Методика поверки «ГСОЕИ. Измерители крутящего момента силы бесконтактные БИКМ М-106М» (253-1321-2019 МП)
Федеральное государственное унитарное предприятие «Всероссийский научно-исследовательский институт метрологии им. Д. И. Менделеева»
ФГУП «ВНИИМ им. Д. И. Менделеева»
Генеральный директор
ООО

А.П. Шевцов
1ЭДЛ1М. Д. И. Менделеева»
А. Н. Пронин

М- филиала ФГУП
И. Менделеева»
С. В Медведевских
г.
Директор

Государственная система обеспечения единства измерений
ИЗМЕРИТЕЛИ КРУТЯЩЕГО МОМЕНТА СИЛЫ БЕСКОНТАКТНЫЕ БИКМ М-106М Методика поверки253-1321-2019 МП

Санкт-Петербург 2020 г.
Руководитель НИО А. А. Янковский
Заведующий лабораторией УНИИМ - филиал ФГУП «ВНИИМ им. Д.И. Менделеева» Б. А. Черепанов
Заместитель руководителя НИО Д. Б. Пухов
Оглавление-
-
5.4 Определение основной погрешности измерений крутящего момента силы.
Проверка верхнего предела диапазона измерений крутящего момента силы
-
5.5 Определение относительной погрешности измерений частоты вращения.
Проверка диапазона измерений частоты вращения
-
5.6 Определение основной погрешности преобразований текущего значения
крутящего момента силы в сигнал постоянного тока
-
5.7 Определение погрешности преобразований текущего значения частоты
вращения в сигнал постоянного тока
-
5.8 Проверка диапазона выходного сигнала силы постоянного тока при
преобразовании крутящего момента силы и частоты вращения
ВВЕДЕНИЕ
-
1. Настоящая методика поверки распространяется на измерители крутящего момента силы бесконтактные БИКМ М-106М (далее по тексту - измеритель БИКМ М-106М) и устанавливает объём и порядок проведения поверки.
-
2. Методикой поверки предусмотрена возможность проведения поверки отдельных измерительных каналов (канала измерительного крутящего момента силы и канала измерительного частоты вращения) из состава средства измерений.
-
3. Перед началом работы необходимо ознакомиться с настоящей методикой, эксплуатационной документацией на измеритель БИКМ М-106М, техническим описанием средства измерений и оборудования, используемых при проведении поверки.
-
4. В тексте настоящей методики поверки использованы ссылки на следующие нормативные документы:
-
- ГОСТ Р 8.736-2011 «ГСОЕИ. Измерения прямые многократные. Методы обработки результатов измерений. Основные положения»;
-
5. В методике поверки приняты следующие сокращения:
-
- МП - методика поверки;
-
- ЭД - эксплуатационная документация;
-
- измеритель БИКМ М-106М - измерители крутящего момента силы бесконтактные БИКМ М-106М;
-
- установка тахометрическая - установка тахометрическая УТ05-60. Диапазон измерений от 10 до 60000 об/мин, бо(О,95) не более 0,05 %, регистрационный номер в Федеральном информационном фонде 6840-78;
-
- эталон - государственный рабочий эталон 1-го разряда единицы крутящего момента силы в диапазоне значений от 1 до 300 кН м, диапазон воспроизведения крутящего момента силы от 1 до 300 кН м, относительная погрешность эталона 5о при доверительной вероятности 0,95 бо(95)=0,1 %
установка - установка поверочная первого разряда, диапазон воспроизведения крутящего момента силы от 1 до 2-104 Н м, относительная погрешность эталона бо при доверительной вероятности 0,95 До(95)=0,1 %.
1. ОПЕРАЦИИ И СРЕДСТВА ПОВЕРКИ
1.1 При проведении поверки должны выполняться операции, указанные в таблице 1.
Таблица 1 - Операции при проведении поверки
Наименование операции |
Пункт пункта МП |
Обязательность проведения операции при поверке | |
Первичной |
Периодической | ||
Внешний осмотр, проверка комплектности и маркировки. |
5.1 |
да |
да |
Подтверждение соответствия программного обеспечения |
5.2 |
да |
да |
Опробование |
5.3 | ||
Определение основной погрешности измерений крутящего момента силы. Проверка верхнего предела диапазона измерений крутящего момента силы |
5.4 |
да |
да |
Определение относительной погрешности измерений частоты вращения. Проверка диапазона измерений частоты вращения |
5.5 |
да |
да |
Определение основной погрешности преобразований текущего значения крутящего момента силы в сигнал постоянного тока |
5.6 |
да |
да |
Определение погрешности преобразований текущего значения частоты вращения в сигнал постоянного тока |
5.7 |
да |
да |
Проверка диапазона выходного сигнала силы постоянного тока при преобразовании крутящего момента силы и частоты вращения |
5.8 |
Да |
да |
2 СРЕДСТВА ПОВЕРКИ
При проведении поверки должны применяться эталоны и средства измерений, указанные в таблице 2, имеющие действующие аттестаты и свидетельства о поверке с неистекшим сроком действия.
Таблица 2 - Перечень средств измерений
Номер пункта МП |
Наименование средства поверки и его тип |
Основные метрологические характеристики |
5.4, 5.6, 5.8 |
Установка поверочная первого разряда по ГПС для средств измерений крутящего момента силы |
Диапазон воспроизведения крутящего момента силы от 1 до 2-104 Нм, относительная погрешность эталона бо при доверительной вероятности 0,95 До(95)=0,1 %. |
Номер пункта МП |
Наименование средства поверки и его тип |
Основные метрологические характеристики |
5 4 5.6, 5^8 |
Государственный рабочий эталон единицы крутящего момента силы в диапазоне значений от 1 до 300 кН м, 3.1.ZZB.0287.2019. |
Диапазон значений крутящего момента силы, в котором эталон хранит и передаёт единицу, составляет от 1 до 300 кН м, бо(О,95) не более 0,1 %. |
5.5, 5.7 |
Установка тахометрическая УТ05-60 |
Диапазон измерений от 10 до 60000 об/мин, 5о(О,95) не более 0,05 %. Регистрационный номер в федеральном информационном фонде по обеспечению единства измерений № 6840-78. |
5.6-5.8 |
Мультиметр цифровой 34450А |
Диапазон измерений постоянных напряжений от 100 мВ до 1000 В, пределы допускаемой абсолютной погрешности измерений напряжения ±0,015 мВ. Диапазон измерений силы постоянного тока от 100 мкА до 10 А, пределы допускаемой абсолютной погрешности измерений силы постоянного тока ±0,05 мА Регистрационный номер в федеральном информационном фонде по обеспечению единства измерений 55261-13 |
5,2-5,6 |
Термогигрометр электронный CENTER модели 310 |
Диапазон измерений от минус 20 до плюс 60, пределы допускаемой абсолютной погрешности результата измерений температуры ±0,7°С, пределы допускаемой абсолютной погрешности результата измерений относительной влажности ±3 %. Регистрационный номер в федеральном информационном фонде по обеспечению единства измерений 22129-09. |
Допускается применение других средств измерений и эталонов, обеспечивающих требуемый запас точности (не менее1/3).
3 ТРЕБОВАНИЯ БЕЗОПАСНОСТИ
-
3.1 Во время подготовки к поверке и при её проведении необходимо соблюдать «Правила техники безопасности и производственной санитарии в электронной промышленности».
-
3.2 При проведении поверки необходимо соблюдать «Правила техники безопасности при эксплуатации электроустановок потребителей», требования, установленные ГОСТ 12.2.007.0 и специальные требования, изложенные в ЭД на поверяемый измеритель.
-
3.3 Сотрудники, проводящие поверку, должны изучить правила работы с поверяемым средством измерений и обладать соответствующей квалификацией для работы с эталонным и испытательным оборудованием.
4 УСЛОВИЯ ПОВЕРКИ
-
4.1 При проведении поверки должны быть выполнены условия:
-
- температура воздуха, °C 20±5
-
- относительная влажность воздуха, не более 80
-
4.2 При подготовке к поверке, средства поверки и вспомогательное оборудование должны быть подготовлены в соответствии с указаниями эксплуатационной документации.
-
4.3 Перед проведением поверки должны быть выполнены следующие подготовительные работы:
-
- проверка наличия поверочного оборудования и вспомогательных устройств (приспособлений), перечисленных в п.2;
-
- проверка наличия действующих свидетельств (отметок) о поверке используемых средств измерений и действующих аттестатов для эталонов;
подготовка измерителя БИКМ М-106М, средств измерений и вспомогательных устройств, входящих в состав поверочного оборудования, в соответствии с их эксплуатационной документацией.
5. ПОРЯДОК ПРОВЕДЕНИЯ ПОВЕРКИ
-
5.1 Внешний осмотр, проверка комплектности и маркировки
-
5.1.1 При внешнем осмотре должно быть установлено:
-
- отсутствие видимых внешних повреждений измерителя, влияющих на его эксплуатационные характеристики и внешний вид;
-
- отсутствие видимых повреждений соединительных фланцев, препятствующих их подсоединению к тракту передачи крутящего момента.
-
5.1.2 Проверка комплектности и маркировки выполняется визуально. Измеритель БИКМ М-106М, подлежащий поверке, должен быть полностью укомплектован, иметь чёткую маркировку и комплект ЭД.
Измеритель крутящего момента силы бесконтактный БИКМ М-106М считается прошедшим поверку по пункту 5.1, если его комплектность и маркировка соответствуют требованиям, приведённым в ЭД.
-
5.2 Подтверждение соответствия программного обеспечения
-
5.2.1 Подготовить измерителя БИКМ М-106М к работе в соответствии с ЭД.
-
5.2.2 Подать напряжение питания на блок обработки. На индикаторе высветятся идентификационные признаки ПО, а затем измеритель перейдёт в режим индикации крутящего момента. Идентификационные признаки ПО можно отобразить также нажатием кнопки «9», при этом на индикаторе высветятся номер версии и наименование ПО («ИКМ»).
-
5.2.3 Сравнить наименование и версию программного обеспечения, отображённую на индикаторе блока обработки с данными, приведёнными в таблице 3.
Таблица 3 - Идентификационные данные ПО
Идентификационные признаки |
Значение |
Идентификационное наименование ПО |
И КМ |
Номер версии (идентификационный номер) ПО, не ниже |
не ниже 19.09.06 |
Измеритель крутящего момента силы бесконтактный БИКМ М-106М считается прошедшим поверку по п. 5.2, если наименование и версия ПО соответствуют требованиям, приведённым в таблице 3.
-
5.3 Опробование
При проведении опробования должна быть установлена работоспособность измерителя БИКМ М-106М.
-
5.3.1 Подготовить измеритель БИКМ М-106М к работе в соответствии с ЭД.
-
5.3.2 Установить измеритель БИКМ М-106М на эталон (установку) и провести нагружение значением крутящего момента силы 0,5 Ме (Ме - верхний предел диапазона измерений поверяемого измерителя БИКМ М-106М). Выдержать измеритель БИКМ М-106М под нагрузкой в течении 40±10 секунд.
-
5.3.3 Проконтролировать выходной сигнал с измерителя БИКМ М-106М. Показания измерителя БИКМ М-106М под нагрузкой должны изменяться не более чем на 2 единицы младшего разряда.
Измеритель крутящего момента силы бесконтактный БИКМ М-106М считается прошедшим поверку по п. 5.3, если подтверждена его работоспособность.
-
5.4 Определение основной погрешности измерений крутящего момента силы. Проверка верхнего предела диапазона измерений крутящего момента силы
При определении основной погрешности измерений крутящего момента силы результат измерений считывается непосредственно с индикатора блока обработки измерителя БИКМ М-106М.
-
5.4.1 Установить измеритель БИКМ М-106М на эталон.
-
5.4.2 Подготовить измеритель БИКМ М-106М к работе в соответствии с его ЭД.
-
5.4.3 Провести измерение нулевого значения измерителя БИКМ М-106М (без нагружения). Полученный результат занести в таблицу 4.
-
5.4.4 Провести нагружение (прямой ход) измерителя БИКМ М-106М значениями крутящего момента силы от нуля до Ме (Ме - верхний предел диапазона измерений поверяемого измерителя БИКМ М-106М, при этом число точек нагружения должно быть не менее пяти. Затем провести разгружение (обратный ход) теми же значениями до нуля. Нагружения и разгружения проводить плавно (без ударов и рывков). Время измерения в каждой точке должно быть не менее 30 с. Перемены направления подходов к точкам нагружения не допускаются. В случае несоблюдения этого требования цикл повторяют. Количество циклов л - не менее трёх. В процессе нагружения и разгружения снимать показания текущего значения с индикатора блока обработки mk i и и заносить в таблицу 4.
Таблица 4 - Результаты измерений крутящего момента силы
№, / |
Заданное значение Мь Н м или кН м |
Измеренное значение mki (прямой ход) и т'кЛ (обратный ход), Н м или кНм | ||||
^i,i. |
т2Л, m'2,i |
тпзл, т'зл | ||||
0 |
0 | |||||
1 | ||||||
2 | ||||||
• • • | ||||||
/(0,5Ме) |
0,5-Ме | |||||
• • • | ||||||
/(Me) |
Me | |||||
• • • | ||||||
/(0,5Ме) |
0,5-Ме | |||||
• • • | ||||||
2 | ||||||
1 | ||||||
0 |
0 |
-
5.4.5 По результатам измерений определить среднее арифметическое значение результата измерений крутящего момента силы для прямого и обратного хода
1 п
к=1
1 п
k=l
Определить систематическую составляющую абсолютной погрешности из соотношения

(ш1 + 7П,')

где Mj - заданное значение крутящего момента силы в i -ой точке нагружения.
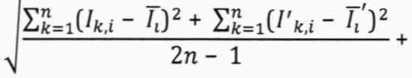
Определить среднеквадратическое отклонение случайной составляющей абсолютной погрешности с учётом вариации показаний по формуле

- m,)2 + Е;=1(тп'м - m,')2 ,
(m, - m,')2
12
2-n- 1
-
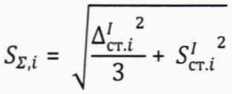
5.4.6 Определить абсолютную погрешность измерений крутящего момента силы по формуле
Ai= 2 • Ssi
где Sz - оценка суммарного среднеквадратического отклонения:



-
5.4.7 В зависимости от модификации измерителя, определить погрешность измерений крутящего момента силы как:
- приведённую к верхнему значению диапазона измерений
-
- относительную погрешность измерений крутящего момента силы
5,- = -100;
-
- приведённую к половине верхнего значения диапазона измерений
-
5.4.8 Определить максимальное значение приведённой и относительной погрешности измерений крутящего момента силы:
у = max\Yi\
8 = 7nax|5J
-
5.4.9 За верхний предел измерений крутящего момента силы принять значение Me при условии, что погрешности измерений крутящего момента силы у и 6 не превышают значений, указанных в ЭД.
Измеритель крутящего момента силы бесконтактный БИКМ М-106М считается прошедшим поверку по пункту 5.4, если его погрешность и верхний предел измерений крутящего момента силы не превышают значений, указанных в ПС на измеритель.
-
5.5 Определение относительной погрешности измерений частоты вращения. Проверка диапазона измерений частоты вращения
При определении погрешности измерений частоты вращения результат измерений считывается непосредственно с индикатора блока обработки измерителя БИКМ М-106М.
-
5.5.1 Подготовить установку тахометрическую к работе.
-
5.5.2 Установить датчик частоты вращения измерителя так, чтобы зазор между его чувствительным элементом и зубом шестерни (или неодимовым магнитом) тахометрической установки был не более 1 мм (для неодимового магнита зазор 5±1 мм). Соединить датчик частоты вращения с блоком обработки измерителя БИКМ М-106М.
-
5.5.3 Задать ряд значений частоты вращения в диапазоне измерений от 10 до пЕ (иЕ - верхний предел диапазона измерений испытуемого измерителя, указанный в ЭД). В каждой точке фиксировать показания текущего значения частоты вращения с индикатора блока обработки Nki и заносить в таблицу 5. Количество циклов три.
Таблица 5 - Результаты измерений частоты вращения
№, / |
Заданная частота вращения, пзадЛ, об/мин |
Измеренное значение частоты вращения, Nk>it об/мин |
Nit об/мин |
Ж), % | ||
Wi,i. |
N2.i. |
N3,i, | ||||
1 |
10 | |||||
2 | ||||||
• • • | ||||||
'(пе) |
Не |
5.5.4 По результатам измерений определить среднее значение частоты вращения по формуле:

к=1
-
5.5.5 Определить относительную погрешность измерений частоты вращения для каждого заданного значения частоты вращения
5(Мг) = — - Пзад,‘) • 100
Пзад.д
где Nt - среднее значение частоты вращения i-ой точки;
пзаД.,п - заданное значение частоты вращения
-
5.5.6 Определить максимальное значение относительной погрешности измерений частоты вращений из соотношения:
5(/V) = тах|5(Л0|
-
5.5.7 При условии 5(/V) < 0,1 % диапазон измерений частоты вращения составляет от 10 об/мин до пЕ. (пЕ - верхний предел диапазона измерений испытуемого измерителя, указанный в ЭД).
Измеритель крутящего момента силы бесконтактный БИКМ М-106М считается прошедшим поверку по пункту 5.5, если относительная погрешность измерений частоты вращения не более 0,1 %.
5.6 Определение основной погрешности преобразований текущего значения крутящего момента силы в сигнал постоянного тока
При определении погрешности преобразований крутящего момента силы в сигнал постоянного тока к блоку обработки измерителя БИКМ М-106М необходимо последовательно через резистор сопротивлением 500±50 Ом мощностью не менее 0,5 Вт подключить мультиметр с диапазоном измерений силы постоянного тока до 100 мА, и пределами допускаемой основной относительной погрешности измерений силы постоянного тока ±3-1 О’4.
Допускается определять силу тока через напряжение, измеренное с помощью цифрового вольтметра на опорном сопротивлении Ron. При этом сила тока - т и
оудет определятся из выражения / = — .
-
5.6.1 Установить измеритель БИКМ М-106М на эталон.
-
5.6.2 Подготовить измеритель БИКМ М-106М к работе в соответствии с его ЭД.
-
5.6.3 Провести измерение нулевого значения измерителя БИКМ М-106М (без нагружения). Полученный результат занести в таблицу 6.
-
5.6.4 Провести нагружение (прямой ход) измерителя БИКМ М-106М значениями крутящего момента силы от нуля до Ме(Ме - верхний предел диапазона измерений испытуемого измерителя), при этом число точек нагружения должно быть не менее пяти. Затем провести разгружение (обратный ход) теми же значениями до нуля. Нагружения и разгружения проводить плавно (без ударов и рывков). Время измерения в каждой точке должно быть не менее 30 с. Перемены направления подходов к точкам нагружения не допускаются. В случае несоблюдения этого требования цикл повторить. Количество циклов п - не менее трёх. В процессе нагружения и разгружения снимать показания текущего значения тока с мультиметра Iki и ГкЛ и заносить в таблицу 6.
Таблица 6 - Результаты измерений преобразований крутящего момента силы в сигнал постоянного тока
№, / |
Заданное значение Мь Н м, кН-м |
^ном,1> мА |
Измеренное значение Iki (прямой ход) и Гк1 (обратный ход), мА | ||||
/'14 |
^2,1» <'2.i |
l'3.i | |||||
0 |
0 | ||||||
1 | |||||||
2 | |||||||
/(0,5Ме) |
0,5-Ме | ||||||
• • • | |||||||
/(Me) |
Ме | ||||||
/(0,5Ме) |
0,5Ме | ||||||
... | |||||||
2 | |||||||
1 | |||||||
0 |
0 |
-
5.6.5 Вычислить номинальные значения выходного сигнала постоянного тока, соответствующие проверяемым точкам диапазона преобразований по формуле:
. . . ~ А) ,
^ном.1 ~ ~ + /0
где /в и /0 - верхний и нижний пределы диапазона преобразования выходного сигнала, мА;
МЕ - верхний предел диапазона измерений испытуемого измерителя, Н м;
- заданное значение крутящего момента силы, Н м.
-
5.6.6 По результатам измерений определить среднее арифметическое значение постоянного тока для прямого и обратного хода
п
Л =
к=1 п
к=1
Определить систематическую составляющую абсолютной погрешности из соотношения


где /ном t — номинальные значения постоянного тока в i -ой точке нагружения. Определить среднеквадратическое отклонение результата измерений с учётом вариации показаний по формуле



-
5.6.7 Определить абсолютную погрешность преобразований крутящего момента силы в сигнал постоянного тока по формуле
д'= 2-Sw
где Sz - оценка суммарного среднеквадратического отклонения:

-
5.6.8 В зависимости от модификации измерителя, определить погрешность преобразований крутящего момента силы как:
-
- приведённую к верхнему значению диапазона преобразований
у/ = -!- ■ 100 'в
-
- относительную погрешность преобразований крутящего момента силы
<5' = 100;
-
- приведённую к половине верхнего значения диапазона измерений
-
5.6.9 Определить максимальное значение приведённой и относительной погрешности преобразований крутящего момента силы в сигнал постоянного тока:
у1 = тах|у/|
6' = max 16-\
Измеритель крутящего момента силы бесконтактный БИКМ М-106М считается прошедшим поверку по пункту 5.6, если погрешность преобразований крутящего момента силы в сигнал постоянного тока, не превышает значений, указанных в ПС на измеритель.
-
5.7 Определение погрешности преобразований текущего значения частоты вращения в сигнал постоянного тока
При определении погрешности преобразований частоты вращения в сигнал постоянного тока к блоку обработки измерителя БИКМ М-106М необходимо последовательно через резистор сопротивлением 500±50 Ом мощностью не менее 0,5 Вт подключить мультиметр с диапазоном измерений силы постоянного тока до 100 мА, и пределами допускаемой основной относительной погрешности измерений силы постоянного тока ±25-1 О*6.
-
5.7.1 Подготовить установку тахометрическую к работе.
-
5.7.2 Установить датчик частоты вращения измерителя так, чтобы зазор между его чувствительным элементом и зубом шестерни (или неодимовым магнитом) тахометрической установки был не более 1 мм (для неодимового магнита зазор 5±1 мм). Соединить датчик частоты вращения с блоком обработки измерителя БИКМ М-106М.
-
5.7.3 Задать ряд значений частоты вращения в диапазоне измерений от 10 до пЕ (пЕ - верхний предел диапазона измерений испытуемого измерителя, указанный в ЭД). В каждой точке регистрировать показания текущего значения тока с мультиметра Iki. и заносить в таблицу 7.
Таблица 7 - Результаты преобразований частоты вращения в сигнал постоянного тока
№, / |
Заданная частота вращения, пзад1-, об/мин |
HOM.ii ^А |
Измеренное значение lki , мА |
r'W. % | ||
h.ii |
h.ii | |||||
1 |
10 | |||||
2 | ||||||
... | ||||||
i(ng) |
Пе |
-
5.7.4 Вычислить номинальные значения выходного сигнала силы постоянного тока, соответствующие проверяемым точкам:
I - J*'1* I
'номд ~ ^зад.1 „ + 'О
ПЕ
где /в и /0 - верхний и нижний пределы диапазона преобразований выходного сигнала, мА;
пЕ - верхний предел диапазона измерений испытуемого измерителя, об/мин; п3ад.1 - заданное значение частоты вращения, об/мин.
-
5.7.5 Для каждого заданного значения частоты вращения определить погрешность преобразований, приведённую к верхнему значению диапазона выходного сигнала силы постоянного тока
М) = (А,~ /h7]-ioo
в ” 'О
где /f - значение выходного сигнала в i-ой точке;
-
5.7.6 Определить максимальное значение приведённой погрешности преобразований частоты вращения из соотношения:
y'W = max\Y(Ni)\
Измеритель крутящего момента силы бесконтактный БИКМ М-106М считается прошедшим поверку по пункту 5.7, если погрешность преобразования частоты вращения в сигнал постоянного тока, приведённая к верхнему пределу, не более 0,1 %.
-
5.8 Проверка диапазона выходного сигнала силы постоянного тока при преобразовании крутящего момента силы и частоты вращения
При выполнении требований пунктов 5.6 и 5.7 за диапазон выходного сигнала силы постоянного тока при преобразовании крутящего момента силы и частоты вращения принять диапазон от 4 до 20 мА.
Измеритель крутящего момента силы бесконтактный БИКМ М-106М считается прошедшим испытания по пункту 5.8, если диапазон выходного сигнала силы постоянного тока при преобразовании крутящего момента силы и частоты вращения составляет от 4 до 20 мА.
6. ОФОРМЛЕНИЕ РЕЗУЛЬТАТОВ ПОВЕРКИ
-
6.1 При положительных результатах поверки, проведённой в соответствии с настоящей методикой, оформляется протокол поверки и выдаётся свидетельство о поверке. Знак поверки наносится на свидетельство о поверке.
-
6.2 При отрицательных результатах поверки измеритель БИКМ М-106М к применению не допускается и на него оформляется извещение о непригодности.
(рекомендуемое)
Измеритель крутящего момента силы бесконтактный БИКМ М-106М
Обозначение: БИКМ М-106М , зав.№.................................................
Владелец:...........................................................................
Условия поверки:
Температура окружающего воздуха..............°C.
Относительная влажность воздуха...............%.
Результаты поверки
-
1 Внешний осмотр:..............................................................................
-
2 Проверка комплектности.....................................................................
-
3 Подтверждение соответствия программного обеспечения
Таблица 1 - Идентификационные данные ПО
Идентификационные признаки |
Значение |
Идентификационное наименование ПО | |
Номер версии (идентификационный номер) ПО, не ниже |
Вывод
4 Опробование Вывод
5 Определение основной погрешности измерений крутящего момента силы Таблица 2 - Результаты измерений крутящего момента силы
№, / |
Заданное значение Mh Н м или кН м |
Измеренное значение mki (прямой ход) и m'ki (обратный ход), Н м или кНм |
у(М,),% | |||
т'1Л |
т2л> m'2,i |
™з.ь т'зл | ||||
0 |
0 | |||||
1 | ||||||
2 | ||||||
... | ||||||
/(0,5Ме) |
0,5Ме | |||||
... | ||||||
/(Me) |
Ме | |||||
... | ||||||
7(О,5Ме) |
0,5-Ме | |||||
... | ||||||
2 | ||||||
1 | ||||||
0 |
0 |
Y1 = тах\у-
8' = тах\8[
Вывод
6 Определение погрешности преобразований текущего значения частоты вращения в сигнал постоянного тока
Таблица 3 - Результаты измерений
№, / |
Заданная частота вращения, пзадЛ, об/мин |
^ном.Ь мА |
Измеренное значение 1кЛ , мА |
y'W, % | ||
>1.Ь |
^2,i> |
h.b | ||||
1 |
10 | |||||
2 | ||||||
КпЕ) |
Пе |
YlW = max|y(/Vi)|=
Вывод
5 Заключение:............................для эксплуатации
годен / не годен
Дата поверки «......».........................20.....г.
Поверитель............................ .................................
Подпись Расшифровка подписи
16