерении реактивной энергии - оптический испытательный выход ТМР.
Счетчик оснащен оптическим (технологическим) индикатором ТМ (индикатор работоспособности ЧРВ, который мигает с частотой примерно 1 раз в секунду).
Для считывания показаний некоторых исполнений счетчиков требуется ввод паролей. Для конфигурирования счетчиков ввод пароля обязателен. Разграничение прав доступа к информации указано в приложении Д. Пароли при выпуске счетчиков из производства указаны в приложении В.
Счетчики РиМ 189.2Х оснащены дополнительным отсеком для размещения встраиваемого коммуникатора, предназначенного для реализации обмена с внешними устройствами автоматизированных систем учета электроэнергии, отсек закрыт крышкой.
Основные технические характеристики исполнений счетчиков приведены в таблице Е.1.
-
6.3.1 Идентификация программного обеспечения
Идентификацию метрологически значимой части ПО счетчиков проводят путем считывания номера версии (идентификационного номера ПО) при помощи МТ в процессе опробования интерфейса RF868 счетчика при помощи конвертора USB-RF868 соответственно.
При поверке счетчиков считывание цифрового идентификатора ПО выполняют при помощи программы-конфигуратора (см. приложение В).
Идентификационные данные встроенного ПО приведены в таблице 2.
(Измененная редакция, Изм. №3)
Таблица 2 - Идентификационные данные метрологически значимой части ПО
Идентификационные данные (признаки) |
Значение |
Исполнения счетчиков |
Идентификационное наименование ПО |
PM 18921 ВНКЛ.411152.088 ПО |
РиМ 189.21. РиМ 189.21-01 |
РМ18922 ВНКЛ.411152.088-01 ПО |
РиМ 189.22, РиМ 189.22-01 | |
PM 18923 ВНКЛ.411152.088-02 ПО |
РиМ 189.23, РиМ 189.23-01 | |
РМ18924 ВНКЛ.411152.088-03 ПО |
РиМ 189.24. РиМ 189.24-01 | |
РМ18925 ВНКЛ.411152.088-04 ПО |
РиМ 189.25 | |
РМ18926 ВНКЛ.411152.088-05 ПО |
РиМ 189.26 | |
РМ 18927 ВНКЛ.411152.088-06 ПО |
РиМ 189.27 | |
РМ18928 ВНКЛ.411152.088-07 ПО |
РиМ 189.28 | |
Номер версии (идентификационный номер) ПО |
с v 1.00 по v 3.99 |
РиМ 189.2Х-01, РиМ 189.2Х |
с v 4.00 и выше |
РиМ 189.2Х | |
Цифровой идентификатор ПО |
16 81 2С 43 D5 Е9 СЗ Е2 89 34 65 75 62 ЗА 11 95* |
РиМ 189.21. РиМ 189.23, РиМ 189.25. РиМ 189.27 |
5А 50 99 ED 95 ЕЕ DI F9 F8 BF EF В7 15 8F20 67* |
РиМ 189.22, РиМ 189.24, РиМ 189.26, РиМ 189.28 | |
* - для счетчиков РиМ 189.2Х с номером версии ПО v 4.00 и выше |
Результат проверки считают положительным, если идентификатор метрологически значимой части ПО [номер версии (идентификационный номер) ПО] счетчика, отображаемый в рабочем окне программы-конфигуратора, соответствует данным, приведенным в таблице 2.
-
6.3.2 Опробование счетчика (см. таблицу Г) проводят во время прогрева счетчика или при определении погрешностей по п. 6 таблицы 1.
-
6.3.2.1 Опробование интерфейса RF868 счетчиков заключается в проверке правильности считывания информации со счетчика при помощи конвертора USB-RF868 соответственно с использованием программы-конфигуратора (см. приложение В).
-
Результат проверки считают положительным, если в рабочем окне программы отображаются данные поверяемого счетчика.
-
6.3.2.2 Проверка счетного механизма заключается в проверке правильности считывания информации со счетчика при помощи МТ с использованием программы - конфигуратора (см. приложение В).
Результат проверки счетного механизма считают положительным, если:
- в рабочем окне МТ отображаются тип и показания счетчика в кВт-ч (квар-ч);
-
- во время испытаний произошли приращения показаний счетчиков.
-
6.3.2.3 Проверка работоспособности ГНСС
Проверку проводят (в зависимости от исполнения счетчика, см. приложение Е) в последовательности:
-
- установить переизлучатель рядом со счетчиком на расстоянии от 10 до 15 см. подать на него напряжение питания;
-
- установить антенну переизлучателя на открытое пространство (или место с достаточным уровнем приема сигнала);
-
- подать на счетчик номинальное напряжение (см. приложение Б);
-
- считать статус ИВТ поверяемого счетчика при помощи конвертора USB-RF868 и программы-конфигуратора (см. приложение В).
Результат проверки считают положительным, если не позднее чем через 15 минут после подачи напряжения на счетчик в рабочем окне программы-конфигуратора на закладке «Время и координаты» в поле «Статус времени» отображается статус «ОК».
-
6.3.2.4 Опробование ЧРВ счетчика заключается в наблюдении изменений показаний ЧРВ счетчика при каждом последующем считывании в рабочем окне программы-конфигуратора (см. приложение В).
Примечание - Для счетчиков, снабженных ГНСС (в зависимости от исполнения счетчика, см. приложение Ж), необходимо блокировать возможность приема сигнала ГНСС. например, отключив напряжение питания антенны с переизлучателем.
Результат опробования считают положительным, если при двух последовательных считываниях данных со счетчика с интервалом от 3 до 10 с текущие показания ЧРВ счетчика в соответствующем поле рабочего окна программы-конфигуратора изменяются синхронно с показаниями часов МТ.
-
6.3.2.5 Опробование УКН (в зависимости от исполнения счетчика, см. приложение Е) заключается в проверке правильности выполнения коммутации УКН при управлении по интерфейсу RF868 при помощи конвертора USB-RF868 соответственно с использованием программы-конфигуратора (см. приложение В). Проверку выполняют при номинальном напряжении, токе, не превышающем 0.051б, и коэффициенте мощности, равном 1.
Результат опробования считают положительным, если происходит выключение и включение УКН по команде МТ и на индикаторе тока поверочной установки изменения тока соответствуют поданным командам.
-
6.3.2.6 Опробование ИСК (в зависимости от исполнения счетчика, см. приложение Е) заключается в считывании информации со счетчика с использованием программы-конфигуратора (см. приложение В)
Для счетчика, не укомплектованного коммуникатором, опробование ИСК заключается в считывании данных со счетчика при помощи программы - конфигуратора с использованием устройства проверки ИСК.
Внимание! Подключение разъема устройства проверки ИСК к разъему ИСК счетчика выполнять строго соблюдая положение ключа разъема.
Результат опробования считают положительным, если в рабочем окне программы-конфигуратора правильно отображается заводской номер, тип поверяемого счетчика и на устройстве ИСК светится индикатор «V».
Для счетчика, укомплектованного коммуникатором, опробование ИСК заключается в считывании данных со счетчика с использованием МТ. При проверке следует использовать конвертор в соответствии с типом установленного коммуникатора.
Процесс считывания данных со счетчика с использованием коммуникатора описан в эксплуатационной документации на коммуникатор (поставляется в комплекте коммуникатора, имеется на сайте предприятия - изготовителя).
Примечание - У счетчика, укомплектованного коммуникатором, на корпусе имеется шильдик с обозначением типа коммуникатора.
Результат опробования считают положительным, если в рабочем окне программы-конфигуратора правильно отображается заводской номер, тип поверяемого счетчика.
6.3.2.6 (Измененная редакция, Изм. №1).-
6.3.2.7 Опробование оптопорта (в зависимости от исполнения счетчика, см. приложение Е) заключается в проверке правильности считывания информации со счетчика при помощи УСО с использованием программы-конфигуратора (см. приложение В). Схема расположения оптопорта счетчика приведена в приложении Г.
Результат опробования считают положительным, если в рабочем окне программы-конфигуратора правильно отображается заводской номер, тип поверяемого счетчика.
Примечание - При поднесении УСО к корпусу счетчика возможно срабатывание ДПМП и, как следствие, выключение УКН (в случае если установлена опция отключения УКН при воздействии магнитного поля). При необходимости возврата УКН в исходное состояние см. п. 6.3.2.5.
-
6.3.2.8 Опробование и проверка работы оптических испытательных выходов ТМА. ТМР заключается в проверке их работоспособности - наличии оптического испытательного выходного сигнала, принимаемого ФСУ и регистрируемого поверочной установкой. Допускается совмещать проверку с проверкой точности при измерении активной и реактивной энергии.
Схема расположения оптических испытательных выходов счетчиков приведена в приложении Г.
Результат проверки работоспособности оптических испытательных выходов ТМА. ТМР считают положительным, если сигналы выхода ФСУ, подключенного к оптическим испытательным выходам, регистрируются поверочной установкой.
6.4 Проверка стартового токаПроверку стартового тока проводят в последовательности:
-
- подать номинальное напряжение,
-
- установить испытательный ток в соответствии с таблицей 3. Испытание проводят при коэффициенте мощности cos tp = 1 при измерении активной энергии и при sin ср = 1 при измерении реактивной энергии,
-
- провести считывание значения текущей мощности со счетчика по интерфейсу RF868 (в зависимости от исполнения счетчика) при помощи программы-конфигуратора (см. приложение В) с использованием конвертора USB-RF868 соответственно.
Таблица 3 - Проверка стартового тока
Испытательный ток, А | |
при измерении активной энергии |
при измерении реактивной энергии |
0,020 |
0,020 |
Результат проверки считают положительным, если значение текущей мощности (активной и реактивной), отображаемое в рабочем окне программы -конфигуратора не равно нулю.
6.5 Проверка отсутствия самоходаПроверку отсутствия самохода проводят при подаче фазного напряжения 264 В при отсутствии тока.
Проверку проводят в последовательности:
-
- подать испытательное напряжение 264 В;
-
- по истечении времени испытания, приведенного в таблице 4, провести считывание значения текущей мощности со счетчика по интерфейсу RF868 (в зависимости от исполнения счетчика) при помощи программы-конфигуратора (см. приложение В) с использованием конвертора USB-RF868
соответственно.
Таблица 4 - Проверка отсутствия самохода
Время испытания по текущей мощности, с |
Значение текущей мощности при измерении энергии, Вт /вар | ||
активной |
реактивной |
активной |
реактивной |
10 |
10 |
0 |
0 |
Результат проверки считают положительным, если значение мощности (активной и реактивной) в рабочем окне программы-конфигуратора равны 0.
6.6 Проверка допускаемой основной погрешности, вызываемой изменением тока, при измерении активной и реактивной энергииОпределение погрешностей счетчика при измерении энергии (активной и реактивной) проводят по методике, приведенной в руководстве по эксплуатации на поверочную установку.
-
6.6.1 Проверку допускаемой основной погрешности счетчиков при измерении энергии (активной и реактивной) проводят при номинальном напряжении в режимах, указанных в таблице 5 (при измерении активной энергии) и в таблице 6 (при измерении реактивной энергии).
Таблица 5 - Проверка допускаемой основной погрешности при измерении активной энергии
Ток, от 16 |
COS (р |
Пределы допускаемой основной погрешности при измерении активной энергии, % |
Угол ф, 0 |
0,05 |
1 |
±1,5 |
0 |
0,10 |
1 |
±1,0 |
0 |
1,00” |
1 |
±1,0 |
0 |
т о 1макс |
1 |
±1,0 |
0 |
0,10 |
0,5 инд. |
±1,5 |
60 |
0,20”” |
0,5 инд. |
±1,0 |
60 |
1,00 |
0,5 инд. |
±1,0 |
60 |
1макс |
0,5 инд. |
±1,0 |
60 |
0,20 |
0,8 емк. |
±1,0 |
323 |
1,00 |
-1 |
±1,0 |
180 |
1' Режимы для периодической поверки. 2) Режим для проверки по нулевому проводу. Проверку проводят для счетчиков в зависимости от исполнений (см. приложение Е). |
Таблица 6 - Проверка допускаемой основной погрешности при измерении реактивной
энергии___________________________________________________________________________
Ток, от 16 |
sin (р |
Пределы допускаемой основной погрешности при измерении реактивной энергии,% |
Угол <р, ° |
0,05 |
1 |
±1,5 |
90 |
0,10 |
1 |
±1,0 |
90 |
1,00” |
1 |
±1,0 |
90 |
1макс” |
1 |
±1,0 |
90 |
0,10 |
0,5 инд. |
±1,5 |
30 |
0,20”’” |
0,5 инд. |
±1,0 |
30 |
1макс |
0,5 инд. |
±1,0 |
30 |
0,20 |
0,5 емк. |
±1,0 |
150 |
0,20 |
0,25 инд. |
±1,5 |
14 |
1,00 |
-1 |
±1,0 |
270 |
0 Режимы для периодической поверки. 2) Режим для проверки по нулевому проводу. Проверку проводят для счетчиков в зависимости от исполнений (см. приложение Е). |
Примечание - Переключение режима учета между фазным и нулевым проводом осуществляется с помощью программы - конфигуратора (подробнее см. руководство на программу - конфигуратор).
Результаты проверки погрешностей счетчика при измерении активной и реактивной энергии считают положительными, если полученные значения погрешностей соответствуют требованиям, приведенным в таблицах 5,6.
-
6.7 Проверка допускаемой основной погрешности, вызываемой изменением тока, при измерении активной и реактивной мощности с периодом интегрирования 1 с (текущей активной и реактивной мощности)
-
6.7.1 Проверку допускаемой основной погрешности при измерении активной мощности с периодом интегрирования 1 с проводят при номинальном напряжении, базовом токе и коэффициенте мощности cos (р = 1.
-
Проверку проводят в последовательности:
-подать на счетчик номинальное напряжение;
-подать базовый ток;
-определить значение допускаемой основной погрешности при измерении активной мощности по формуле

(1)
где SP -значение допускаемой основной погрешности при измерении активной мощности, %;
Робр - текущее значение активной мощности с периодом интегрирования 1 с, определенной по показаниям поверочной установки, Вт;
Рисп - текущее значение активной мощности с периодом интегрирования 1 с. определенное по показаниям поверяемого счетчика. РИСп определяют по данным в соответствующем окне программы-конфигуратора (см. приложение В), Вт.
Результат проверки считают положительным, если значение 8Р находится в пределах ± 1,0 %.
Примечание - Проверку (в зависимости от исполнения счетчика, см. приложение Е) проводят как по фазному проводу, так и по нулевому проводу. Переключение режима учета между фазным и нулевым проводом осуществляется с помощью программы - конфигуратора, (подробнее см. руководство на программу - конфигуратор).
-
6.7.2 Проверку допускаемой основной погрешности при измерении реактивной мощности с периодом интегрирования 1 с проводят при номинальном напряжении, базовом токе и sin (р = 1.
Проверку проводят в последовательности:
-подать на счетчик номинальное напряжение;
-подать базовый ток;
-определить значение допускаемой основной погрешности при измерении реактивной мощности по формуле


(2)
где 6Q -значение допускаемой основной погрешности при измерении реактивной мощности.
%;
Qoop - текущее значение реактивной мощности с периодом интегрирования 1 с, определенной по показаниям поверочной установки, вар;
Qhcii - текущее значение реактивной мощности с периодом интегрирования 1 с, определенное по показаниям поверяемого счетчика. QMCn определяют по данным в соответствующем окне программы-конфигуратора (см. приложение В), вар.
Результат проверки считают положительным, если расчетное значение 6q находится в пределах ± 1,0 %.
-
6.8 Проверка допускаемой относительной погрешности при измерении среднеквадратического значения тока фазного провода и среднеквадратического значения тока нулевого провода
Проверку допускаемой относительной погрешности при измерении среднеквадратического значения тока фазного провода и среднеквадратического значения тока нулевого провода (в зависимости от исполнения счетчика, см. приложение Е) проводят при базовом токе, номинальном напряжении и коэффициенте мощности, равном 1.
Проверку проводят в последовательности:
-подать на счетчик номинальное напряжение;
-подать базовый ток;
-определить значение допускаемой относительной погрешности при измерении среднеквадратического значения тока фазного провода и среднеквадратического значения тока нулевого провода по формуле

(3)
где 61 - значение допускаемой относительной погрешности при измерении
среднеквадратического значения тока фазного провода или среднеквадратического значения тока нулевого провода, %;
loop - текущее значение тока, А, определенное по показаниям поверочной установки;
1исп - текущее значение тока, А, определенное по показаниям поверяемого счетчика. 1исп определяют по данным в соответствующем окне программы-конфигуратора (см. приложение В).
Результат проверки допускаемой относительной погрешности счетчика при измерении среднеквадратического значения тока фазного провода и среднеквадратического значения тока нулевого провода считают положительным, если полученные значения погрешностей находятся в пределах ± 0,5 %.
6.9 Проверка допускаемой относительной погрешности при измерении среднеквадратического значения фазного напряженияПроверку допускаемой относительной погрешности при измерении среднеквадратического значения фазного напряжения проводят при базовом токе, номинальном напряжении, коэффициенте мощности, равном 1.
Проверку проводят в последовательности:
-подать на счетчик номинальное напряжение;
-подать базовый ток;
-определить значение допускаемой относительной погрешности при измерении среднеквадратического значения напряжения по формуле
<5(7 = 100 ■

(4)
где 5U -значение допускаемой относительной погрешности при измерении среднеквадратического значения напряжения, %;
Побр - текущее значение фазного напряжения, В, определенное по показаниям поверочной установки;
Писи - текущее значение фазного напряжения, В, определенное по показаниям поверяемого счетчика, иисп определяют по данным в соответствующем окне программы-конфигуратора (см. приложение В).
Результат проверки допускаемой относительной погрешности счетчика при измерении среднеквадратического значения фазного напряжения считают положительным, если полученное значение находится в пределах ± 0,5 %.
6.10 Проверка допускаемой абсолютной погрешности при измерении частоты сетиПроверку допускаемой абсолютной погрешности при измерении частоты сети проводят при базовом токе, номинальном напряжении, коэффициенте мощности, равном 1.
Проверку проводят в последовательности:
подать на счетчик номинальное напряжение, установить номинальное значение
частоты сети, подать базовый ток.
определить значение допускаемой абсолютной погрешности при измерении частоты по
формуле

(5)
где Af -значение допускаемой абсолютной погрешности при измерении частоты, Гц;
fHcn - значение частоты по показаниям проверяемого счетчика в соответствующем окне программы-конфигуратора, Гц;
fHCn определяют по данным, считанным по интерфейсам счетчика. Показания считывают не ранее чем через 15 с после установления напряжения на проверяемом счетчике.
f06p - значение частоты по показаниям поверочной установки, Гц.
Результат проверки считают положительным, если Af находится в пределах ± 0,030 Гц.
-
6.11 Проверка допускаемой абсолютной погрешности при определении показателей качества электроэнергии: установившееся отклонение напряжения основной частоты 6Uy, отрицательное 6U(-) и положительное 6U(+) отклонения напряжения, отклонение частоты Af.
При положительных результатах идентификации метрологически значимой части ПО и проверки точности при измерении среднеквадратических значений напряжения и частоты сети дается заключение о соответствии счетчиков требованиям к точности при определении показателей качества электроэнергии: установившееся отклонение напряжения основной частоты SUy, отрицательное 5U(~) и положительное SU(+) отклонения напряжения, отклонение частоты Af.
-
6.11 (Измененная редакция, Изм. №2)
-
6.12 Проверка погрешности при измерении показателей качества элекгроэнергии
-
6.12 (Исключен, Изм. №2)
-
6.13 Замена резервного элемента питания ЧРВ
Внимание! Замену резервного элемента питания ЧРВ счетчика выполнять при отключенном напряжении.
Для счетчиков проверить параметр «Напряжение батареи» в рабочем окне программы Setting_dlms.exe (см. приложение В). Оно должно быть 3,2 В и выше. Если значение напряжения в окне «Напряжение батареи» ниже указанного, резервный элемент питания ЧРВ подлежит замене.
Для замены резервного элемента питания ЧРВ необходимо:
а) определить допускаемую основную погрешность счетчика при измерении активной энергии при номинальном напряжении, базовом токе, коэффициенте мощности, равном 1 (см. п. 6.6.1);
б) снять пломбы поверителя и контрольные пломбы (при наличии) (количество пломб указано на рисунках 1 - 3), снять крышку корпуса или крышку отсека коммуникатора или крышку батарейного отсека (в зависимости от исполнения счетчика, см. приложение Г);
в) заменить резервный элемент питания ЧРВ.
Характеристики элемента питания ЧРВ указаны в таблице 1, п. 6.13.
г) установить крышку на основание корпуса или на отсек коммуникатора или на батарейный отсек (в зависимости от исполнения счетчика, см. приложение Г).
д) навесить пломбы (количество пломб указано на рисунках 1 - 3).
6.14 Проверка функционирования счетчика после замены резервною элемента питания ЧРВПри проверке функционирования выполняется проверка того, что в процессе замены резервного элемента питания ЧРВ не нарушена целостность элементов счетчика, обеспечивающих его метрологические характеристики.
Проверку проводят в последовательности:
-
- подать на счетчик номинальное напряжение и базовый ток;
-
- провести запуск ЧРВ (установить время) (см. приложение В);
-
- проверить статус ЭПл, ЭПлК. Контролировать во вкладке «Внешние воздействия» отсутствие приращение (в секундах) времени работы ЭПл, ЭПлК (см приложение В).
-
- определить допускаемую основную погрешность при измерении активной энергии при базовом токе, номинальном напряжении, и коэффициенте мощности, равном 1.
Результат проверки функционирования считают положительным, если произошел запуск ЧРВ,
Счетчики электрической энергии однофазные многофункциональные серии РиМ 189 ВНКЛ.411152.088 ДИ значение допускаемой основной погрешности счетчика при измерении активной энергии отличается от значения, полученного при проведении проверок по 6.13 а) перед заменой резервного элемента питания ЧРВ, не более чем на величину, соответствующую погрешности поверочной установки.
6.15 Проверка состояния ЭПл, ЭПлК, ДПМППроверку состояния ЭПл, ЭПлК, ДПМП проводят в последовательности:
-
- подать на счетчик номинальное напряжение;
-
- считать данные со счетчика при помощи программы конфигуратора (см. приложение В) с использованием конвертора USB-RF868, выполнив соответствующие команды в рабочем окне программы-конфигуратора;
-
- считать записи в окне программы, отображающие состояние ЭПл, ЭПлК, ДПМП.
Результат проверки считают положительным, если во вкладке «Внешние воздействия» в строках «Пломба корпуса», «Пломба клеммника», отсутствуют приращения времени (в секундах) в поле «. Прод. Поел, с» (Продолжительность последнего воздействия)), а в строке «Магнитное поле» в поле «Последняя сработка» запись о дате и времени последнего воздействия не совпадает со временем и датой текущей поверки.
6.16 Проверка допускаемой относительной погрешности при определении коэффициента реактивной мощности tg (рПри положительных результатах идентификации метрологически значимой части ПО и проверки допускаемой основной погрешности, вызываемой изменением тока, при измерении активной и реактивной мощности дается заключение о соответствии счетчиков требованиям точности при определении tg ф.
-
6.16 (Введен дополнительно, Изм. №2)
-
7.1 Результаты первичной поверки счетчиков при выпуске из производства заносят в протокол поверки. Рекомендуемая форма протокола поверки счетчиков приведена в приложении А.
-
7.2 Положительные результаты первичной поверки оформляют записью в соответствующем разделе паспорта счетчика и нанесением знака поверки в виде оттиска поверительного клейма. Счетчик пломбируют с нанесением знака поверки в виде оттиска поверительного клейма в установленном месте в соответствии с рисунками 1-3.
-
7.3 Положительные результаты периодической поверки счетчика оформляют свидетельством о поверке или записью в соответствующем разделе паспорта, гасят знак предыдущей поверки и пломбируют счетчик с нанесением знака поверки в виде оттиска поверительного клейма на установленных местах в соответствии с рисунками 1-3.
Внимание! Для пломбирования счетчиков следует использовать проволоку пломбировочную, изготовленную из нержавеющей стали (например, проволока 12Х18Н10Т-ТС ГОСТ 18143-72) или аналогичная.
Внимание! Пломбирование счетчиков с использованием медной проволоки запрещено.
-
7.4 При отрицательных результатах периодической поверки оформляют извещение о непригодности. Знак поверки и свидетельство предыдущей поверки гасят.

Рисунок 1 - Схема пломбировки от несанкционированного доступа, обозначение места нанесения знака поверки на счетчиках в корпусе «тип I»

Рисунок 2 - Схема пломбировки от несанкционированного доступа, обозначение мест нанесения знака поверки на счетчиках в корпусе «тип III»

Рисунок 3 - Схема пломбировки от несанкционированного доступа, обозначение мест нанесения знака поверки на счетчиках в корпусе «тип IV»
Рисунок 3 (Измененная редакция, Изм. №3)
Приложение А
ФОРМА ПРОТОКОЛА ПОВЕРКИ
(рекомендуемое) Протокол поверки
Счетчик РиМ 189.__№___________ Класс точности_______Год выпуска___________
Дата предыдущей поверки:______________________________________________________
Вид поверки (нужное подчеркнуть): первичная/периодическая
Условия проведения поверки:
-
- температура окружающего воздуха, °C______________________________________________
-
- относительная влажность воздуха, % ___________________________________________
-
- атмосферное давление, кПа (мм рт.ст.)______________________________________________
свидетельство о поверке №________от_______20___, срок действия до______20
предназначена для поверки счетчиков класса точности______при соотношении основных
относительных погрешностей поверяемого счетчика и эталонного СИ, не превышающем 5
-
1 Внешний осмотр_________________________________
-
2 Проверка изоляции__
-
3 Опробование
Идентификация ПО__
Опробование интерфейса RF868 _____________________________________________
Проверка счетного механизма______________________________________________________
Проверка приемника сигналов ГНСС_____________________________________________
Опробование ЧРВ_____________
Опробование УКН________________________________________________________
Опробование ИСК_______________________________________
Опробование оптопорта________________________________________________________
Опробование и проверка работы ТМА, ТМР______________________________________
-
4 Проверка стартового тока_______________________________________________________
-
5 Проверка отсутствия самохода (264 В)______________________________________________
-
6 Проверка допускаемой основной погрешности, вызываемой изменением тока, при измерении активной энергии при номинальном напряжении 230 В
Таблица А. 1
Значение тока. А /Минимальное число импульсов испытательного выхода поверяемого счетчика |
COS ф |
Измеренное значение погрешности. % |
Пределы допускаемой основной погрешности при измерении активной энергии,% |
У гол (р. ° |
0,25 / 2 имп |
1 |
±1,5 |
0 | |
0,50 / 2 имп |
1 |
±1,0 |
0 | |
5,00/4 имп1) |
1 |
±1,0 |
0 | |
I макс / 20 имп1) |
1 |
±1,0 |
0 | |
0,50 / 2 имп |
0,5 инд. |
±1,5 |
60 | |
1,00/2 имп1) |
0,5 инд. |
±1,0 |
60 | |
1,00/2 имп1)2) |
0,5 инд. |
±1,0 |
60 | |
5,00/4 имп |
0,5 инд. |
±1,0 |
60 | |
I макс / 20 имп |
0,5 инд. |
±1,0 |
60 | |
1,00/2 имп |
0,8 емк. |
±1,0 |
323 | |
5.00 / 4 имп |
-1 |
±1,0 |
180 |
п Режимы для периодической поверки.
2) Режим для проверки по нулевому проводу. Проверку проводят дтя счетчиков в зависимости от исполнений (см. приложение Е).
7 Проверка допускаемой основной погрешности, вызываемой изменением тока, при измерении активной мощности при номинальном напряжении 230 В и базовом токе 5 А
'аблица А.2 | ||||
Угол <р,° |
Показания счетчика в окне программы, кВт |
Показания энергомонитора (эталона), кВт |
Расчетное значение погрешности. % |
Пределы допускаемой основной погрешности. % |
0 | ||||
02) | ||||
Количество знаков после запятой см. в таблице Е.2. 2) Режим для проверки по нулевому проводу. Проверку проводят для счетчиков в зависимости от исполнений (см. приложение Е). |
8 Проверка допускаемой относительной погрешности при измерении среднеквадратического значения тока фазного провода при номинальном напряжении 230 В и базовом токе 5 А
Таблица А.З
Угол ф,° |
Показания счетчика в окне программы, А 1 ’ |
Показания энергомонитора (амперметра), А |
Расчетное значение погрешности, % |
Пределы допускаемой основной погрешности, % |
0 |
±0,5 | |||
D |
<оличество знаков после запятой см. в таблице Е.2. |
9 Проверка допускаемой относительной погрешности при измерении среднеквадратнческого
значения гока нулевого провода при номинальном напряжении 230 В и базовом токе 5 А
Таблица А.4
Угол ф,° |
Показания счетчика в окне программы, А 1 ’ |
Показания энергомонитора (амперметра), А |
Расчетное значение погрешности, % |
Пределы допускаемой основной погрешности, % |
0 |
±0,5 | |||
1} Количество знаков после запятой см. в таблице |
Е.2. |
10 Проверка допускаемой относительной погрешносгн при измерении среднеквадратического значения фазного напряжения при номинальном напряжении 230 В и базовом токе 5 А
Таблица А. 5
Угол <р,° |
Показания счетчика в окне программы, В 1 * |
Показания энергомонитора (вольтметра), В |
Расчетное значение погрешности. % |
Пределы допускаемой основной погрешности, % |
0 |
±0.5 | |||
1 ’ Количество знаков после запятой см. в таблице Е.2. |
11 Проверка допускаемой абсолютной погрешности при измерении частоты сети при
номинальном напряжении 230 В и базовом токе 5 А, частота 50 Гц
Таблица А.6
Угол Ф,° |
Показания счетчика в окне программы, Гц |
Показания энергомонитора (частотомера), Гц |
Значение погрешности, Гц |
Пределы допускаемой погрешности, Гц |
0 |
±0,030 | |||
0] |
<оличество знаков после запятой см. в таблице Е.2. |
Таблица А.6 (Измененная редакция, Изм. №1)
12 Проверка допускаемой абсолютной погрешности при определении показателей качества электроэнергии: установившегося отклонения напряжения основной частоты 6Uy,
отрицательного 6U(-) и положительного 6U(+> отклонения напряжения, отклонения частоты Af.
При положительных результатах проверки точности при измерении среднеквадратических значений напряжения, идентификации метрологически значимой части ПО дается заключение о соответствии счетчика требованиям к точности при определении показателей качества электроэнергии: установившегося отклонения напряжения основной частоты 5Uy. отрицительного 6U(-) и положительного 8U(+) отклонения напряжения, отклонения частоты Af.
12(Измененная редакция, Изм. №2)Заключение
Счетчики электрической энергии однофазные многофункциональные серии РиМ 189 ВНКЛ.411152.088 ДИ
13 Проверка допускаемой основной погрешности, вызываемой изменением тока, при
измерении реактивной энергии при номинальном напряжении 230 В
Таблица А.7
Значение тока, А /Минимальное число импульсов испытательного выхода поверяемого счетчика |
sin (р |
Измеренное значение погрешности ,% |
Пределы допускаемой основной погрешности при измерении реактивной энергии. % |
Угол ф, О |
0,25 / 2 имп. |
1 |
±1,5 |
90 | |
0,50 / 2 имп. |
1 |
±1,0 |
90 | |
5,00 / 4 имп. п |
1 |
±1,0 |
90 | |
1макс / 20 имп. |
1 |
±1,0 |
90 | |
0,50 / 2 имп. |
0,5 инд. |
±1,5 |
30 | |
1,00 / 2 имп.’’ |
0,5 инд. |
±1,0 |
30 | |
1,00/2 имп.1),2) |
0,5 инд. |
±1,0 |
30 | |
1макс / 20 имп. |
0,5 инд. |
±1,0 |
30 | |
1,00/2 имп. |
0,5 ем к. |
±1,0 |
150 | |
1,00 / 2 имп. |
0,25 инд. |
± 1,5 |
14 | |
5,00 / 4 имп. |
-1 |
±1,0 |
270 | |
Режимы для периодической поверки. 2) Режим для проверки по нулевому проводу. Проверку проводят для счетчиков в зависимости от исполнений (см. приложение Е). |
Таблица А.7 (Измененная редакция, Изм. №1)
-
14 Проверка допускаемой основной погрешности, вызываемой изменением тока, при
измерении реактивной мощности при номинальном напряжении 230 В и базовом токе 5 А
Таблица А.8
Угол ф, о |
Показания счетчика в окне программы, квар |
Показания энергомонитора (эталон), квар |
Значение погрешности. % |
Пределы допускаемой основной по1решности, % |
90 |
±1,0 | |||
1) Количество знаков после запятой см. в таблице Е.2. |
Таблица А.8 (Измененная редакция, Изм. №1)
15 Проверка состояния ЭПл, ЭПлК, ДПМПЗаключение___________________________________________________________________
-
16 Проверка допускаемой относительной погрешности при определении коэффициента
реактивной мощности tg ср
Заключение___________________________________________________________________
16 (Введен дополнительно, Изм. №2)
Заключение_____________________________________________________________
Датаповерк и____________________________________________________________
Поверку произвел____________________________________________________________
Приложение Б
(обязательное)
Схемы включения счетчиков
Счетчики оснащенные У КН
Счетчики не оснащенные У КН

Рисунок Б.1 — Схемы включения счетчиков в корпусе «тип I»
Счетчики оснащенные УКН Счетчики не оснащенные УКН
К поверочной установке


Рисунок Б.2-Схемы включения счетчиков в корпусе «тип III»
К поверочной установке к поверочной установке
Счетчики оснащенные УКН

Счетчики не оснащенные УКН

Рисунок Б.З - Схемы включения счетчиков в корпусе «гип IV»
Счетчики оснащенные УКН

Счетчики нс оснащенные УКН

Рисунок Б.4 - Схема включения счетчиков в корпусе «гип III» при измерении тока нулевого провода
Счетчики не оснащенные УКН
Счетчики оснащенные УКН
к поверочной устзноачс

•_______________
Антенна с переизлучателем


Рисунок Б.5 - Схема включения счетчиков в корпусе «тип IV» при измерении тока нулевого провода

Рисунок Б.6 - Схема включения счетчиков в корпусе «тип I» при опробовании УКН
Счетчик

Рисунок Б.7 - Схема включения счетчиков в корпусе «тип III» при опробовании УКН
Н
Г
Ф
N

Рисунок Б.8 - Схема включения счетчиков в корпусе «тип IV» при опробовании УКН
ПРИЛОЖЕНИЕ В
(обязательное)
Порядок работы с программой Setting_dlms.exe
В.1 Программа Setting_dlms.exe предназначена для занесения служебной информации в счетчики перед установкой их у потребителя и считывания информации по интерфейсу RF868 и оптопорту в ПК. Программа Setting_dlms предназначена для связи со счётчиками по протоколу IEC 62056-46 (DLMS COSEM).
Программа работает с тремя уровнями доступа
Публичный клиент (PC) - не требует ввода пароля, шифрование не поддерживает. Для считывания доступны: логическое имя устройства и текущее время ЧРВ счетчиков;
Считыватель показаний (MR) - данный уровень предназначен только для считывания информации со счетчика;
Конфигуратор (US)- данный уровень предназначен как для считывания, так и для записи установок в счетчик, для каждого уровня доступа требуется свой пароль (разграничение прав доступа к информации счетчика - см. приложение Д).
В.2 Счетчики поставляются производителем со следующими установками:
При выпуске из производства:
-
- Пароль уровня Считыватель показаний (MR) (низкий) Reader
-
- Пароль уровня Конфигуратор (US) (высокий) SeltingRiM489.2X
ВНИМАНИЕ! В целях обеспечения информационной безопасности при вводе в эксплуатацию счетчиков рекомендуется изменить заводские установки паролей.
Параметры тарификации:
-
- Однотарифное расписание;
-
- РДЧ: день=01, час=00;
-
- автоматический переход на летнее/зимнее время - не активирован;
-
- таблица выходных и праздничных дней в соответствии с официальным графиком, без корректировок;
-
- таблица переносов выходных и праздничных дней - пустая;
-
- текущее время: UTC+7.
Функции управление нагрузкой (только для счетчиков с У КН):
Состояние УКН - включено
Отключение абонента:
-
- при превышении напряжения 15 % - не установлено;
-
- при превышении максимальной мощности - не установлено;
-
- при превышении максимального тока - не установлено;
-
- при воздействии магнитного поля - установлено.
Автоматическое включение абонента
-
- при снижении напряжения ниже 1,15 Uhom - не установлено.
Параметры настройки профилей:
-
- период фиксации профиля №1: 15 мин;
-
- период фиксации профиля №2: 30 мин.
Параметры для определения показателей качества электроэнергии:
-
- согласованное напряжение: 230 В;
-
- порог по tg(p: 1,732.
Функция автоматического отслеживания событий:
-
- Не активирована
Параметры индикации
на ДД выводятся показания счетчика:
-
- суммарная активная энергия прямого направления (импорт);
-
- суммарная текущая активная мощность;
-
- текущая активная мощность;
-
- показания счетчика по 1 тарифу текущие;
-
- показания счетчика по 1 тарифу на РДЧ.
Состояние журналов счетчиков:
Журналы счетчиков могут содержать записи, произведенные во время производственного цикла.
При первичной поверке счетчика с заводскими установками используются пароли заводских установок (см. выше).
В случае если счетчик находился в эксплуатации - это пароли, записанные организацией, предоставившей счетчик на поверку.
Пароли можно изменить в процессе работы программы, для этого предназначены поля с соответствующими названиями.
Внимание! Если счетчик поступил на поверку после эксплуатации, необходимо иметь сведения о паролях. Без этих данных провести поверку невозможно.
ВНИМАНИЕ! При проведении поверки не следует изменять установки поверяемого счетчика без необходимости.
В.З При проведении опробования счетчика необходимо:В.3.1 Подать на счетчик номинальное напряжение.
В.3.2 Запустить программу Setting_dlms.exe, должно появиться окно программы «Программирование счетчиков РиМ по технологии Dlms/Cosem».
В.3.3 Установление связи со счетчиком по интерфейсу RF868.
а) выбрать тип связи «Радио», номер COM-порта к которому подключен USB-RF. Выбрать уровень доступа «Высокий», что соответствует уровню «Конфигуратор (US)». В поле «Пароль» ввести пароль, записанный в счетчик (заводские установки - см. В.2).
Если счетчик находился в эксплуатации, то в поле «Пароль» ввести пароль организации, предоставившей счетчик на поверку.
б) значение поля «Адрес счетчика (логический)» - ввести 1;
в) нажать кнопку «Настройки радиомодема», обозначенную символом .
г) нажать кнопку «Установить связь» в окне «Настройка радиоканала». При успешном установлении связи между программой и радиомодемом, поля «Номер». «Тип». «Версия» должны заполниться данными радиомодема.
д) выбрать закладку «Радиопоиск», нажать кнопку «Начать». По истечении 5-7 с поиска, на закладке должен отобразиться список счетчиков, работающих в пределах 100 м. Выбрать номер поверяемого счетчика.
е) кликнуть дважды на номер поверяемого счетчика в списке. Убедиться, что в поле «Номер цели» появился заводской номер поверяемого счетчика.
ж) выбрать закладку «Присоединить устройство к сегменту RF-сети»;
з) выбрать опцию «По служебному каналу». Ввести в поле «Подключаемое устройство» заводской номер поверяемого счетчика;
и) нажать кнопку «Присоединить». При успешном выполнении в рабочем окне программы должно отобразиться сообщение «Устройство присоединено». Закрыть окно «Настройка радиоканала».
к) выбрать рабочее окно «Программирование счетчиков РиМ по технологии Dlms/cosem»,
V
нажать кнопку «Установить связь», обозначенную символом 4 , при успешном установлении связи в рабочем окне программы отобразится сообщение «Соединение установлено»,
л) выбрать закладку «Основные сведения», поля закладки должны заполниться данными, считанными со счетчика. Нажать кнопку «Обновить», если поля не заполняются.
В.3.4 Проверка счетного механизма
Для проверки счетного механизма в поле «Уровень доступа» выбрать закладку «Низкий», а в поле «Счетчик» выбрать закладку «Показания». После установления связи со счетчиком поля закладки заполняются данными (показания счетчика в кВт-ч (квар-ч)), считанными со счетчика. Нажать кнопку «Обновить», если поля не заполняются.
В.3.5 Считывание значений активной и реактивной мощности, среднеквадратических значений тока, среднеквадратических значений фазного напряжения, значений частоты сети.
Считывание значений проводят в последовательности:
-
- выполнить п. В.3.3, перечисления а) - к),
-
- выбрать закладку «Электрические показатели», все поля должны заполниться данными, считанными со счетчика. Нажать кнопку «Обновить», если поля не заполняются.
Примечание - Значение тока, напряжения, мощностей (активной, реактивной), задаваемых поверочной установкой, измеряются энергомонитором поверочной установки с использованием программы «EnForm.exe». Измеренные значения должны отображаться в рабочем окне «Энергоформа» на закладке «Показания» в подзакладке «Измерения» в таблице «Мощности». Значения токов, напряжений, мощностей (активной, реактивной) отображаются с учетом знака направления.
Значение частоты сети, задаваемой поверочной установкой, измеряется программой «EnForm.exe» и отображается в рабочем окне «Энергоформа» на закладке «Показания» в подзакладке «Углы».
В.3.6 Идентификация программного обеспечения
После установления связи выбрать закладку «Основные сведения». Поля закладки должны заполниться данными, считанными со счетчика. Нажать кнопку «Обновить» если поля не заполняются.
В.3.7 Проверка работоспособности ГНСС
После установления связи выбрать закладку «Время и координаты», поля закладки заполнятся считанными данными о текущем статусе времени ЧРВ счетчика, если поля не заполняются, то нажать кнопку «Обновить». Считанный статус в поле «Статус времени» должен быть «Ок».
В.3.8 Опробование ЧРВ
Считывание данных проводят в последовательности:
-
- выполнить п. В.3.3, перечисления а) - л),
-
- выбрать закладку «Время и координаты», поля закладки должны заполниться данными о текущем времени ЧРВ, считанными со счетчика. Нажать кнопку «Обновить», если поля не заполняются.
-
- нажать кнопку «Обновить» после заполнения поля «Текущее время»;
-
- контролировать обновление даты и времени в поле «Текущее время» синхронно с изменением данных на панели «Время» МТ.
Примечание - при установке времени (при замене резервного элемента питания ЧРВ) в закладке «Время и координаты» нажать кнопку «Установить время».
В.3.9Для выполнения запуска ЧРВ счетчика (синхронизация/ установка времени, требуется пароль US) необходимо выполнить следующие действия:-
- нажать кнопку «Установить время» на закладке «Время и координаты», в отобразившемся окне «Установка времени» нажать кнопку «Ок».
ВНИМАНИЕ! Все остальные кнопки не нажимать.
-
- нажать кнопку «Обновить» после заполнения поля «Текущее время»;
-
- контролировать изменение даты и времени в поле «Текущее время» синхронно с изменением данных в панели «Время».
В.3.10 Опробование УКН
После установления связи выбрать закладку «Управление размыкателем», поля закладки заполнятся считанными данными со счетчика, если поля не заполняются, то нажать кнопку «Обновить».
-
- проконтролировать что в рабочем окне программы значения параметров «Физическое состояние» и «Логическое состояние» - в состоянии «Включено»;
-
- нажать кнопку «Настроить размыкатель», в окне «Настройка размыкателя», выбрать в поле «Подключение нагрузки» параметр «Команда, пульт», нажать кнопку «Ок», при этом окно «Настройка размыкателя» закроется автоматически;
-
- чтобы отключить УКН. нажать кнопку «Отключить нагрузку», нажать кнопку «Ок» в окне «Отключение нагрузки».
-
- контролировать в рабочем окне программы значения параметров «Физическое состояние» и «Логическое состояние» - в состоянии «Выключено», ток поверочной установки при этом должен быть равен «0» А;
-
- чтобы подключить УКН. нажать кнопку «Подключить нагрузку», нажать кнопку «Ок» в окне «Подключение нагрузки».
-
- контролировать в рабочем окне программы значения параметров «Физическое состояние» и «Логическое состояние» - в состоянии «Включено», ток поверочной установки при этом должен быть равен 0,0516;
В.3.11 Опробование оптопорта
Считывание показаний через оптопорт производится при помощи специализированных считывателей, которые должны поддерживать протокол «С» ГОСТ IEC 61107-2011, например, УСО-2.
Для считывания показаний необходимо оптоголовку считывателя установить на поле оптопорта счетчика (основого блока) (см. приложение Г), подключить считыватель УСО к USB-порту МТ.
-
- в рабочем окне программы «Программирование счетчиков РиМ по технологии Dlms/Cosem» выбрать тип канала связи «Оптопорт»
-
- в поле СОМ выбрать СОМ порт, к которому подключено «УСО»,
-
- установить в поле «Уровень доступа» - низкий, что соответствует уровню «Считыватель показаний (MR.)»,
-
- в поле «Пароль» ввести пароль, записанный в счетчик (заводские установки - см. В.2) Если счетчик находился в эксплуатации - это пароль организации, предоставившей счетчик на поверку).
-
- значение поля «Адрес счетчика (логический)» - 1.
-
- нажать кнопку «Установить связь». При успешном установлении связи в рабочем окне программы должно отобразиться сообщение «Связь установлена».
-
- выбрать закладку «Основные сведения»,
-
- наблюдать заполнение полей закладки считанными данными со счетчика (нажать кнопку «Обновить», если поля не заполняются),
Счетчики электрической энергии однофазные многофункциональные серии РиМ 189 ВНКЛ.411152.088 ДИ -контролировать соответствие значений в полях «Серийный номер» и «Тип изделия» типу и заводскому номеру поверяемого счетчика.
В.3.12 Опробование ИСК
Опробование интерфейса ИСК проводят в последовательности:
-
- подключить счетчик к МТ с установленной программой-конфигуратором при помощи устройства проверки ИСК (см. приложение Б);
-
- подать на счетчик номинальное напряжение,
-
- наблюдать свечение индикатора напряжения «У»на устройстве проверки ИСК,
-
- в поле СОМ выбрать СОМ порт, к которому подключено устройство проверки ИСК,
-
- установить в поле «Уровень доступа» - минимальный,
-
- значение поля «Адрес счетчика (логический)» - 1,
-
- нажать кнопку «Установить связь». При успешном установлении связи в рабочем окне программы должно отобразиться сообщение «Связь установлена»,
-
- выбрать закладку «Основные сведения»,
-
- наблюдать заполнение полей закладки считанными данными со счетчика (нажать кнопку «Обновить», если поля не заполняются),
-контролировать соответствие значений в полях «Серийный номер» и «Тип изделия» типу и заводскому номеру поверяемого счетчика.
В.3.13 Проверка состояния ЭПл, ЭПлК, ДПМП
Считывание данных проводят в последовательности:
-
- нажать кнопку «Установить связь». При успешном установлении связи в рабочем окне программы должно отобразиться сообщение «Связь установлена»,
-
- выбрать закладку «Внешние воздействия»,
-
- наблюдать заполнение полей закладки считанными данными со счетчика (нажать кнопку «Обновить», если поля не заполняются),
В.3.14 Проверка напряжения резервного элемента питания ЧРВ
Проверка напряжения резервного элемента питания ЧРВ проводится в последовательности:
-
- выбрать закладку «Основные сведения»,
-
- проверить параметр «Напряжение батареи», оно должно быть 3,2 В и выше.
ПРИЛОЖЕНИЕ Г (обязательное)
Схемы расположения индикаторов и контактов счетчика

Рисунок Г.1 - Схема расположения контактов и индикаторов счетчиков в корпусе «тип I», не оснащенных УКН

Рисунок Г.2 - Схема расположения контактов и индикаторов счетчиков в корпусе «тип I», оснащенных УКН

Примечание - Контакт «2» корпуса с ДДТ (или коммуникатором или другим устройством) считается контактом «N».
Рисунок Г.З - Схема расположения контактов и индикаторов счетчиков в корпусе «тип III», не оснащенные УКН

Примечание - Контакт «2» корпуса с ДДТ (или коммуникатором или другим устройством) считается контактом «N».
Рисунок Г.4 - Схема расположения контактов и индикаторов счетчиков в корпусе «тип III», оснащенные УКН


Рисунок Г.5 - Схема расположения контактов и индикаторов счетчиков в корпусе «тип IV», не оснащенные УКН


Рисунок Г.6 - Схема расположения контактов и индикаторов счетчиков в корпусе «тип IV», оснащенные УКН
Приложение Д
(обязательное)
Разграничение прав доступа к информации в счетчиках
При связи со счетчиками доступ к информации регламентирован несколькими уровнями секретности:
Публичный клиент (PC) - не требует ввода пароля, шифрование не поддерживает.
Для считывания доступны:
-
- логическое имя устройства;
-
- текущее время ЧРВ счетчиков.
Считыватель показаний (MR) - требует ввода пароля, поддерживает шифрование.
Конфигуратор (US) - требует ввода пароля, поддерживает шифрование.
ВНИМАНИЕ! В целях обеспечения информационной безопасности при вводе счетчиков в эксплуатацию рекомендовано изменить заводские установки паролей. Поэтому, если не удается считать со счетчика показания текущей активной, реактивной мощности, тока, напряжения и других параметров, используемых при проведении поверки, следует запросить у организации, предоставившей счетчик на поверку, значения паролей, а также настройки интерфейсов.
ПРИЛОЖЕНИЕ Е
(обязательное)
Основные технические характеристики исполнений счетчиков
Счетчики электрической энергии однофазные многофункциональные серии РиМ 189 являются многофункциональными приборами и предназначены для измерения активной и реактивной электрической энергии, и мощности в однофазных двухпроводных электрических цепях переменного тока промышленной частоты, а также для дистанционного отключения / подключения абонента (в зависимости от исполнения).
Постоянная счетчика - 4000 имп./(кВт.ч) [имп./(кварч)].
Таблица Е.1 - Основные технические характеристики исполнений счетчиков
Условное обозначение счетчика |
Измерение тока нулевого провода |
Базовый/ максимальный ток, А |
Номинальное напряжение, В |
УКН |
Класс точности при измерении активной /реактивной энергии |
Резидентные интерфейсы |
Дополнительное оснащение |
Тип корпуса |
РиМ 189.2Х | ||||||||
РиМ 189.21 |
Нет |
«тип III» «тип IV» | ||||||
РиМ 189.22 |
Нет |
Есть |
«тип III» «тип IV» | |||||
РиМ 189.23 |
Нет |
гнсс |
«тип III» «тип IV» | |||||
РиМ 189.24 |
5/100 |
230 |
Есть |
1/1 |
Оптопорт, RF1’, |
«тип III» «тип IV» | ||
РиМ 189.25 |
Нет |
RF868, ИСК |
«тип III» «тип IV» | |||||
РиМ 189.26 |
Есть |
Есть |
«тип III» «тип IV» | |||||
РиМ 189.27 |
Нет |
гнсс |
«тип III» «тип IV» | |||||
РиМ 189.28 |
Есть |
«тип III» «тип IV» | ||||||
РиМ 189.2Х—01 | ||||||||
РиМ 189.21-01 |
Нет |
«тип I» | ||||||
РиМ 189.22-01 |
Нет |
5/100 |
230 |
Есть |
1/1 |
Оптопорт, |
«тип I» | |
РиМ 189.23-01 |
Нет |
RF868 |
гнсс |
«тип I» | ||||
РиМ 189.24-01 |
Есть |
«тип I» | ||||||
Только для счётчиков с версией ПО 3.30 и выше |
Таблица Е.1 (Измененная редакция, Изм. №1, Изм. №3)
Таблица Е.2 - Перечень измеряемых величин и цена единиц разрядов измеряемых величин
Измеряемая величина |
Основная единица |
Цена единицы старшего/младшего разряда |
РиМ 189.2Х. РиМ 189.2Х-О11» | ||
Активная энергия |
кВт-ч |
105 / К)'2 |
Реактивная энергия |
квар-ч |
105 /10‘2 |
Активная мощность |
кВт |
102/10‘4 |
Реактивная мощность |
квар |
102 /КУ4 |
Полная мощность |
кВ-А |
102/ К)'4 |
Ток, среднеквадратическое (действующее) значение |
А |
102/10’3 |
Напряжение, среднеквадратическое (действующее) значение |
В |
102/10’2 |
Частота сети |
Гц |
I01 / ю-’ |
При выводе на дисплей ДД и по всем интерфейсам. |
ПРИЛОЖЕНИЕ Ж (справочное)
Перечень обозначений и сокращений, используемых в документеТМ Оптический индикатор (технологический) для проверки ЧРВ
ТМА
ТМР
ЧРВ
дат иск
гнсс да дпмп ивт мт по
УКН
УСО
ПК
ФСУ
г
н
ф
N
ЭПл
ЭПлК
RF868 Программа-конфигуратор Конвертор USB-RF
Индикатор функционирования счетчика, оптический испытательный выход активной энергии
Индикатор функционирования счетчика, оптический испытательный выход реактивной энергии
Часы реального времени
Дополнительный датчик тока
Служебный интерфейс связи с коммуникатором
Приемник сигналов глобальных навигационных спутниковых систем
Дисплей дистанционный
Датчик постоянного магнитного поля
Источник реального времени тарификатора
Терминал мобильный РиМ 099.01
Программное обеспечение
Устройство коммутации нагрузки (встроенное в счетчик)
Устройство сопряжения оптическое УСО-2 ИГЛН1.468351.008 Персональный компьютер
Фотосчитывающее устройство
Сторона генератора
Сторона нагрузки
Фаза, фазный провод
«Нуль», нейтраль, «нулевой» провод
Электронная пломба крышки корпуса
Электронная пломба крышки коммуникатора
Интерфейс для обмена данными по радиоканалу на частоте 868 МГц Setting_dlms.exe
Конвертор USB-RF РиМ 043.01 для связи со счётчиками РиМ 189.IX по интерфейсу RF, USB-RF РиМ 043.08 для связи со счётчиками РиМ 189.2Х по интерфейсу RF и USB-RF РиМ 043.04 для связи со счётчиками РиМ 189.2Х по интерфейсу RF868»
(Измененная редакция, Изм. №3)
ПРИЛОЖЕНИЕ 3
(обязательное)
Методика выборочной первичной поверкиВыборку счетчиков проводят по ГОСТ Р ИСО 2859-1-2007 «Статистические методы. Процедуры выборочного контроля по альтернативному признаку. Часть 1. Планы выборочного контроля последовательных партий на основе приемлемого уровня качества».
На начальном этапе устанавливают:
-
- приемлемый уровень качества (AQL) - 1,0;
-
- тип выборочного плана контроля - одноступенчатый (двухступенчатый);
-
- уровень контроля - общий (I); - вид контроля - нормальный (см. примечание). Процедуры и правила переключения представлены в разделе 9.3 ГОСТ Р ИСО 2859-1-2007.
Примечание - Сведения о виде контроля должны быть указаны в «Акте отбора образцов» или ином документе, который составляет поверитель перед поверкой. В них так же имеются данные о типе предъявляемых счетчиков, об их количестве, о дате предъявления на поверку, о количестве выборки. После каждой поверки на документе ставится подпись поверителя и ответственного лица предприятия - заявителя. Копии этих документов хранятся на предприятии заявителя, которые должны предоставляться по требованию поверителей.
По таблице 1 ГОСТ Р ИСО 2859-1-2007 определяют код объема выборки, по таблицам 2-А, ЗА по коду объема выборки находят объем выборки. По объему выборки и AQL определяют план контроля: приемочное число, браковочное число и др.
План контроля по п. 11.1.1 - 11.1.2 ГОСТ Р ИСО 2859-1-2007.
На непринятую партию выписывают извещение о непригодности.
Приложение 3 (Введено дополнительно, Изм. №2)
Лист регистрации изменений
Изм. |
Номера листов (страниц) |
Всего листов (страниц) в докум. |
№ докум. |
Входящий № сопроводительного докум. и дата |
Подп. |
Дата | |||
измененных |
заменен ных |
новых |
аннулированных | ||||||
36