Методика поверки «ГОСУДАРСТВЕННАЯ СИСТЕМА ОБЕСПЕЧЕНИЯ ЕДИНСТВА ИЗМЕРЕНИЙ Микроскоп электронный сканирующий Quattro S» (MП 94-223-2020)
Федеральное агентство по техническому регулированию и метрологии УРАЛЬСКИЙ НАУЧНО-ИССЛЕДОВАТЕЛЬСКИЙ ИНСТИТУТ МЕТРОЛОГИИ -ФИЛИАЛ ФЕДЕРАЛЬНОГО ГОСУДАРСТВЕННОГО УНИТАРНОГО ПРЕДПРИЯТИЯ «ВСЕРОССИЙСКИЙ НАУЧНО-ИССЛЕДОВАТЕЛЬСКИЙ ИНСТИТУТ МЕТРОЛОГИИ ИМ.Д.И.МЕНДЕЛЕЕВА»
(УНИИМ - филиал ФГУП «ВНИИМ им. Д.И. Менделеева»)

ГОСУДАРСТВЕННАЯ СИСТЕМА ОБЕСПЕЧЕНИЯ ЕДИНСТВА ИЗМЕРЕНИЙ
Микроскоп электронный сканирующий
Quattro S
МЕТОДИКА ПОВЕРКИМП 94-223-2020
Екатеринбург 2020
ПРЕДИСЛОВИЕ
-
1 РАЗРАБОТАНА Уральским научно-исследовательским институтом метрологии -филиалом Федерального государственного унитарного предприятия «Всероссийский научно-исследовательский институт метрологии им. Д.И. Менделеева» (УНИИМ -филиал ФГУП «ВНИИМ им. Д.И. Менделеева»)
-
2 ИСПОЛНИТЕЛИ заведующий лабораторией 223 Собина А.В., ведущий инженер лаборатории 223 Ким Н.А.
-
3 УТВЕРЖДЕНА и.о. директора УНИИМ - филиала ФГУП «ВНИИМ им. Д.И. Менделеева» в 2020 г.
СОДЕРЖАНИЕ
-
6 Метрологические и технические требования к средства поверки
-
7 Требования (условия) по обеспечению безопасности проведения поверки
-
11 Определение метрологических характеристик средства измерений
-
12 Подтверждение соответствия средства измерений метрологическим требованиям ..10
Приложение А (рекомендуемое). Форма протокола поверки
Государственная система обеспечения единства измерений Микроскоп электронный сканирующий Quattro S, Методика поверки
МП 94-223-2020
Дата введения в действия « »_____________2020 г
1 Общие положения-
1.1 Настоящая методика поверки распространяется на микроскоп электронный сканирующий Quattro S (далее - микроскоп) производства «Thermo Fisher Scientific Brno s.r.o», Чешская Республика, предназначенный для измерений линейных размеров, формы, ориентации и других параметров наноструктур и микрорельефа поверхностей различных объектов, и устанавливает методы и средства первичной и периодической поверок микроскопа Quattro S, зав. № 9953401. Проверка микроскопа должна производиться в соответствии с требованиями настоящей методики.
-
1.2 При проведении поверки должна обеспечиваться прослеживаемость микроскопа к ГЭТ 2-2010 «Государственному первичному эталону единицы длины - метра» согласно второй части государственной поверочной схемы для средств измерений длины в диапазоне от Г10'9 до 100 м и длин волн в диапазоне от 0,2 до 50 мкм, утвержденной приказом Федерального агентства по техническому регулированию и метрологии № 2840 от 29 декабря 2018 г.
-
1.3 Интервал между поверками - один год.
В настоящей методике использованы ссылки на следующие нормативные документы и нормативные правовые акты:
ГОСТ 12.3.019-80 Испытания и измерения электрические. Общие требования безопасности
ГОСТ Р 8.736-2011 ГСИ. Измерения прямые многократные. Методы обработки результатов измерений. Основные положения
Приказ Федерального агентства по техническому регулированию и метрологии от 29 декабря 2018 г. № 2840 «Об утверждении Государственной поверочной схемы для средств измерений длины в диапазоне от 1 • 10*9 до 100 м и длин волн в диапазоне от 0,2 до 50 мкм»
Приказ Минпромторга России от 02 июля 2015 г. № 1815 «Об утверждении Порядка проведения поверки средств измерений, требования к знаку поверки и содержанию свидетельства о поверке» (с учетом Приказа Минпромторга РФ от 28 декабря 2018 г. № 5329 «О внесении изменений в приказ Минпромторга РФ от 2 июля 2015 г. № 1815»)
Приказ Министерства труда и социальной защиты РФ от 24 июля 2013 г. № 328н «Об утверждении правил по охране труда при эксплуатации электроустановок».
Примечание - При пользовании настоящим документом целесообразно проверить действие ссылочных документов по соответствующему указателю стандартов, составленному по состоянию на 1 января текущего года, и по соответствующим информационным указателям, опубликованным в текущем году. Если ссылочный документ заменен (изменен), то при пользовании настоящим документом следует руководствоваться замененным (измененным) стандартом. Если ссылочный документ отменен без замены, то положение, в котором дана ссылка на него, применяется в части, не затрагивающей эту ссылку.
3 Перечень операций поверки-
3.1 При поверке микроскопа должны быть выполнены операции, указанные в таблице 1.
Таблица 1- Операции поверки
Наименование операции |
Номер пункта методики поверки |
Обязательность проведения операций при поверке | |
первичной |
периодической | ||
Внешний осмотр |
8 |
да |
да |
Подготовка к поверке и опробование средства измерений |
9 |
да |
да |
Проверка программного обеспечения |
10 |
да |
да |
Определение метрологических характеристик средства измерений: |
И |
да |
да |
- проверка разрешения |
11.1 |
да |
нет |
- проверка относительной погрешности измерений линейных размеров |
11.2 |
да |
да |
- подтверждение диапазона измерений линейных размеров |
11.3 |
да |
нет |
-
3.2 В случае невыполнения требований хотя бы к одной из операций, указанных в таблице 1, проводится настройка микроскопа в соответствии с руководством по эксплуатации (далее - РЭ). В дальнейшем необходимые операции повторяют вновь, в случае повторного невыполнения требований поверка прекращается, микроскоп бракуется, и выполняются операции по п.13 настоящей методики поверки.
При проведении поверки микроскопа должны быть соблюдены следующие условия:
-
- температура окружающей среды, °C 20±3;
-
- относительная влажность воздуха, % не более 80.
К проведению работ по поверке микроскопа допускаются специалисты, прошедшие специальное обучение в качестве поверителя, имеющие вторую квалификационную группу по электробезопасности (до 1000 В), ознакомившиеся с настоящей методикой поверки и РЭ на микроскоп.
6 Метрологические и технические требования к средствам поверки-
6.1 При проведении поверки микроскопа применяют оборудование согласно таблицы 2.
Таблица 2 - Средства поверки
Наименование |
Метрологические и технические требования |
Мера ширины и периода специальная МШПС-2.0К (регистрационный номер в ФИФ ОЕИ 33598-06), соответствующая рабочему эталону 2 разряда 2 части государственной поверочной схемы, утвержденной приказом Федерального агентства по техническому регулированию и метрологии № 2840 от 29 декабря 2018 г.) |
Номинальные значения воспроизведения линейных размеров шаговой структуры меры в диапазоне от 397 до 2002 нм, ПГ ±(1-3) нм. |
Объект-микрометр ОМ-О (регистрационный номер в ФИФ ОЕИ 28962-16), соответствующий эталону 1 разряда 2 части государственной поверочной схемы, утвержденной приказом Федерального агентства по техническому регулированию и метрологии № 2840 от 29 декабря 2018 г.) |
Длина основной шкалы (1,0000±0,0005) мм, ПГ ±0,0001 мм. |
Термогигрометр ИВА-6А-КП-Д (регистрационный номер в ФИФ ОЕИ 46434-11) |
Диапазоны измерений температуры и относительной влажности не менее требуемых по п. 4 |
-
6.2 Эталоны, применяемые для поверки микроскопа должны быть поверены, если представлены средствами измерений утвержденного типа, или аттестованы, если представлены средствами измерений неутвержденного типа; средства измерений - поверены.
-
6.3 Допускается применение аналогичных средств поверки, обеспечивающих требуемую точность передачи единицы линейного размера поверяемому микроскопу.
При проведении поверки микроскопа должны быть соблюдены требования Приказа Министерства труда и социальной защиты РФ от 24 июля 2013 г. № 328н «Об утверждении правил по охране труда при эксплуатации электроустановок», требования ГОСТ 12.3.019, а также условия по обеспечению безопасности, изложенные в РЭ микроскопа.
8 Внешний осмотр средства измерений-
8.1 При внешнем осмотре необходимо установить:
-
- соответствие внешнего вида микроскопа сведениям, приведенным в описании типа;
-
- отсутствие видимых повреждений микроскопа и всех его составных частей, соединительных кабелей и сетевых разъемов;
-
- соответствие комплектности, указанной в РЭ микроскопа;
-
- четкость обозначений и маркировки микроскопа.
-
8.2 В случае, если при внешнем осмотре микроскопа выявлены повреждения или дефекты, способные оказать влияние на безопасность проведения поверки или результаты поверки, поверка может быть продолжена только после устранения этих повреждений или дефектов.
-
9.1 Подготовить микроскоп к работе в соответствии с РЭ.
-
9.2 Включить микроскоп, выполняя последовательность операций, указанных в РЭ.
-
9.3 Проверить работоспособность органов управления и регулировки микроскопа в соответствии с РЭ.
Убедиться, что все режимы работы, а также параметры, соответствующие, заданному режиму, высвечиваются на мониторе управляющего компьютера микроскопа. Выбор необходимого режима, а также выполнение команд, производят в соответствии с РЭ.
10 Проверка программного обеспечения средства измерений-
10.1 Провести проверку идентификационных данных программного обеспечения поверяемого микроскопа, указанных в описании типа.
Проверку идентификационных данных программного обеспечения (ПО) проводят при включении поверяемого микроскопа Quattro S в соответствии с РЭ микроскопа путем запуска программы хТ Microscope Server с рабочего стола основного управляющего компьютера (Microscope PC) при помощи ярлыков модулей интерфейса программы хТ (хТ Microscope server / Microscope Control). Для этого после загрузки операционной системы

Hi
управляющего компьютера на рабочем столе монитора дважды щелкнуть по иконке чтобы запустить ПО (все видимые индикаторы должны быть зеленого цвета -активированы). Нажать на кнопку Start, чтобы запустить сервер управления. Дождаться пока все элементы будут полностью функционировать (все видимые элементы должны быть зеленого цвета - активированы). Нажать на кнопку Start UI, чтобы запустить модуль пользовательского интерфейса программного обеспечения Microscope Control. Главное окно появляется за диалоговым окном входа в систему.
В строке меню пользовательского интерфейса программного обеспечения Microscope Control нажимают кнопку Help (Справка), которое раскрывает системные информационные функции, выбирают (активируют) информационное поле About Microscope Control (О приложении Microscope Control). На мониторе управляющего компьютера микроскопа Quattro S должно отобразиться окно, содержащее информацию о версии продукта. Вид информационного окна с идентификационными данными ПО приведен на рисунке 1. Окно автоматически исчезает после первого щелчка в любом месте.
thermo sctentif ic
xTm Copyright © 1999-2019 FEI Company, a part of Thermo Fisher Scientific Uses XI Charts © XJ Technologies.
Contains software or other content adapted from Smart Client - Composite UI Application Block ©2005 Microsoft Corporation. All rights reserved.
Microscope Version XT Platform Version XT UI Version Serial Number Machine Type
15.2.2
15.2.2.6423
15.2-23603
9953401
Quattro S
RESTRICTED RIGHTS
Manufacturer Thermo Fisher Scientific, 5350 NE Dawson Creek Drive, Hillsboro, OR 97124 The U.S. Government has restricted rights to use, modify, reproduce, release, perform, display or disclose this Thermo Fisher Scientific software as specified in Thermo Fisher Scientific's standard commercial software license agreement and as provided in DFARS 227.7202, FAR 52.227-19 and FAR 12.212
Рисунок 1 - Информационное окно с идентификационными данными ПО
-
10.2 Идентификационное наименование и номер версии ПО, наименование модулей интерфейса ПО поверяемого микроскопа должны соответствовать данным, приведенным в таблице 3.
Таблица 3 - Идентификационные данные ПО микроскопа Quattro S
Идентификационные данные (признаки) |
Значение |
Идентификационное наименование ПО |
хТ |
Номер версии (идентификационный номер) ПО |
не ниже 15.2.2 |
Цифровой идентификатор ПО |
- |
Идентификационное наименование основного модуля интерфейса ПО (сервер управления) |
хТ Microscope Server |
Идентификационное наименование модуля пользовательского интерфейса ПО |
Microscope Control (User Interface (UI)) |
-
11 Определение метрологических характеристик средства измерений
Проверку разрешения проводят с помощью меры МШПС-2.0К, указанной в п.6 настоящей методики поверки, при оптимальном рабочем расстоянии и в зависимости от вакуумного режима и типа детекторов микроскопа при следующих режимах:
-
- высокий вакуум в камере, детектор вторичных электронов, ускоряющее напряжение 30 кВ;
-
- высокий вакуум в камере, детектор вторичных электронов, ускоряющее напряжение 1 кВ;
-
- низкий вакуум и сверхнизкий вакуум естественной среды в камере, детектор вторичных электронов, ускоряющее напряжение 30 кВ;
-
- низкий вакуум в камере, детектор вторичных электронов, ускоряющее напряжение 3 кВ.
В камеру для образцов микроскопа устанавливают специальную меру ширины и периода МШПС-2.0К. В соответствии с РЭ микроскопа подводят объект под электронную колонну микроскопа на расстояние менее 10 мм между объективной линзой и поверхностью меры посредством управления столика для образцов через управляющий компьютер. Расстояние определяется вычислительным блоком микроскопа на основе данных, поступающих от микрометрической подачи, которая передвигает столик для образцов по оси Z (параметр контролируется визуально на экране монитора управляющего компьютера). После чего столик для образцов с установленной на нем мерой МШПС-2.0К наклоняют на угол 35,3 градуса для наблюдения четкой контрастной границы между верхнем основанием и боковой стенкой структуры; устанавливают максимальную резкость границы с помощью детектора вторичных электронов и определяют предельное разрешение объекта по изображению на мониторе управляющего компьютера микроскопа с использованием программного обеспечения, используя функцию автоматического определения параметра.
Примечание - Допускается определение параметра вручную.
11.2 Проверка относительной погрешности измерений линейных размеров-
11.2.1 Проверку относительной погрешности измерений линейных размеров и ее составляющих проводят согласно п. 11.2.2 с использованием специальной меры ширины и периода МШПС-2.0К (для нанометрового диапазона) и согласно п. 11.2.3 с использованием объект-микрометра ОМ-О (для микрометрового диапазона), указанных в п.6 настоящей методики поверки.
-
11.2.2 Специальная мера МШПС-2.0К (per. № 33598-06) представляет совокупность пяти одинаковых групп рельефных шаговых структур на поверхности квадратной кремниевой монокристаллической пластины со стороной не более 10 мм, поверхность которой ориентирована параллельно кристаллографической плоскости, по три структуры в каждой группе. Геометрическая форма элемента рельефа шаговой структуры - трапеция. Сечение выступа шаговой структуры с обозначениями параметров (характеристик) меры показано на рисунке 2.
Рисунок 2 - Сечение выступа шаговой структуры с обозначениями параметров Ьи - ширина верхнего основания выступа шаговой структуры; h — высота выступа шаговой структуры; а - ширина проекции боковой стенки выступа шаговой структуры на плоскость нижнего основания выступов шаговой структуры; Ьр - ширина нижнего основания выступа шаговой структуры.
В камеру для образцов микроскопа устанавливают меру МШПС-2.0К. Согласно РЭ микроскопа подводят объект под электронную колонну микроскопа на расстояние менее 10 мм между объективной линзой и поверхностью меры посредством управления столика для образцов через управляющий компьютер. Расстояние определяется вычислительным блоком микроскопа на основе данных, поступающих от микрометрической подачи, которая передвигает столик для образцов по оси Z (параметр контролируется визуально на экране монитора управляющего компьютера). Осуществляют предварительную фокусировку на край меры.
На мере МШПС-2.0К находят группы шаговых структур и выбирают детектор вторичных электронов. Фокусируются на одной из групп шаговых структур - центральном модуле, фрагмент I-I, вдоль горизонтальной линии ориентирования.
В соответствии с РЭ с использованием программного обеспечения микроскопа выполняют не менее пяти измерений (п>5) следующих метрологических характеристик меры МШПС-2.0К, установленных в свидетельстве о поверке меры МШПС-2.0К (см. рисунок 2):
-
- значение шага структуры, нм;
-
- значение ширины верхнего основания выступа шаговой структуры, нм;
-
- значение ширины нижнего основания выступа шаговой структуры, нм;
-
- значение ширины проекции боковой стенки выступа на плоскость нижнего основания выступа шаговой структуры, нм;
-
- высоту выступа шаговой структуры, нм.
Микроскоп Quattro S позволяет получать изображения образцов в горизонтальной плоскости XY. Для измерения высоты выступа шаговой структуры меру МШПС-2.0К наклоняют на угол 54,7 градуса (угол между нижним основанием и боковой стенкой), фокусируются на боковой стенке и измеряют её ширину. После этого вычисляют высоту выступа по известному углу и ширине боковой стенки (произведение синуса угла 54,7 градуса на ширину боковой стенки).
-
11.2.3 Объект-микрометр ОМ-О (per. № 28962-16) используют для определения погрешности измерений линейных размеров в микрометровом диапазоне.
В камеру для образцов микроскопа устанавливают объект-микрометр ОМ-О. Поскольку объект-микрометр ОМ-О выполнен из диэлектрического материала, то для получения изображения в электронном микроскопе камеру откачивают до низкого вакуума (50 Па).
Согласно РЭ микроскопа фокусируются в центре объект-микрометра ОМ-О и находят изображение шкалы объект-микрометра ОМ-О как показано на рисунке 3.

Рисунок 3 - Шкала объект-микрометра ОМ-О
Сфокусироваться на шкале объект-микрометра ОМ-О таким образом, чтобы были четко видны длинные штрихи. Согласно РЭ микроскопа вызвать измерительные горизонтальные линии. Управление измерительными линиями осуществляется ПО при помощи мыши управляющего компьютера микроскопа.
В соответствии с РЭ с использованием программного обеспечения микроскопа выполняют не менее пяти измерений (п>5) следующего линейного размера объект-микрометра ОМ-О, установленного в свидетельстве о поверке и описании типа объект-микрометра ОМ-О:
- длина основной шкалы, мкм.
11.3 Подтверждение диапазона измерений линейных размеровПодтверждение диапазона измерений линейных размеров проводят в ходе проведения первичной поверки по п. 11.2, используя специальную меру ширины и периода МШПС-2.0К, предназначенную для передачи единицы длины в нанометровом диапазоне (от 397 до 2002 нм) и объект-микрометра ОМ-О, предназначенного для передачи единицы длины в микрометровом диапазоне.
Устанавливают факт измерения каждого установленного i-ro линейного размера меры МШПС-2.0К и объект-микрометра ОМ-О в пределах нормированных значений погрешности измерений линейных размеров , определенных согласно п.12.2 настоящей методики поверки. Полученные значения диапазона измерений линейных размеров должны удовлетворять требованиям, приведенным в п.12.3.
12 Подтверждение соответствия средства измерений метрологическим требованиям-
12.1 Значения предельного разрешения, определенные с помощью программного обеспечения микроскопа согласно п. 11.1, должны быть не более значений, указанных в таблице 4.
Таблица 4 - Нормированные значения разрешения
Наименование характеристики |
Значение характеристики |
Разрешение (при оптимальном рабочем расстоянии в зависимости от вакуумного режима и типа детектора), нм, не более: | |
- высокий вакуум в камере, детектор вторичных электронов, ускоряющее напряжение 30 кВ |
1,0 |
|
3,0 |
в камере, детектор вторичных электронов, ускоряющее напряжение 30 кВ |
1,3 |
- низкий вакуум в камере, детектор вторичных электронов, ускоряющее напряжение 3 кВ |
3,0 |
-
12.2 Для определения относительной погрешности измерений линейных размеров оценивают случайную и систематическую составляющие относительной погрешности измерений i-ro линейного размера меры МШПС-2.0К или объект-микрометра ОМ-О.
Для каждого цикла измерений по п.11.2 и п.11.3 вычисляют среднее арифметическое значение каждого определяемого линейного размера меры МШПС-2.0К или объект-микрометра ОМ-О по формуле
~N,= —---
(12.1)
п
где jy ‘ результат j-ro измерения i-ro линейного размера, нм (мкм);
п - число измерений, (п>5)
По результатам п измерений i-ro линейного размера рассчитывают среднее квадратическое отклонение (СКО) среднего арифметического (оценки измеряемой величины) i-ro линейного размера меры МШПС-2.0К или объект-микрометра ОМ-О по формуле

(12.2)
За оценку случайной составляющей относительной погрешности измерений i-ro линейного размера меры МШПС-2.0К или объект-микрометра ОМ-О принимают относительное СКО случайной составляющей погрешности , определяемое по формуле

•100%.
(12.3)
Для оценки систематической составляющей относительной погрешности измерений i-ro линейного размера меры МШПС-2.0К или объект-микрометра ОМ-О вычисляют модули разности между j-ым измеренным значением i-ro линейного размера - ДГ , и его значением, приведенным в свидетельстве о поверке меры МШПС-2.0К или объект-микрометра ОМ-О -N.
<12-4>По полученным разностям определяют среднее значение
___ | Л
Ас/ и^Ас//’
" у=1
(12.5)
За оценку систематической составляющей абсолютной погрешности измерений i-ro линейного размера с учетом погрешности определения установленного значения i-ro линейного размера меры МШПС-2.0К или объект-микрометра ОМ-О - Д , принимают значение, рассчитываемое по формуле
Дс1=±(|дС1|+1д..,|)-(12.6)
Оценку систематической составляющей относительной погрешности измерений i-ro линейного размера определяют по формуле
X =А&-100%. N.
(12.7)
Определение относительной погрешности измерений i-ro линейного размера меры МШПС-2.0К или объект-микрометра ОМ-О проводят расчетным путем согласно ГОСТ Р 8.736-2011 «ГСИ. Измерения прямые многократные. Методы обработки результатов измерений. Основные положения».
Относительную погрешность измерений i-ro линейного размера меры МШПС-2.0К или объект-микрометра ОМ-О вычисляют по формуле

(12.8)
где К~ коэффициент, зависящий от соотношения случайной и систематической составляющих погрешности;
<5 - оценка суммарного СКО результата измерения.
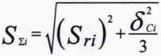
Суммарное среднее квадратическое отклонение оценки измеряемой величины вычисляют по формуле

(12.9)
Коэффициент JQ вычисляют по формуле


(12.10)
где t - коэффициент Стьюдента, который при доверительной вероятности Р=0,95 в зависимости от числа измерений п находят по таблице, приведенной в ГОСТ Р 8.736, (например, t (п=5; Р=0,95)=2,776).
-
12.3 Полученные значения относительной погрешности измерений каждого i-ro линейного размера меры МШПС-2.0К и объект-микрометра ОМ-О, рассчитанные согласно п.12.2, и диапазон измерений линейных размеров поверяемого микроскопа должны соответствовать значениям, приведенным в таблице 5.
Таблица 5 - Метрологические характеристики микроскопа
Наименование характеристики |
Значение характеристики |
Диапазон измерений линейных размеров
|
от 300 нм до 2 мкм от 300 нм до 1 мм |
Пределы допускаемой относительной погрешности измерений линейных размеров, % |
±3 |
-
13.1 Результаты поверки микроскопа заносят в протокол поверки, форма которого приведена в рекомендуемом приложении А, или оформляют протоколом произвольной формы.
-
13.2 Положительные результаты поверки оформляют в соответствии с «Порядком проведения поверки средств измерений, требования к знаку поверки и содержанию свидетельства о поверке», утвержденным Приказом Минпромторга России № 1815 от 02.07.2015 г. (с учетом Приказа Минпромторга РФ от 28 декабря 2018 г. № 5329 «О внесении изменений в приказ Минпромторга РФ от 2 июля 2015 г. № 1815») или в соответствии с порядком, действующим на момент проведения поверки.
Знак поверки наносится на свидетельство о поверке в виде оттиска клейма.
-
13.3 В случае отрицательных результатов поверки поверяемый микроскоп признают непригодным к применению в сфере государственного регулирования обеспечения единства измерений и оформляют результаты в соответствии с действующим порядком.
Разработчики:

А.В. Собина

Н.А. Ким
Зав. лабораторией 223 УНИИМ - филиала
ФГУП «ВНИИМ им. Д.И. Менделеева»
Ведущий инженер лаб. 223 УНИИМ - филиала
ФГУП «ВНИИМ им. Д.И. Менделеева»
ПРИЛОЖЕНИЕ А
(рекомендуемое)
ФОРМА ПРОТОКОЛА ПОВЕРКИ
Наименование организации, проводившей поверку
Аттестат аккредитации, №__________
ПРОТОКОЛ ПОВЕРКИ №___
от «__»_____________20__г.
Наименование и тип СИ_______________________________________________________
Принадлежит_____________________________________________________________
Зав. №, дата выпуска_______________________________________________________________
Регистрационный номер в ФИФ ОЕИ:__________________________________________
Изготовитель____________________________________________________________________
Проверка проведена в соответствии с документом МП 94-223-2020 «ГСИ. ГСИ. Микроскоп сканирующий электронный Quattro S. Методика поверки».
Средства поверки:_________________________________________________________________
Условия поверки:
-
- температура окружающей среды, °C
-
- относительная влажность воздуха, %
РЕЗУЛЬТАТЫ ПОВЕРКИ
А. 1 Внешний осмотр____________________________________________________________
Проверка по п.8 настоящей методики проведена с положительным (отрицательным) результатом.
А.2 Опробование_____________________________________________________________
Проверка по п.9 настоящей методики проведена с положительным (отрицательным) результатом.
А.З Проверка программного обеспечения____________________________________________
Идентификационное наименование и номер версии ПО, наименование модулей интерфейса ПО поверяемого микроскопа Quattro S соответствуют (не соответствуют) заявленным.
Проверка по п.10 настоящей методики проведена с положительным (отрицательным) результатом.
А.4 Определение метрологических характеристик
А.4.1 Проверка разрешения
Результаты проверки разрешения приведены в таблице А.4.1
Таблица А.4.1
Наименование характеристики |
Значение характеристики, нм |
Нормированное значение, нм, не более |
Разрешение (при оптимальном рабочем расстоянии в зависимости от вакуумного режима и типа детектора):
|
1,0 | |
вторичных электронов, ускоряющее напряжение 1 кВ - низкий вакуум и сверхнизкий вакуум естественной среды в камере, |
3,о | |
детектор вторичных электронов, ускоряющее напряжение 30 кВ - низкий вакуум в камере, детектор |
1,3 | |
вторичных электронов, ускоряющее напряжение 3 кВ |
3,0 |
Проверка по п. 11.1 настоящей методики проведена с положительным (отрицательным) результатом.
А.4.2 Проверка относительной погрешности измерений линейных размеров
Результаты измерений i-ro линейного размера меры МШПС-2.0К или объект-микрометра ОМ-О и проверки относительной погрешности измерений линейных размеров в соответствии с п.11.2 методики поверки, приведены в таблице А.4.2.
Таблица А.4.2
Метрологическая характеристика меры МШПС-2.0К (или объект-микрометра ОМ-О) и ее установленное значение, нм (мкм) | |||||
Результаты измерс линейного, нм |
ший i-ro (мкм) | ||||
1 |
2 |
3 |
4 |
п=5 | |
Среднее значение i-ro линейного размера, , нм (мкм) | |||||
СКО среднего i-ro линейного размера, , нм (мкм) | |||||
СКО случайной составляющей отн. погрешности измерений i-ro линейного размера, $, % | |||||
Систематическая составляющая абс. погрешности измерений i-ro линейного размера, До , нм (мкм) | |||||
Систематическая составляющая отн. погрешности измерений i-ro линейного размера, , % |
Окончание таблицы А.4.2
Коэффициент | |
Суммарное СКО результата измерений, $ , % | |
Относительная погрешность результата измерений i-ro линейного размера, §, % | |
Нормированное значение относительной погрешности измерений линейных размеров, % |
±3% |
Полученные значения относительной погрешности измерений линейных размеров не превышают (превышают) допускаемых пределов.
Проверка по п. 11.2 проведена с положительным (отрицательным) результатом.
А.4.3 Подтверждение диапазона измерений линейных размеров
Диапазон измерений линейных размеров с использованием специальной меры ширины и периода МШПС-2.0К (для нанометрового поддиапазона) объект-микрометра ОМ-О (для микрометрового поддиапазона) соответствует (не соответствует) заявленному в описании типа.
Проверка по п.11.3 проведена с положительным (отрицательным) результатом.
Заключение:Микроскоп Quattro S, зав. № 9953401, признан пригодным (непригодным) к применению.
Выдано свидетельство о поверке (извещение о непригодности) №________от______.
Срок действия свидетельства до_________________.
Поверитель ________________ ______ _____
(подпись) (Ф. И. О.)
Организация, проводившая поверку____________________________________