Методика поверки «Системы температурного и вибрационного контроля ,,Профи-ТВКР,, » (МП 2063-001-2014)
УТВЕРЖДАЮ льный директор
А.А.Ларионов /Г 2015г.
УТВЕРЖДАЮ
директора
Л.К.Исаев
< 2015г.
МП 2063-001-2014
. (Ы£) 18-- А5г. Санкт-Петербург
Настоящая методика поверки распространяется на системы температурного и вибрационного контроля «ПРОФИ-ТВКР» (далее по тексту - ПТК «ПРОФИ-ТВКР»), изготовитель ООО «ПромАвтоматика», г. Санкт-Петербург, применяемые для контроля и учёта температурных и вибрационных параметров.
Настоящая методика устанавливает порядок проведения первичной и периодической поверок.
Рекомендуемый интервал между поверками - 12 месяцев.
1 Операции поверки
При проведении поверки должны быть выполнены операции, указанные в таблице 1. Поверка может быть прекращена при выполнении любой операции, в результате которой получены отрицательные результаты.
Таблица 1
|
Наименование операции |
Номер пункта методики поверки |
Проведение операции при | |
|
первичной поверке |
периодической поверке | ||
|
1 Внешний осмотр |
7.1 |
Да |
Да |
|
2 Проверка электрической прочности изоляции |
7.2 |
Да |
Нет |
|
3 Проверка сопротивления изоляции |
7.3 |
Да |
Да |
|
4 Опробование |
7.4 |
Да |
Да |
|
5 Определение погрешности измерительных каналов |
7.5 |
Да |
Да |
2 Средства поверки
-
2.1 При проведении поверки рекомендуется применять средства поверки, указанные в таблице 2.
Таблица 2
|
Номер пункта методики поверки |
Наименование и тип (условное обозначение) основного или вспомогательного средства поверки; обозначение нормативного документа, регламентирующего технические требования и (или) метрологические и основные технические характеристики средства поверки ' |
|
7.2 |
Измеритель параметров электробезопасности электроустановок MI 2094 i Испытательное напряжение переменного тока при проверке на электрическую прочность от 0,1 до 5 кВ, погрешность установки испытательного напряжения от 2 до 3 %, мощность до 500 В А |
|
7.3 |
Измеритель параметров электробезопасности электроустановок Ml 2094 Испытательное напряжение постоянного тока при измерении сопротивления изоляции от 250 до 1000 В, диапазон измерений от 0,001 до 999 МОм. ‘ погрешность измерений от 3 до 10 % или Тераомметр цифровой Щ404-М1 Испытательное напряжение постоянного тока от 1,5 В до 1.5 кВ. диапазон измерений от 1 МОм до 100 ГОм. погрешность измерений от 1 до 5 % |
|
7.4 1 |
Калибра гор универсальный 114-7 ; Диапазон воспроизведения напряжения постоянного тока от 0.1 мкВ до 1000 В, погрешность от 0,002 до 0.0035 %; диапазон воспроизведения силы ; постоянного тока от 0,1 нА до 30 А, погрешность от 0,004 до 0,05 % ! Мера электрического сопротивления многозначная МС 3055 (Госреестр № 42847-09) Калибратор многофункциональный и коммуникатор BEAMEX МС6 (-R) ; (Госреестр № 52489-13) Генератор сигналов произвольной формы 33220А Диапазон установки частоты от 1 мкГц до 20 МГц, погрешность установки частоты 0.002 % |
|
7.5 i i 1 i 1 1 I i i i |
Калибратор универсальный 114-7 Диапазон воспроизведения напряжения постоянного тока от 0.1 мкВ до 1000 В, погрешность от 0.002 до 0.0035 %; диапазон воспроизведения силы постоянного тока от 0,1 нА до 30 А. погрешность от 0,004 до 0.05 % Мера электрического сопротивления многозначная МС 3055 (Госреестр № 42847-09) Калибратор многофункциональный и коммуникатор BEAMEX МС6 (-R) (Госреестр № 52489-13) Генератор сигналов произвольной формы 33220А Диапазон установки частоты от 1 мкГц до 20 МГц, погрешность установки частоты 0.002 % Усилитель мощности У7-5 ; Диапазон частот от 0 до 2 МГц. коэффициенты усиления 1. 2. 5. 10; выходная мощность на нагрузке 20 Ом - 10 Вт на переменном токе Мультиметр В7-84 |
Диапазон измерений и погрешность: напряжение постоянного тока - от 0 до 1000 В. от 0,002 до 0,004 %; сила постоянного тока - от 0 до 12,5 А, от 0,02 до 0,03 %
-
2.2 Допускается применение других средств поверки, обеспечивающих определение метрологических характеристик ПТК «ПРОФИ-ТВКР» с требуемой точностью.
-
2.3 Все средства поверки должны быть исправны и иметь действующие свидетельства о поверке, а оборудование - аттестаты.
3 Требования к квалификации поверителей
К выполнению поверки допускаются лица, аттестованные в качестве поверителя.
Поверитель должен изучить руководство по эксплуатации и описание программного обеспечения ПТК «ПРОФИ-ТВКР», настоящую методику поверки и иметь опыт работы на персональном компьютере.
4 Требования безопасности
При проведении поверки должны соблюдаться требования безопасности по ГОС Т 12.3.019-80, а также требования, изложенные в «Правилах технической эксплуатации электроустановок потребителей» и «Правилах техники безопасности при эксплуатации электроустановок потребителей», утвержденных в установленном порядке.
Заземление ПТК «ПРОФИ-ТВКР» производится через заземляющие элементы, расположенные внутри корпуса ГТГК.
5 Условия поверки
При проведении поверки должны соблюдаться следующие условия:
температура воздуха (20±5) °C:
относительная влажность воздуха от 30 до 80 %;
атмосферное давление от 84 до 106 кПа.
6 Подготовка к поверке
-
6.1 Подготовить к работе средства поверки в соответствии с требованиями их эксплуатационной документации.
-
6.2 Выдержать ПТК «ПРОФИ-ТВКР» в помещении, где проводится поверка, в течение не менее двух часов.
-
6.3 Подготовить ПТК «ПРОФИ-ТВКР» к работе в соответствии с требованиями его эксплуатационной документации.
-
7 Проведение поверки
7.1 Внешний осмотр
При внешнем осмотре ПТК «ПРОФИ-ТВКР» проверить:
-
• соответствие комплектности ПТК «ПРОФИ-ТВКР» требованиям, приведенным в разделе «Комплектность» паспорта;
-
• отсутствие механических повреждений, наличие и целостность наружных деталей;
-
• исправность соединительных кабелей;
-
• соответствие маркировки ПТК «ПРОФИ-ТВКР» требованиям, приведенным в разделе «Маркировка и пломбирование» руководства по эксплуатации, и ее разборчивость.
ПТК, не удовлетворяющий предъявляемым требованиям, бракуется, его дальнейшая поверка не проводится.
7.2 Проверка электрической прочности изоляции
Электрическую прочность изоляции ПТК «ПРОФИ-ТВКР» проверить между закороченными контактами 1 и 2 клеммника ХТ1 и элементом защитного заземления ПТК «ПРОФИ-ТВКР» (при включенном автоматическом выключателе QF1) на переменном токе.
ПТК «ПРОФИ-ТВКР» при этом должен быть отключен от сети переменного тока.
Проверку необходимо проводить в следующей последовательности:
-
• Подключить закороченные контакты 1 и 2 клеммника ХТ1 ПТК «ПРОФИ-ТВКР» к высоковольтному выходу измерителя параметров электробезопасности.
-
• Подключить элемент защитного заземления ПТК «ПРОФИ-ТВКР» к заземленному выходу измерителя параметров электробезопасности.
-
• Включить питание измерителя параметров электробезопасности.
-
• Плавно увеличить испытательное напряжение от нуля до 1500 В.
-
• Выдержать ПТК «ПРОФИ-ТВКР» под воздействием испытательного напряжения в течение 1 минуты.
ПТК «ПРОФИ-ТВКР» считать выдержавшим проверку, если отсутствует пробой, то есть внезапное возрастание тока в цепи источника испытательного напряжения.
В противном случае ПТК «ПРОФИ-ТВКР» дальнейшей поверке не подвергается, бракуется и направляется в ремонт.
7.3 Проверка сопротивления изоляции
Электрическое сопротивление изоляции ПТК «ПРОФИ-ТВКР» проверить между закороченными контактами 1 и 2 клеммника ХТ1 и элементом защитного заземления ПТК «ПРОФИ-ТВКР» (при включенном автоматическом выключателе QF1) на постоянном токе.
ПТК «ПРОФИ-ТВКР» при этом должен быть отключен от сети переменного тока.
Проверку необходимо проводить в следующей последовательности:
-
• Подключить закороченные контакты 1 и 2 клеммника ХТ1 и элемент защитного заземления ПТК «ПРОФИ-ТВКР» к соответствующим выходам измерительного устройства.
-
• Включить питание измерительного устройства.
• Измерить электрическое сопротивление изоляции при напряжении 500 В. Показания измерительного устройства снимать по истечении 1 минуты после приложения напряжения.
ПТК «ПРОФИ-ТВКР» считать выдержавшим проверку, если сопротивление изоляции ПТК «ПРОФИ-ТВКР» не менее 20 МОм.
В противном случае ПТК «ПРОФИ-ТВКР» дальнейшей поверке не подвергается, бракуется и направляется в ремонт.
7.4 Опробование
-
7.4.1 Перед опробованием ПТК «ПРОФИ-ТВКР» должен быть включен и выдержан во включенном состоянии не менее 0,5 часа.
Опробование провести для следующих типов каналов:
ИК преобразования сигналов абсолютного или относительного виброперемещения для датчиков с токовым выходом «0 - 20 мА»;
ИК преобразования сигналов термопреобразователей сопротивления «НСХ 10011 а = 0,00391».
-
7.4.2 Для опробования ИК преобразования сигналов абсолютного или относительного виброперемещения для датчиков с токовым выходом «0 - 20 мА» подключить калибратор универсальный Н4-7 к контактам 1а и lb клеммника ХЗ.З ПТК «ПРОФИ-ТВКР» в режиме калибратора постоянного тока.
При подключении калибратора следует учитывать полярность - контакт 19 соответствует знаку «+».
Установить на выходе калибратора ток 1о, равный 10 мА.
Контролировать значение тока по показаниям канала 1 на ЖК-панели.
Провести серию из десяти измерений и зафиксировать результат I. имеющий наибольшее по абсолютной величине отклонение от значения 10 мА.
Зафиксировать в протоколе поверки значение абсолютной погрешности А в точке 10 мА, определяемое по формуле
А = I - 1о-
-
7.4.3 Для опробования ИК преобразования сигналов термопреобразователей сопротивления «НСХ 100П а = 0,00391» подключить меру электрического сопротивления многозначную МС 3055 или калибратор многофункциональный и коммуникатор BEAMEX МС6 (-R) к контактам la, lb и 1с клеммника Х4 ПТК «ПРОФИ-ТВКР».
Меры подключаются к входам ПТК «ПРОФИ-ТВКР» по трехпроводной схеме контакт 1а соответствует выводу одинарным проводом, контакты lb и 1с - выводу двойным проводом.
Установить значение меры, равное 222.82 Ом, соответствующее температуре tu. равной 325 °C.
Контролировать значение температуры и сопротивления по показаниям канала 1 на ЖК-панели.
Провести однократное измерение и зафиксировать результат t этого измерения.
Зафиксировать в протоколе поверки значение абсолютной погрешности А в точке 325 °C, определяемое по формуле
А = t -10-
7.5 Определение погрешности измерительных каналов
Перед определением погрешности измерительных каналов (далее - ПК) следует включить ПТК «ПРОФИ-ТВКР» и выдержать во включенном состоянии не менее 0,5 часа.
-
7.5.1 Определение погрешности ИК при измерении абсолютного или
относительного виброперемещения для датчиков с токовым выходом «О - 20 мА» и для датчиков с вольтовым выходом «-10..10 В», ИК частоты проводится методом
прямого измерения поверяемым ПТК «ПРОФИ-ТВКР» соответствующей величины, воспроизводимой эталоном.
-
7.5.1.1 Проверка каждого ИК осуществляется в точках Х„ соответствующим 0, 20. 40. 80, 100% измерительного диапазона.
Обозначения клеммников ПТК «ПРОФИ-ТВКР» и их контактов, к которым подключаются используемые при поверке средства измерений, приведены в технической документации на ПТК «ПРОФИ-ТВКР».
-
7.5.1.2 Для измерительных каналов относительных и абсолютных виброперемещений провести измерения для частот 1, 3, 10, 50, 100, 160, 200, 450, 1000, 2000, 5000, 7000, 10000 Гц.
-
7.5.1.3 В каждой проверяемой точке X провести 10 измерений с интервалом не менее 5 секунд.
Зафиксировать в протоколе поверки значения X,, представляющее собой результат этих измерений;
-
7.5.1.4 Для каналов измерения частоты вращения зафиксировать в протоколе поверки значение абсолютной погрешности рассчитываемой по формуле:

-
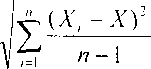
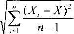
7.5.1.5 Для каналов измерения вибрации зафиксировать в протоколе поверки значение относительной погрешности рассчитываемой по формулам:

А'
-
7.5.1.6 Полученные значения погрешностей не должны превышать указанных в технической документации на ПТК «ПРОФИ-ТВКР».
-
7.5.2 Определение основной погрешности в режиме работы с термопреобразователями сопротивления (ТС).
Погрешность определяют при пяти значениях измеренного сигнала, соответствующих 0, 25, 50, 75, 100 % диапазона измерений.
-
7.5.2.1 В системе устанавливают тип НСХ и диапазон измерений в режиме работы с термопреобразователями сопротивления.
-
7.5.2.2 Подключают меру электрического сопротивления многозначную МС 3055 или калибратор многофункциональный и коммуникатор BEAMEX МС6 (-R) к соответствующим клеммам системы.
-
7.5.2.3 С эталонного прибора воспроизводят значение нормируемого сигнала,
соответствующее первой контрольной точке (в соответствии с типом НСХ по ГОСТ 66512009). '
-
7.5.2.4 После стабилизации показаний на ЖК-дисплее поверяемой системы, снимают их.
-
7.5.2.5 Повторяют операции по гтп. 7.5.2.3-7.5.2.4 для остальных контрольных точек.
-
7.5.2.6 Рассчитывают основную приведенную погрешность для каждой поверяемой точки.
Полученные значения погрешностей не должны превышать указанных в технической документации на ПТК «ПРОФИ-ТВКР».
-
7.5.3 Определение основной погрешности в режиме работы с термоэлектрическими преобразователями (ТП).
-
7.5.3.1 В системе устанавливают тип НСХ и диапазон измерений в режиме работы с термоэлектрическими преобразователями.
-
7.5.3.2 Подключают калибратор многофункциональный и коммуникатор ВЕАМЕХ МС6 (-R) с термоэлектродными удлинительными проводами, соответствующие требованиям ГОСТ 8.338-2002 к соответствующим клеммам системы.
-
7.5.3.3 С эталонного прибора воспроизводят значение нормируемого сигнала, соответствующее первой контрольной точке (в соответствии с типом НСХ по ГОСТ Р 8.585-2001).
-
7.5.3.4 После стабилизации показаний на ЖК-дисплее поверяемой системы, снимают их.
-
7.5.3.5 Повторяют операции по п.п. 7.5.3.3-7.5.3.4 для остальных контрольных точек.
-
7.5.3.6 Рассчитывают основную приведенную погрешность для каждой поверяемой точки.
-
Полученные значения погрешностей не должны превышать указанных в технической документации на ПТК «ПРОФИ-ТВКР».
8 Оформление результатов поверки
-
8.1 Результаты поверки ПТК «ПРОФИ-ТВКР» оформляются протоколом, рекомендуемая форма которого приведена в Приложении А.
-
8.2 Положительные результаты поверки оформляются свидетельством о поверке по форме, установленной ПР 50.2.006-94.
-
8.3 При отрицательных результатах поверки предыдущие «Свидетельство о поверке» аннулируется и на устройство выписывается «Извещение о непригодности».
ПРИЛОЖЕНИЕ А (рекомендуемое)
ФОРМА ПРОТОКОЛА ПОВЕРКИ
Протокол поверки
№_________от________
Наименование: Програмно-технический комплекс «ПРОФИ-ТВКР»
Заводской номер:
Условия поверки:
температура воздуха _________°C;
атмосферное давление _________кПа;
относительная влажность воздуха _________ %.
Документация:
Паспорт______
Руководство по эксплуатации___
Описание программного обеспечения_________________________
Методика поверки _________________________________________
Вид поверки:______________________
(первичная, периодическая)
Средства поверки
Результаты поверки
-
1 Внешний осмотр
-
2 Проверка электрической прочности изоляции (при периодической поверке не проводится)
-
3 Определение сопротивления изоляции
-
4 Подтверждение соответствия программного обеспечения
-
5 Опробование
а) Результаты опробования - ИК «О - 20 мА» б) Результаты опробования - ИК «НСХ 100П а = 0,00391»
-
6 Определение погрешности измерительных каналов Результаты определения погрешности приведены в таблицах №№.
-
7 Заключение
Программно-технический комплекс «ПРОФИ-ТВКР» заводской номер___
_______________________________ к применению.
(допускается, не допускается)
Поверитель _______
(Подпись)
(Фамилия, имя, отчество)
Дата поверки __________________
10
