Методика поверки «гси.МАНОМЕТРЫ АБСОЛЮТНОГО ДАВЛЕНИЯ ТИПА МПА-15» (мп 2238-92)

c
П. Кузнецов
1992 г.

<
РЕКОМЕЕДАЦ ЕЯ
Государственная система обеспечения единства измерений. Манометры абсолютного давив- . ния типа МПА-15.
Методика метрологической ат
тестации и< поверки. МИ 3 - 92
Дата введения 1992г.
Настоящая рекомендация распространяется на манометры абсолютного давления типа МПА-15 кл.0-,01 и (5,02 ж устанавливает методику их метрологической аттестации; «• периодической поверки.
Технические характеристики^термины и определения приведены в приложение I. . .
Настоящая рекомендация- регламентирует также контроль метрологических характеристик манометров в течение межповерочного интервала ( приложение 2 )•
I. МЕТАЛОГИЧЕСКАЯ АТТЕСТАЦИЯ МАНОМЕТРОВ.
Метрологическая аттестация, распространяется на определение основных метрологических параметров манометров,необходимых и достаточных для воспроизведения значения .абсолютного давления с требуемой точностью согласно уравнению измерений ( см. приложение I ).
I.I.Операции метрологической аттестации.
При проведении метрологической аттестации выполняют операции, приведенные в табл.-. I.
Таблица I.
Г — ——------— —■——............. Наименование операции |
Методика проведения операции. |
Определение разности эфекФивных площадей |
п. 1.5.2. |
Определение разности эфективных площадей Я - |
п. I.-5.4; |
Определение разности эффективных площадей ^"44 i |
п. 1.5.5., |
Определение массы грузов |
п. 1.6. |
Оценка погрешности аттестаций |
п. 1.7. |
1.5 . Проведение аттестации.
■ 1.5.I. Опробование.
Привод манометра должен обеспечивать вращение поршневой системы с частотой вращения не менее 30 об/мин.
При открытии измерительной и сравнительной камер манометра на атмосферу поршневую систему устанавливают вблизи нулевой отметки с колебаниями не более 0,5 дел» шкалы..
При выведении поршневой системы от нулевого положения вверх и вниз она должна возвращаться в нулевое положение с отклонениями не более - 0,5 дел.шкалы.
Герметичность измерительной системы манометра должна обеспечи.-. вать откачку из обеих камер ( сравнительной и измерительной ) до остаточного давления Рост <0,1 мм.рт.ст.
При уравновешивании избыточного давления до Ри= 300 кПа поршневая система должна перемещаться вдоль оси плавно,без заметных заеданий и скачков.
-
1.5.2. Разности эффективных площадей силопередающего и компенси рующего поршней определяют двумя, способами:
-
- путем создания одинакового-разрежения в1 обеих камерах маномет ра;
-
- путем создания одинакового избыточного давления в обеих камерах манометра.
1-й способг
Обе камеры откачивают при помощи насоса до остаточного давления Р ост = 0,5-1 мм.рт.ст.,которое контролируют по термопарному вакуумметру ВТ-3.установленному на аттестуемом манометре.Затем насос отключают и наблюдают положение поршневой системы.В случае нарушения равновесия на поршни накладывают или снимают разновесы массой до
приведения поршневой системы в нулевое положение,установленное при атмосферном давлении в обеих камерах.
Разность эффективных площадей ( см^) вычисляются по формуле:
( I )
Значение разности положительно,если разновес при восстановлении равновесия снимали,и отрицательно,если разновес накладывали.
Измерения проводятся пятикратно.По' их результатам вычисляют среднее значение разности площадей.
, Примечание. Последовательность первых трех операций определяется примененными образцовыми средствами.
-
1.2. Средства метрологической аттестации.
Грузопоршневой барометр типа БП-Iy кл* 0,005 или манометр абсолютного давления МАД-ЗМ кл, 0,005,а также другие манометры абсолютно го давления класса точности не хуже 0,005.
Деформационный манометр типа Ж кл» 0,6 с^в.п.и.160 кПа. Манометр абсолютного давления типа МПА-15 кл. 0,01 с в.п.и.
400 кПа...
-
1.3. Условия .проведения аттестации.
Метрологическую аттестацию проводят при соблюдении следующих условий: ’ ■
Температура окружающего воздуха,С : 20 + 5.
Влажность окружающего воздуха.,% : 80.
Атмосферное'давление воздуха,кПа ( мм.рт.ст.) не менее 96
( 720)" и не более 102 ( 770 ).
Манометры не должны’ распологаться вблизи от отопительных систем или других источников тепловых воздействий и сквозняков.
Разность уровней верхнего торца поршня барометра и нижнего торца измерительного поршня манометра или нижних торцев поршней манометров МАД и МПА не должна превышать - 50 мм.
-
1.4. Подготовка к аттестации.
-
1.4.1. Сличаемые манометры подключают к источникам разрежения
и избыточного давления,которые должны обеспечивать плавное регулирование давления в диапазоне от минус .ТОО кПа до 300 кПа.
-
1.4.2. Аттестуемый манометр должен быть установлен в рабочем положении с отклонением оси поршневой системы от вертикали не более 30н.
-
1.4.3. Оба манометра должны быть выдержаны при температуре помещения ,в котором проводится аттестация,не менее 6 часов.
-
1.4.4. Поверхности поршней манометра,выступающие из цилиндров должны быть тщательно очищены от натеков масла при помощи салфетки, не оставляющей на поверхностях ворса.
-
1.4.5. Поверхности грузов,применяемых при сличениях,должны быть сухими и чистыми,без следов пыли и масла.
где
- среднее
q ускорение силы тяжести;-
" все разновеса,тс.;
Ь = 1000 гс/ei/ -среднее значение величины атмосферного давления в средних широтах страны;
Г| = 5 - число измерений.
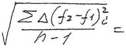
Вычисляют среднее квадратическое отклонение результатов измерений
жил с - каждое
С -о е .значение массы, г; значение массы-из измерений, г;
где
Допускаемое значение среднего квадт должно превышать 3^.^ ЗЛО”5 cir сятся в протокол ( приложение 3)»
2-й способ.
ср . •
этического отклонения не .
Результаты измерений вно-
В обеих камерах манометра создают избыточное давление Ри?=1кгс/см2 которое контролируют по манометру типа МО кл. О,6.Если равновесие поршневой системыустановленное при атмосферном давлении в обеих камерах,нарушается,то для его восстановления накладывают или снимают разновесы массой ЖИЛ ♦ В момент уравновешивания источник избыточного давления отключают.
Разность эффективных площадей ( см^
р
г и
Значение разности положительно,если разновес при восстановлении
. равновесия накладывается^ отрицательно,если разновес снимается.
Измерения производятся пятикратно.По их результатам
среднее значение разности площадей
(1- J <) ■ 1
вычисляют по' формуле
ВЫЧИСЛЯЮТ
ср /1' Ри
обеих
камерах.
Вычисление- $ (^-,0 й его' Допускаемое значение I - .му спо со бу. Результаты измерений вносятся в протокол
аналогичны
( прило

определяют одним из двух способов:
-
- путем сличения аттестуемого манометра с барометром высшего разряда на разрежении:;
-
- сличением аттестуемого манометра с манометром высшего разряда на избыточном давлении»
-
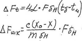
1.5.4.» По первому методу разность эффективных площадей определяют путем непосредственного сличения с образцовым грузопоршневым барометром типа БП -> 1у кл* 0.,005 по результатам измерения разрежения.
Верхнюю ( сравнительную) камеру манометра МПА-15 с помощью шлангов и тройника соединяют с барометром и системой для плавного ре туширования разрежения.На грузоприемную тарелку грузопоршневого барометра накладываются грузы,маеса которых соответствует заданному разрежению.При помощи регулировочного вентиля в системе создают- разрежение, при котором' поршень^барометра устанавливается в нулевое положение.Для уравновешивания созданного разрежения соответствующие ему грузы накладывают на грузоприемную тарелку манометра МПА-15. При ■этом допускается отклонение поршневой системы манометра от нулевого положения на + Jg де Л. шкалы.
Разность эффективных площадей вычисляют по формуле

/\ >— S— 7 9 ■" —1 " XAV X' ЛХЧХАХХХЧ-» 4XXJX X У UK? XX f • •
/7) Г,
r aft при уравновешивании от номинальных значений;
-
- поправка на разность температур поршневых пар барометра, и' манометра;
-
- поправка на отклонение поршневой системы
манометра от нулевого положения-,
- масса грузев,накладываемых на поршень барометра и ее номинальное значение.,г;
F^ = I ,см^ - номинальная' эффективная площадь поршня барометра;
С - цена деления шкалы манометра,г/дел.
ГХо”Л) - отклонение поршневой системы от нулевого положения, дел. ;
1,2.10 1/град. - коэффициент линейного расширения материала поршневых пар.
Масса грузов 5 и /7).^ должна быть известна с погрешностью не более 0,002 %.
Проводят 5 серии наблюдений,по 5 измерений в каждой серии
‘ ( включая прямой и обратный ход ) ,при- следующих номинальных значениях массы грузов.,.накладываемых на грузоприемную тарелку барометра, Ж = 900,950 и 1000 г, т.е.. ко личе ст во измерений /О = 25.
Перед каждой серией и после ее проведения производят проверку нулевого положения поршней барометра и манометра.
Вычисляют среднее значение разности площадей по формуле
( F-1 ) =
^2.0 •' И
\ ■ J’7<^xo ■ и )
где * ( F-каждое из значений,определенное по формуле (• во всех сериях;
h = 25 - число измерений.
Среднее квадратическое отклонение вычисляют по формуле

Л-7
значение раз
Доверительный интервалов котором находился среднее ности площадей,определяют по формуле
Л, -
И Ду
где £ - квантиль распределения Стьюдента.
При (д = 25 и доверительной, вероятности В 0,98 квантиль рас пределения 4^ = 2,5 ,поэтому среднее квадратическое отклонение
при К/ I \ ^- 0,001 % не должно превышать
Разность эффективных площадей (вычисляют по формуле
,?./• " + (н-р) у., 'V ■
Полученные результаты- -заносят в протокол ( .приложение 4 .) и в свидетельство о метрологической аттестации манометра (приложение ? ) . ■■ ■ ■ ' ■ ■ ' '
-
1.5.5. По второму Msie^r разность эффективных площадей; определяют путем непосредственного сличения с манометром абсолютно?-го давления типа МАД-3 или МА.Д-ЗМ кл. 0,00’5. по результатам измере-~ ния избыточного давления.-
Нижние (’ измерительные ) камеры манометров МАД и МПА. при помо-
• щи шлангов и тройника соединяют с системой для. плавного регулировав ния избыточного давления,а верхние (сравнительные ) камеры сообщает с атмосферным давлением;При. помощи манометра МАД-3 или МАД-ЗМ устанавливают избыточное давление ( методика измерения давления -изложена в "Техническом. описании и инструкции по эысплуатацииЛ|10919-00 ТО’ на указанные приборы ) ..Для уравновешивания созданного давления на грузоприемную тарелку манометра МПА-15 накладывают соответствующие этому давлению грузы.Щри этом, допускается отклонение- поршневой системы-манометра от нулевого положения на + 10 дел.шкалы.
Разности площадей вычисляют по формуле (f4«L » №• -J-)-* + Л 10 )
±2,004
где
2. о
• m
-разность площадей,приведенная к ъ = 20°С;
-
- масса грузов,наложенных при уравновешивании на поршень манометра МПА-15,г;
£
= Ри.133,322 ' - избыточное давление,установленное по манометру МАД-3,Па ( Рй - тоже,в мм.рт.ст.).
u J* . - плотность воздуха и материала грузов соответствен-• но,г/см?;
-
- ускорение силы тяжести в месте измерений,м/с^ ;
Ри
поправка на температуру поршневой системы манометра МПА-15 ,см^;:
- поправка на отклонение поршневой системы манометра от. нулевого положения,^^ ; Примечание.Если масса'грузов манометра МАД-3 подогнана под нормальное ускорение силы тяжести,то пеРвнй-
член формулы в правой частив
. А
Масса грузов ГН должна быть известна с погрешностью не более 0,001 % для кл.т.0,01 и 0,002 % для кл*т.0,02.
Проводят 5 серий наблюдений,по 5 измерений в каждой серии ( включая прямой и.' обратный ход ) при следующих номинальных значе -нйях избыточного давления,устанавливаемого по манометру МАД-3
( МА.Д-ЗМ ) ,Р^= 750, 1000 и< 1250 мм.рт*ет* ( 100,130 и 160 кПа) . Общее количество измерений составляет h = 25.
Перед каждой серией й?после ее проведения производят проверку нулевого положения обеих приборов*
2о , среднее квад-
Среднее значение разности площадей
ратическое отклонение и доверительней интервал
вычисляются в соответствии с формулами (7 ), ( 8 ) ’.и ( 9 ) Значение не должно превышать 0,002 %.
Разность элективных площадей
вычисляют по формуле
Полученные результаты заносят в протокол измерений (приложение 5 ) ив свидетельство о метрологической аттестации ’ ( приложение 7 ) .
1.6. Определение массы грузов.
Массу грузов при измерении давления в Па вычисляют по формуле
(II)
-
- масса груза,соответствующая давлению Р,кг
-
- разность площадей измерительного и компенсирующего поршней, приведенная к температуре -fc = 20°С, w ;
-
- местное ускорение силы тяжести, м/с^ ( допускается расчет массы груза под-Нормальное ускорение силы тяжести
fl H= 9,80665 м/<й;
Р'- номинальное значение давления,создаваемого грузом,Па ; pg - плотность воздуха* кг/м^ ;
Р - плотность материала,из которого изготовлены грузы,кгЛД t Массу грузов( кг) ,которые рассчитаны под номинальное давление в единицах "мм. рт.ст.", следует вычислять по формуле
m = 4 (3 33 4 25 ■•/о-2
( 12 )
где F - номинальное значение давления,мм.рт.ст.; у - разность площадей,см^;;
1,33342.
■ ускорение силы тяжести, м/с^; ■■ JF/v ‘
♦ 10“^ - переводной коэффициент, рассчитанный с учетом *- 0,0012 г/с}Р ( при атмосферном давлении
" . . у ; 745+ 25 мм.р^ст.) и р = 7,8 г/сьР ( для стальных . Ji грузов )i • ’ ■ . . '
Массу грузов ( кг) ,которые рассчитаны под номинальное давление в единицах пгПа” ( мбар )следует вычислять по формуле
где Р - номинальное значение давления,гПа' I мбар );
1,000154.10’^ - переводной коэффициент,рассчитанный с учетом значений и? р по формуле (12 )
В табл.2 приведены результаты расчета массы и допускаемые откло -
нения для комплекта грузов в пмм, рт. ст.и, в табл.З - для комплекта грузов в ” гП а1’ ( мбар ) .При этом принято =2 см^,
Я = 9,80665 м/cF^n =0,002 %. 4
Таблица 2.
Обозначение груза, мм.рт.ст. |
Масса груза,’ г, |
Допускаемое отклонение массы грузов,г. |
500 |
1359,715 |
+ 0,025 |
100 |
■ 271,943 |
+ 0,005 |
50 |
■ 135,972 |
+ 0,003 |
10 |
27,194 |
+ 0,002 |
5 |
13,597 |
+ 0,002 . |
I |
2,719 |
+ 0, ,002 —------ |
IO.
" ’ ’ Об означение груза, гПа мбар |
Масса груза, г. |
Допускаемое отклонение массы грузов,г. |
500 |
, >19,872 |
+ 0,020 |
100 .<•■ г. |
± 0,004 | |
50 |
101,987 |
+ 0,002 |
10 |
20,394 |
+ 0,002 |
5 |
10,199 |
+ 0,002 |
. I- |
2,039 |
+’0,002 |
Если разность площадей • аттестуемого манометра и мест
ное ускорение силы тяжести отличаются от номинальных, значений,принятых при расчёте значений массы грузов,то поправки рассчитывают по
формулам
ч *
(14 )
u.
где ИП н ’
(Ч<) ■
-
- расчетное значение массы грузе в, указанные в.табл.2 и 3,г;
-
- разность площадей манометра,определенная при его аттестации, см^ ;
= 2 ci^- номинальное значение разности площадей,см^;
\ J /Н л ■ ■■ / 2
CL -местное ускорение силы тяжести-,м/с;
= 9,80ь65 м/с • - нормальное ускорение силы,тяжести. , ■
Проверку действительной массы грузов на соответствие расчетным
значениям производят по ГОСТ 8*479-82 ж допускаемым ^отклонениям,указанным в табл. 2 и 3 по п*1*6,
Г97. Оценка погрешности аттестации.
Оценку метрологических характеристик аттестуемого манометра
МПА.-15 производят путем сравнивания его ■ показаний с показаниями манометра того же--.типа и разряда, отобранного для данных целей предпри-• ятием-изготовителем,по результатам измерений абсолютного давления. Измерения производятся при давлениях ’Р = 100, 500, 1000, 2000 ( 15, 75, I5O, -300-и 400. кПа)
. Величина давле-
и 3000 мм.рт.ст.
ния,измеряемого каждым из манометров,.определяется 'по Формуле*(I) ,
приложение ^.Измерение производится 5-кратно.
По результатам Измерений вычисляются значения отклонений показа -ний на каждой точке
= У'Усреднее значение отклонений показаний
(,Р '
и среднее квадратическое отклонение •
15 )
. где и\.. - абсолютные давления,измеренные отобранным 1 .нителъным )
и аттестуемым манометрами
на
точке;-
ш =5 - число измерений на каждой отметке/ ' Результаты измерений заносятся в протокол,приложение
.Таблица 4.
р а |
КР с> | ||||||
мм.рт.ст.. |
кПа |
ММ^рТг-ст. |
кПа |
мм,рт. ст, |
кПа |
% | |
100 |
15 . |
0,07 |
0,010 |
0,0.25 |
0,0035 | ||
500 |
65 |
0,15 |
0,020 |
- |
0,05 |
о.;оо7 | |
1000 |
• 130 |
0,15 |
0,020 |
0.,£15 |
0,05 |
0,0075 |
0,005 |
2000 |
. 300 . |
0,30 |
0,040? |
0,015 |
0,10 |
0,15 |
0,005 |
3000 |
400 |
0,45. |
0,060 |
ода |
0,15 |
0,020 |
0,005 |
В % указаны'значения отклонений от измеряемой величины абсолютного давления.
При удовлетворении требований табл.4 с доверительной вероятностью Рд= 0,95. .погрешность манометра не будет превышать нормированных значений.В противном случае измерения необходимо повторить.
1.8. Оформление результатов метрологической аттестации.
-
I.8.I. При положительных результатах метрологической аттестации7 выдается свидетельство по форме приложения 7.
1*8.2. При отрицательных результатах метрологической аттестации выдается извещение б? непригодности манометра с указанием причин забрано вания *
■ 2. ПЕШЖЖКАН НОЖКА.
. При поверке определяют основные метрологические характеристики одним из следующих, методов:'
. ' - непосредственного сличения показаний поверяемого манометра
с манометром высшего разряда;
- одновременного сличения показаний трех манометров одинакового класса точности.
2.1.Операция поверки.’ •
При проведении поверки должны'быть выполнены операции,указанные в табл.5 .
’ ' Таблица 5.
Наименование операции |
Методика проведения операции. |
' Внешний осмотр |
п. 2.4. |
Опробование |
п. 2.3. |
Определение метрологических харак- . теристик методом сличения с манометром высшего разряда |
п. 2.5.1. |
, Определение метрологических характеристик методом тройного сличений" манометров |
п. 2.5.2. |
-
2.2. Средства поверни.
Манометр абсолютного- давления МАД-ЗМ кл.0.005 или другой манометр абсолютного давления класса точности не хуже 0,005;
. Манометр абсолютного давления МПА-15 кл,0.01;
Образцовые весы 2ч*и 3-го разрядов с пределами взвешивания I и 5 кг по ГОСТ 24104-80.
-
2.3. Условия поверки,подготовка к ней и опробование должны соответствовать требованиям пн. 1.3; 1.4'ж 1.5.I.
-
2.4. При внешнем осмотре должно быть установлено соответствие поверяемого манометра требованиям- ГОСТ 8.479-82,.
-
2.5.. Определение метрологических.-'характеристик.
-
3.5.1. Определение метрологических характеристик методом сличения' с манометром высшего разряда путем сравнения показаний поверяемого и образцового манометров по результатам измерений абсолютного-давления на отметках 100:; 500; 1000; >2000 и 3000 мм/рт.ст.
(15; 65;130; 25(У. и 400 кПа) .
При поверке манометра Ш1А--15 кл* 0,01 применяется манометр МАД-ЗМ вл, 0,005, при по верки-, манометра МПА-15 кл, 0,02 применяется манометр МПА-15 кл, 0,01*Ме'тодика измерений для манометра-ШД-ЗМ -согласно ТО 10919-00, для- манометра МПА-15 - согласно паспорта АБД2,832,802 ПС и- требованиям настоящей рекомендации.
Проводят 5 серий наблюдений ( прямой и обратный ход )-,Количество измерений на каждой поверяемой отметке П=-10. -
Если поверяемый манометр МПА-15 предназначен для измерения избыточного давления,то определение метрологических характеристик проводится также на избыточном давлении согласно вышеуказанному. По результатам измерений вычисляют значения-^ отклонения показаний на каждой отметке-’
среднее значение отклонений на каждой отметке
-др- , ■ ( к) .
и среднее квадратическое отклонение на каждой отметке
'С17 )
где индексы я1" и
п2"
образцовый и поверяемый манометры етвенно;
•количество измерений на каждой отметке.
соответ-
п = 10
Величины &Рер 11 S1 не должны превышать' значений,указанных в табл^-.
Таблица 6.
мм.рт.ст. |
f кПа. |
?— ■' 1 1 | |||
■ ра |
3 |
1 >5 Г. а |
£хр-ср | ||
класс точности 0,0Т ; | |||||
■ 100 |
0,0SP |
■ 0,015 |
■ 15 |
0,006 |
0,002 |
500 |
0,10 |
• 0,03 |
65 |
0,013 |
0,004 |
1000 |
0,10 |
0,03 |
130 |
0,013 |
0,004 |
2000 |
0,20 |
0,07 |
250 . |
0,025 |
0,008 |
3000 |
0,30 |
0,10 |
400 |
0,040 |
0,013 |
класс точности 0,02 | |||||
100 |
0,10 |
0,03 |
15 |
0,012 . |
0,004 |
500 |
0,20 |
0,06 |
65 |
0,025 |
0,008 |
1000 |
0,20 |
0,06 |
130 . |
0,025 |
0,008 |
2000 |
6,40 |
0,13 |
'250 |
0,050 |
0,016 |
3000 |
0,-60 |
0,20 |
400 |
0,080 |
0,026 |
Результаты измерений заносят в протокол.
Порог реагирования определяют в процессе измерении путем наложения на грузоприемную тарелку поверяемого манометра разновеса мае-cot 50 мг при давлениях,равных атмосферному давлению и верхнему пределу измерений ( 3000 мм£рт.ст. или 400. кПа ) При этом на шкале отсчетного устройства должно произойти заметное на глаз перемещение указателя.При снятии разновеса прежнее положение равновесия .; должно восстановиться.
Оформление результатов поверки.
При положительных результатах поверки на манометр выдается свидетельство по установленной форме.Оборотная сторона свидетельства заполняется по форме приложения 8.
При отрицательных результатах проводят выявление вызвавших их возможных причин-,среди которых в первую очередь следует проверить в соответствии с-паспортом работоспособность манометра ( порог реа -пирования, герметичность сравнительной камеры,биение поршневой системы,чистоту поверхностей поршней и грузов ) ,а также провести продувку соединительной линии между поверяемым и образцовым манометрам-ми.
Затем согласно п.1.5.2, настоящей Рекомендации проводят опреде -
ление неравенства площадей й его соответствия значению,
указанному,в свидетельстве о метрологической аттестации.
И,наконец,согласно ГОСТ 8Д7-9-82,п.З.З<6. проводится проверка соответствия действительных значений массы грузов расчетным значениям,указанным в свидетельстве о метрологической аттестации.В зависимости от полученных результатов проводится повторная поверка или ' принимается решение о непригодности манометра.
При наличии возможностей целесообразно также провести дополнительную поверку при помощи • другого образцового манометра абсолютного . давления.В случае выявления существенных расхождений результатов поверок оба образцовых манометра -цодвергаются поверке
по п.2.5.2,.
методом
-
2.5,2, Определение метрологических характеристик сличения одновременно трех манометров.
давления одно-
Метод основан на сравнении- результатов измерения
временно тремя манометрами одинаковой точности ( кл.0,01 или кл.0,02 ) Процедура измерений аналогична д,3.6.При реализации ме* . тода требуется ^именение устройства для подключения к регулируемому источнику абсолютного давления трех манометров-.,находящихся в. одинаковых условиях,как внешних,так И! по. параметрам' соединительных линий ( длина,внутренний диаметр ) ,которые не содержат вентелей и других сопротивлений.
Результаты каждого измерения сравниваются попарно
-
-
- РсЗ
-
- Ш
п.2,5.1, вычисляются на всех поверяе-
й РС2А =
и для каждой пары аналогично
мых ■ отметках средние- отклонения показаний ^Еср,г” fi?opzb , Р и- средние квадратические отклонения 5 } £ гъ f 5 и
Полученные результаты, должны удовлетворять требованиям табл. 6
Средние квадратичеекиё погрешности каждого из манометров определяют по формулам:

Сумма.-значений средних отклонений показаний на. каждой- отметке должна удовлетворять условию
v ^2-Ъ ' 1
что свидетельствует об отсутствии дополнительных системетических погрешностях при -сличениях
При: положительных результатах поверки свидетельство о метрологической аттестации иродлеваёшея на 6 месяцев^Обптий срок действия свидетельства не должен' февшать^летТ^Т^^гд,
При отрицательных результатах поверки проводят выявление причин отказов аналогично П.2.-5Д* итв случае, невозможности их устранения свидетельство аннулируется*

' D Йа/
<2< П£)>'0
ПРИЛОЖЕНИЕ I
Справочное.

Образцовые манометры-абсолютной© давления ША-15 кл.0,01 и 0 £2 изготавливаются по ТУ50-6.2-Ж
НАШЧЕИИЕ.
Манометры предназначены.для поверки манометров абсолютного давления и барометрических приборов ( барометров,барографов,высотомеров и:, др,) нл, 0,05 и. ниже,применяемых в авиационной технике,гидрометеослужбе ждругих отроелях науки и1 техники.

Манометр- о'снован на преобразовании величины абсолютного давления, действующе! на поршневую систему,® силу и ее уравновешивании ве сом грузов.Методика измерений установлена в техническом описании на манометр.
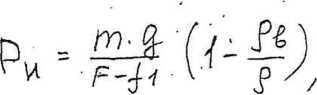
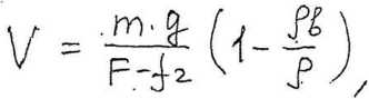
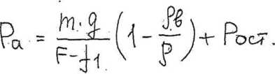
0Ш0ШЕ УРАВНЕНИЯ ИЗМЕРЕНИИ.
Величина абсолютного давления определяется по формуле:

избыточного давления по формуле:

разряжения
отрицательного избыточного давления
( 2 )
по формуле;

где обозначено ( см*рис. I ) :
- масса грузов,накладываемых на поршневую систему для достижения равновесия,кг.
F - эффективная площадь измерительного поршня,ъ?,
и - эффективные площадж кошшнсирующего и силопередающего поршней,м^, ускорение силы тяжести в месте измерений, м/с^, р^и р - плотности воздухаи материала грузов,кг/см^. Рост.” о^аточное давление в сравнительной камере,Па.
В атмосферное давление за время измерений,Па.
Величина 3-его члена правой части уравнения ( I ) может быть определена по графику ( рис-,4 ).
.ОСНОВНЫЕ ПАРАМЕТРЫ..
Основными метрологическими параметрами поршневой измерительной
системы (
(F-W
константами уравнений измерений) являются:
-
- разность эффективных площадей измерительного и компенсирующего поршней;
-
- разность эффективных площадей измерительного и: силопе-редающевег поршней;
-
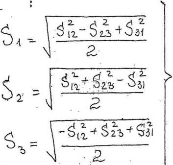
- разность эффективных площадей силопередающего и компенсирующего поршней.
Параметры связаны между собой очевидным соотношением:

(д-v С ~ (у'Jz) ^2 с.г^г - Q смг

OtOO{ «чг -
При соблюдений этих требований формула ( I) принимает вид

МЕТРОЛОГИЧЕСКИЕ ХАРАКТЕРИСТИКИ
Манометр® типа МПА-15 имеют следующие метрологические характерно тики (ем-. таблицы № I ц 2 ).
а) при подгонке массы грузов под давление в мм рт.ст. Таблица
Класс точности |
Диапазон измерений, мм рт.ст. |
Погрешность | |
мм рт.ст. |
% | ||
0-150 |
0,05 |
- | |
0,01 |
150-1000 |
0,1 |
- |
1000-3000 |
- |
0,01 | |
0-150 |
0,05 | ||
0,02 |
150-500 |
0,1 |
- |
500-3000 |
- |
0,02 |
б) при подгонке грузов под давление в кПа Таблица 2
Класс точности |
Диапазон измерений, кПа |
Погрешность | |
гПа |
% | ||
0-20 |
0,06 |
( | |
0,01 . |
20-100 |
0,1 |
- |
100-400 |
- |
0,01 | |
0-20 |
0,06 |
- | |
0,02 |
20-50 |
0,1 |
- |
50-400 , |
- |
0,02 - ........... |
Примечание. Относительная погрешность нормируется в % от измеряемого давления.Значение абсолютной погрешности во всем диапазоне приведено на рис. 3,4
ПОДГОНКА МАССЫ ГРУЗОВ.
Масса грузов подсчитывается по формулам:
- для давления,измеряемого в мм.рт.ст.
Vn' 1, ззз zz- (
-
- масса груза,кг; -абсолютное давление,мм.рт.ст.;
-
- разность эффективных площадей измерительного к омпенсирующего поршней, с^г;;
-
- местное ускорение силы тяжести,.м/с^„
i ■
- для
: давления,измеряемого в кПа где Ра- абсолютное давление,кПа, остальные обозначения.прежние.
КОМПЛЕКТАЦИЯ ГРУЗОВ.
расчетных пмм.рт.*ст.” и'"idla",приведены в таблице 3.
Комплекты грузов и допускаемые отклонения их массы от значений, по догнанных под "
•>
Таблица 3.
Единица давления, мм.рт.ст. |
Допускаем, отклонение массы, г. |
Кол* ■ шт* |
■Единица давления, кПа |
Допуск, отклонение массы, г. |
Кол. шт., |
500 |
+ 0,020 |
5 |
50 |
+ 0,020 |
7 |
100 |
+ 0,005 |
4 |
10 |
+ 0,004 |
4 |
50 |
+ 0‘, 002 |
I |
5 |
+ 0,002 |
I |
10 |
+ 0,001 |
4 |
I |
+ 0,001 |
4 |
5 |
t 0,001 |
I ’ |
0,5 |
± 0,001 |
I |
I |
± 0,001 |
5 . |
0,1 |
± 0,001 |
5 |



ПРИЛОЖЕНИЕ 2.
Рекомендуемое.
*
КОНТРОЛЬ МЕТРОЛОГИЧЕСКИХ ХАРАКТЕРИСТИК.
Контроль метрологических характеристик распространяется на находящиеся в обращении манометры абсолютного давления МПА-15 кл.0,01 и кл.0,02 и проводится в период между очередными поверками манометров с целью обеспечения их надежности в процессе эксплуатации.
-
I. Операции контроля.
При контроле метрологических э^рактеристик манометров в зависимости от вида измеряемого давления проводят операции,приведенные в табл.1.
Таблица I.
Наименование операции |
Методика проведения операции. |
Определение метрологических характеристик по результатам измерений: абсолютного давления |
п.3.1. |
избыточного давления |
п.3.2. |
разрежения |
п.3.3. |
-
2, Методы и средства контроля.
Контроль метрологических характеристик производят методом сравнения показаний двух однотипных манометров-МПА-15 кл.0,01 и кл.0,02.
В результате контроля проводят оценку среднего отклонения показаний и разброса показаний от среднего отклонения сравниваемых манометров: в условиях их эксплуатации согласно паспорту АБД2.832.802 ПС.
3* Проведение контроля метрологических характеристик.
-
3.1. Контроль метрологических характеристик по результатам измерений абсолютного давления производят по упрощенной методике,аналогичной методике п.1.5.7.,путем сравнения показаний двух однотипных манометров.
Измерения .проводят при давлениях Ра= 100, 1000 и 3000 мм.рт.ст. ( 15,150 и 400 кПа) при прямом и обратном ходе.На последней отметке дается 10% перегрузка.
Проводят две серии измерений.Общее количество измерений; на каждой отметке = 4.
Примечание.Если манометры предназначены для.измерений в суженном по .сравнению с указанном выше диапазоне,то контролируемые отметки следует равномерно располагать внутри этого- диапазона.'
По результатам измерений вычисляют значения отклонений показаний на жаждой отметке
W?t * P|Lz " Рм '
среднее эна^е.ние'-о'склонений на каждой отметке
2 Л Р/
и размах показаний на каждой о.тметке h
СМак
Здесь обозначено:
количество
-^наибольшее отклонение от среднего значения; 1; - количество изме] Величины (\iGp и
в табл.2.

Таблица 2.

р а |
(_ Мак 1 | ||||
мм.рт.ст. |
кПа |
- мм.рт.ст. |
1тт кПа |
мм.рт.ст. |
кПа |
класс точности 0,01 | |||||
100 |
. 15 |
0,07 |
0,010 |
0,05 |
0,007 |
1000 |
150 |
0,15 |
0,020 . |
0,10 |
0,015 |
3000 |
400 |
0,45 |
. 0,060. |
0,30 |
0,040 |
класс точности 0,02 | |||||
100 |
15 |
0,15 |
0,02 |
0,1 |
0,015 |
1000 |
150 |
.0,30 |
0,04 |
0,2 |
0,030 |
3000 |
400 |
0,90 |
0,12 |
0,6 . |
0,080 |
-
3.2. Контроль метрологических характеристик по результатам измерений избыточного давления производят аналогично п.3.1.
-
3.3. Контроль метрологических характеристик по результатам измерений разрежения в отличие от п.3.1 и п* 3.2. про водят на отметках
100, 500 и 750 MWpT^CT# ( 15,65 и ЮОкПа )'•
-
3.4. Контроль метрологических характеристик проводят при возникновении сомнений в результатах измерений,но не реже одного раза в месяц.Если результаты контроля не удовлетворяют требованиям табл.2-, то контроль проводят повторно и при отрицательных результатах проводится внеочередная поверка в соответствии с п. 2.
Приложение 3
Рекомендуемое
ПРОТОКОЛ № от ___________199__ г.
Манометр абсолютного давления типа МПА-15, заводской № ____
изготовлен .. __________________
(дата изготовления)
-
1. Операции исследований. Определение неравенства площадей силопередающего и компенсирующего поршней, п. I.6-.2. МИ- 2238 -92.
-
2. Методика исследований - по п. 1.6.2.
-
3. Экспериментальные-данные и результаты их обработки.
Таблица I
Результаты определенная (^2~^) на разрежении по <п. 1.6.2., 1-й способ.
№ № п/п |
l (г) |
(etc) |
(съг) |
(съп) |
|
- - - - .. | |||
Среднее значение неравенства площадей
- -^1-...
\ u ./ /7
Среднее квадратическое отклонение неравенства площадей
Примечание. Отклонения неравенства площадей от среднего зна
Таблица 2
Результаты определения на избыточном давлении
ио\Т.1.6.2., 2-й способ
№ № п/п Ж-.- |
с (г) |
(съг) |
(сьг) |
(см*) |
| ||||
2 |
Среднее значение неравенства . площадей

Среднее квадратическое отклонение неравенства площадей


4* ВЫВОДЫ. Результаты определения неравенства площадей удовлетворяют (не удовлетворяют) требованиям п. 1.6.2.
Значение (^J'i)ap внесено в свидетельство о метрологической аттестации (в извещение о непригодности).
Исполнители: |
должность, подпись, фамилия, инициалы |
2'9.
Приложение #
Рекомендуемое
Манометр абсолютного давления типа МПА-15, завод. № ______
(дата изготовления)
-
1. Операции исследований. Определение параметров
и по методу "А", п. 1.6.3., МИ >238
-
2. Методика исследований - по п. 1.6.3.
-
3. Экспериментальные данные и результаты их обработки.
Таблица I Экспериментальные данные
№ № серий, дата, время |
■ Z>? (г) |
1 щ (г). |
(г) |
£°С) |
.......7 "Т ZT Лу (°C) |
Хо-К (дел.) |
I |
3 |
4 |
5 |
6 |
7 | |
I |
900 950 IQQOx) 950 900 | |||||
• | ||||||
5 |
900 950 Ю00ж) 950 900 |
■ |
При атмосферном давлении В < 735 мм рт.ст. допускается дру' гое значение /77^, но не менее значения, соответствующего атмосферному давлению 720 мм рт.ст.

Таблица 2
№ № серий |
Д£>/ (см2) |
(см^) |
(см2) |
(см^) |
(см2) |
(см4) |
J |
2 |
3 |
4 |
•5 |
6 |
7 ’ |
I | ||||||
ti—' | ||||||
5 |
> 1 *• | |||||
Среднее значение разности площадей

Среднее квадратическое отклонение разности площадей

Значение разности площадей
-
4. Выводы. Результаты определения разности площадей (/-/г) удовлетворяют (не удовлетворяют) требованиям п. 1.6.3. Значения (/цД) и (Лу/ ) внесены в свидетельство о метрологической аттестации (извещение о непригодности).
Исполнители: ____________________________
должность, подпись, фамилия,
. инициалы
Приложение 5
Рекомендуемое
ПРОТОКОЛ № от ____________J99__ г.
Манометр абсолютного давления типа МПА-15, завод. № ______
изготовлен __
(дата изготовления)
-
1. Операции исследований. Определение параметров (А//) и
(F-^o) по методу "Б", п. 1.6.4., МИ--223§ -92.
-
2. Методика исследований - по iU. 1.6.4.
-
3. Экспериментальные данные и результаты их обработки.
Таблица I
№ № серий, дата, время |
ps 1 (мм рт.ст.) |
рр (Па) |
т (г) |
(°C) |
■ - 1 .......HR Рг X (дел) |
I |
•2 " |
3 |
4 |
5 |
6 |
I |
750 1000 1250 1000 750 | ||||
Г’ 1 *....... |
/• | ||||
а | |||||
5 |
750 1000 1250 1000 750 |
Таблица 2
Результаты обработки экспериментальных данных
7 № № |
Д At |
Д Ршк |
(^)г 1 | |||
серий 1 |
(см^) |
(см^) |
(см^) |
(см^) |
(см^) |
(см4) |
= I |
2 |
3 |
4. |
■ 5 |
6 |
7 |
I 1 1 1 1 . | ||||||
Г'’ jjj. | ||||||
5 | ||||||
Значение разности площадей, определяемое массой, п. 1.6.4. формула (9)
Среднее значение разности площадей

Среднее квадратическое отклонение разности площадей
Значение разности площадей
(?'£) = 6е "Л)- zР2-
4. Выводы. Результаты определения разности площадей (Л^/у) удовлетворяют (не удовлетворяют) требованиям п. 1.6.4. Значения (/■^) И (Л-/2) внесены в свидетельство о метрологической аттестации (извещение о непригодности).
Исполнители: _____________________________
(должность, подпись, фамилия, инициалы)


Приложение 6
Рекомендуемое
ПРОТОКОЛ №
от _______________199__ г.
Манометр абсолютного давления типа МПА-15 завод. № ____
изготовлен
(дата изготовления)
-
1. Операции исследований. Оценка погрешности аттестации,
п. 1.6.6. МП 2258 - 92.
-
2. Методика исследований - по п. 1.6.6.
-
3. Экспериментальные данные и результаты их обработки.
Таблица I
Экспериментальные данные
Дата, время |
N° № серий |
Р~ви |
Pi. 2. | |
I |
2 |
3 |
4 1 |
5 |
I |
100 500 1000 2000 3000 |
t |
Гг • | |
5 |
100 500 1000 2000 3000 |
г |
Таблица 2
Результаты обработки экспериментальных данных
№ серий |
~ &Р=р. |
С^рс &рср/) |
^P | ||
I |
2 |
±1 |
4 |
5 |
6 |
100 |
| ||||
! |
wT |
Z(Afw4 | |||
500 |
|
1 .4 • | |||
1Л НН ■ ■ | |||||
1000 |
|
1 | |||
йруЛГ’” Я?’’ | |||||
2000 |
| ||||
Шр h |



Продолжение табл. 2
N |
№ № серий |
дрс. 1 |
- Др<4 | ||
'' I |
2 |
3 |
4 |
5 |
6 |
3000 |
3 4. 5 | ||||
•Г |
ZsPd |
11 1......• ■ |
4. Выводы. Результаты определения Др^ и ёр соответствуют (не соответствуют) требованиям п. 1.6.6»
Исполнители: _________:____ должность, подписё, фамилия, инициалы
Приложение 7
Рекомендуемое
(наименование организации, проводящей аттестацию)
СВИДЕТЕЛЬСТВО №
от ____________199__ г.
о метрологической аттестации
абсолютного давления типа МПА-15

принадлежащего ____________________________________________
(наименование предприятия или организации)
Назначение манометра. Манометр предназначен для поверки и градуировки манометров абсолютного давления, барометров, высотомеров и других барометрических приборов классов точности 0,02 и ниже в диапазоне давлений от 0 до 3000 мм рт.ст. (от 0 до 400 кПа).
Результаты метрологических исследований.
Разность эффективных площадей измерительного и компенсирующего поршней


Разность эффективных площадей измерительного и силопередающего поршней


Неравенство эффективных площадей

__см^.
По результатам метрологической аттестации, протоколы № № ______ от __________199__ г., манометр абсолютного давления признан соответствующим требованиям технических условий ________
Поверку проводить в соответствии с МИ • 2238 -92.
Поверку провести не позднее ____________199__ г.
М.П.
Руководитель предприятия (метрологической организации), проводившего аттестацию
(подпись, фамилия, инициалы)

J

Рекомендуемое.
H P: М,- А
заполнения оборотной стороны свидетельства--о-поверке.
'л
Основные результаты и выводы.
-
1. Среднее арифметическое отклонение показаний др^ не
превышает допускаемого значения _______ *
-
2. Среднее квадратическое отклонение показаний; б не
превышает допускаемого значения _______ •
-
3. Результаты поверки подтверждают метрологический статус манометра,основные метрологические параметры,указанные в .свиде-
■ тельстве о метрологической аттестации корректировки: не требуют.