Методика поверки «ГСИ Преобразователи давления измерительные СДВ-SMART » (МП 95-221-2013)
Уральский научно-исследовательский институт метрологии - филиал Федерального государственного унитарного предприятия «Всероссийский научно-исследовательский институт метрологии им. Д.И.Менделеева» (УНИИМ-филиал ФГУП «ВНИИМ им. Д.И.Менделеева»)
СОГЛАСОВАНО
УТВЕРЖДАЮ
И.о. директора УНИИМ - филиала
2020 г.
Собина
Генеральный директор

Преобразователи давления измерительные СДВ-SMART
Методика поверки МП 95-221-2013 с изменением № 1 Екатеринбург 2020 Предисловие-
1 Разработана: Уральский научно-исследовательский институт метрологии - филиал Федерального государственного унитарного предприятия «Всероссийский научно-исследовательский институт метрологии им. Д.И.Менделеева» (УНИИМ - филиал ФГУП «ВНИИМ им. Д.И.Менделеева»)
-
2 Исполнитель: М.В. Шипицына, старший инженер лаборатории 221 УНИИМ - филиала
ФГУП «ВНИИМ им. Д.И.Менделеева
-
3 Утверждена: ФГУП «УНИИМ» «18» марта 2015 г.
Изменение № 1 «22» декабря 2020 г.
СОДЕРЖАНИЕ
|
Государственная система обеспечения единства измерений ПРЕОБРАЗОВАТЕЛИ ДАВЛЕНИЯ ИЗМЕРИТЕЛЬНЫЕ СДВ-SMART Методика поверки с изменением №1 |
МП 95-221-2013 |
Дата введения« 22 » ,12 2020 г.
-
1 Область применения
-
1.1 Настоящая методика распространяется на преобразователи давления измерительные СДВ-SMART (далее - преобразователи), изготовленные АО «НПК ВИП», г. Екатеринбург и устанавливает методы и средства первичной, периодической и внеочередной поверок.
-
1.2 При проведении поверки должна обеспечиваться прослеживаемость преобразователей к ГЭТ 43-2013 «Государственный первичный эталон единицы давления в диапазоне 10 - 1600 МПа и эффективной площади поршневых пар грузопоршневых манометров в диапазоне 0,05 - 1 см2» и ГЭТ 23-2010 «Государственный первичный эталон единицы давления - паскаля» согласно государственной поверочной схеме для средств измерений избыточного давления до 4000 МПа, утвержденной приказом Федерального агентства по техническому регулированию и метрологии № 1339 от 29 июня 2018 г., или к ГЭТ 101-2011 «Государственный первичный эталон единицы давления для области абсолютного давления в диапазоне lxlO’1-^- 7*105 Па» согласно государственной поверочной схеме для средств измерений абсолютного давления в диапазоне 1-Г106 Па по ГОСТ Р 8.840-2013 или к ГЭТ 95-2020 «Государственный первичный специальный эталон единицы давления для разности давлений» по ГОСТ 8.187-76.
-
1.3 Допускается проведение периодической поверки многопредельных преобразователей (с функцией перенастройки диапазонов измерений) на настроенном (рабочем) диапазоне измерений в соответствии с заявлением владельца с обязательной передачей в Федеральный информационный фонд по обеспечению единства измерений информации об объеме проведенной поверки.
-
7.7, 7.2,1.3 (Измененная редакция, Изм. № 1)
1.4 (Исключен, Изм. № 1)-
1.5 Интервал между поверками пять лет.
-
2 Нормативные ссылки
-
2.1 В настоящей методике использованы ссылки на следующие нормативные документы:
-
ГОСТ 12.3.019-80 ССБТ Испытания и измерения электрические. Общие требования безопасности;
ГОСТ 12.2.007.0-75 ССБТ. Изделия электротехнические. Общие требования безопасности;
ГОСТ 22520-85 Датчики давления, разрежения и разности давлений с электрическими аналоговыми выходными сигналами ГСП. Общие технические условия;
МИ 187-86 ГСИ. Критерии достоверности и параметры методик поверки;
МИ 188-86 ГСИ. Установление значений параметров методик поверки;
Приказ Минтруда России от 24.07.2013 г. №328н Об утверждении Правил по охране труда при эксплуатации электроустановок;
Приказ Минпромторга России от 31.07.2020 г. №2510 Об утверждении порядка проведения поверки средств измерений, требований к знаку поверки и содержанию свидетельства о поверке;
Приказ Минпромторга России от 28.08.2020 г. №2907 Об утверждении порядка установления и изменения интервала между поверками средств измерений, порядка установления, отмены методик поверки и внесения изменений в них, требований к методикам поверки средств измерений.
2.1 (Измененная редакция, Изм. № 1)-
3 Операции поверки
-
3.1 При поверке преобразователя должны быть выполнены операции, указанные в таблице 1.
-
Таблица 1 - Операции поверки
|
Наименование операции |
Номер пункта МП |
Проведение при: | |
|
первичной поверке |
периодической (внеочередной) поверке | ||
|
1 Внешний осмотр |
8.1 |
4- |
+ |
|
2 Опробование |
8.2 |
+ |
+ |
|
3 Определение основной приведенной погрешности |
8.3 |
+ |
+ |
|
4 Определение вариации выходного сигнала |
8.4 |
+ |
+ |
-
3.2 В случае невыполнения хотя бы одной из операций по 3.1 настоящей методики установленным требованиям, поверка преобразователя прекращается.
-
4 Средства поверки
-
4.1 При проведении поверки применяют средства поверки, указанные в Таблице 1а.
-
Таблица 1а - Средства поверки
|
Наименование |
Метрологические и технические требования |
|
Манометр абсолютного давления МПА-15 |
Диапазон измерений от 0,133 до 13,3 кПа, пределы допускаемой основной абсолютной погрешности ±6,65 Па; диапазон измерений от 13,3 до 133 кПа, пределы допускаемой основной абсолютной погрешности ±13,3 Па; диапазон измерений от 133 до 400 кПа, пределы допускаемой основной относительной погрешности ±0,01 % (соответствует эталону единицы давления 1-го разряда по ГОСТ Р 8.840-2013) |
|
Калибратор давления пневматический Метран-505 Воздух-1 |
Диапазон измерений от 0,005 до 40 кПа, класс точности 0,02 (соответствует эталону единицы давления 1-го разряда по ГОСТ Р 8.802-2012 и 2-го разряда по ГОСТ 8.187-76) |
|
Наименование |
Метрологические и технические требования |
|
Калибратор-контроллер давления ЭЛМЕТГО- Паскаль АЗ 5 |
Диапазон измерений от 0 до 3,5 МПа, пределы допускаемой основной относительной погрешности ± 0,025 % ((40-100) % ДИ), пределы допускаемой основной приведенной погрешности ± 0,025 % ((0-40) % ДИ) (соответствует эталону единицы давления 1-го разряда по Приказу Госстандарта от 29.06.2018 № 1339) |
|
Калибратор-контроллер давления ЭЛМЕТГО- Паскаль А07/А01Р |
Диапазоны измерений от минус 0,1 до плюс 0,1 МПа, от 0 до 0,7 МПа, пределы допускаемой основной относительной погрешности ±0,025 % ((40-100) % ДИ), пределы допускаемой основной приведенной погрешности ± 0,025 % ((0-40) % ДИ) (соответствует эталону единицы давления 1-го разряда по Приказу Госстандарта от 29.06.2018 № 1339) |
|
Калибратор давления РАСЕ |
Диапазоны измерений избыточного давления от минус 1 до 2 бар, от минус 1 до 20 бар, от минус 1 до 172 бар, диапазоны измерений абсолютного давления от 0 до 3 бар, от 0 до 20 бар, пределы допускаемой абсолютной погрешности ±(0,005% ВПИ+0,005% измеряемой величины (ИВ) Па (соответствует эталону единицы давления 1-го разряда по Приказу Госстандарта от 29.06.2018 № 1339 и ГОСТ Г 8.840-2013) |
|
Манометр цифровой для абсолютного давления МТ-210 |
Диапазон измерений (0-130) кПа, пределы допускаемой погрешности ±(0,01 % от показания + 0,01 %ВПИ) (соответствует эталону единицы давления 1-го разряда по Приказу Госстандарта от 29.06.2018 № 1339 и ГОСТ Г 8.840-2013) |
|
Барометр образцовый переносной БОП-1М |
Диапазон измерений от 0,5 до 110 кПа, пределы допускаемой абсолютной погрешности ± 10 Па, диапазон измерений от 110 до 280 кПа, пределы допускаемой относительной погрешности ± 0,01 % (соответствует эталону единицы давления 1-го разряда по ГОСТ Г 8.840-2013) |
|
Манометр грузопоршневой Р3860-МРА |
Диапазон измерений (4-250) МПа, класс точности 0,015 (соответствует эталону единицы давления 1-го разряда по Приказу Госстандарта от 29.06.2018 № 1339) |
|
Мультиметр Agilent НР34401А |
Диапазон измерений (0-100) мВ, погрешность измерений ± (0,005 % ИВ + 0,0035 % ВПИ); диапазон измерений от 100 мВ до 1 В, погрешность измерений ± (0,004 % ИВ + 0,0007 % ВПИ); диапазон измерений от 1 до 10 В, погрешность измерений ± (0,0035 % ИВ + 0,0005% ВПИ), диапазон измерений от 10 до 100 В, погрешность измерений ± (0,0045 % ИВ +0,0006 % ВПИ). |
|
Мера электрического сопротивления однозначная МС3050 М |
Номинальное значение сопротивления 50 Ом, класс точности 0,002 |
|
Барометр-анероид контрольный М-67 |
Диапазон измерений (610-790) мм рт. ст., погрешность ±0,8 мм рт. ст |
|
Наименование |
Метрологические и технические требования |
|
Прибор комбинированный Testo 610 |
Диапазон измерения относительной влажности (15 - 85) %, погрешность ±2,5 %; диапазон измерения температуры от 0 °C до 50 °C, погрешность ± 0,5 °C |
|
Источник питания постоянного тока программируемый PST-3202 |
Диапазон воспроизведения напряжения постоянного тока (0,01-32,00) В, погрешность ±(0,005U+10mB) |
-
4.2 Эталоны, применяемые для поверки, должны быть поверены, если представлены средствами измерений утвержденного типа или аттестованы, если представлены средствами измерений неутвержденного типа. Средства измерений должны быть поверены, данные о их поверке должны быть внесены в Федеральный информационный фонд по обеспечению единства измерений.
-
4.3 Допускается использование средств поверки, отличающихся от указанных в 4.1, но обеспечивающих определение метрологических характеристик с требуемой точностью.
-
5 Требования к квалификации поверителей и технике безопасности
-
5.1 К проведению поверки допускаются лица, прошедшие обучение в качестве поверителей, изучившие
-
-
- эксплуатационную документацию на преобразователи;
-
- эксплуатационную документацию на средства поверки;
-
- настоящую методику поверки.
-
5.2 При поверке необходимо соблюдать общие требования безопасности по ГОСТ 12.3.019, ГОСТ 22520-85 и «Правила технической эксплуатации электроустановок потребителей» и «Правила техники безопасности при эксплуатации электроустановок потребителей».
-
5.3 К проведению поверки допускаются лица, имеющие квалификационную групп)7 по технике безопасности не ниже II в соответствии с «Правилами техники безопасности при эксплуатации электроустановок потребителей».
-
5.4 При проведении поверки должны быть соблюдены требования безопасности для изделий, относящихся к классу защиты от поражения электрическим током III по ГОСТ 12.2.007.0 и требования безопасности, указанные в ЭД на применяемые средства поверки.
-
5.5 Для обеспечения безопасности при работе по настоящей методике необходимо соблюдать следующие требования:
-
- рабочее место должно быть оборудовано надёжным заземлением с сопротивлением не более 4 Ом;
-
- преобразователи, средства поверки и вспомогательное оборудование должны быть заземлены в соответствии с требованиями ЭД;
-
- на рабочем месте должен обеспечиваться свободный доступ к средствам поверки и применяемому оборудованию;
-
- щупы средств поверки должны иметь наконечники из электроизоляционного материала и во время работы необходимо браться только за наконечники.
-
5.6 Запрещается соединять и разъединять электрические соединители и проводники в схеме внешних соединений без снятия питающего напряжения.
-
5.7 Для защиты преобразователей от воздействия статического электричества необходимо пользоваться браслетом, заземленным через резистор 1 МОм + 20 %. На рабочем месте должна вывешиваться табличка «БЕЗ БРАСЛЕТА С СОПРОТИВЛЕНИЕМ 1 МОм В ЦЕПИ ЗАЗЕМЛЕНИЯ НЕ РАБОТАТЬ».
-
6 Условия поверки
-
6.1 Поверка преобразователей должна осуществляться при следующих условиях:
-
-
1) температура окружающей среды, °C 23 ± 2;
-
2) атмосферное давление, кПа (мм рт.ст.) от 84 до 106,7
(от 630 до 800);
-
3) относительная влажность воздуха, % от 30 до 80.
-
4) напряжение питания постоянного тока в диапазоне от 6 до 42 В (для СДВ SMART-Ex - от 6 до 24 В). Номинальное значение напряжения питания и требования к источнику питания - в соответствие с технической документацией на преобразователь. Отклонение напряжения питания от номинального значения не более ±1 %, если иное не указано в технической документации на преобразователь;
-
5) рабочая среда - воздух или нейтральный газ при поверке преобразователей с верхними пределами измерений, не превышающими 2,5 МПа, и жидкость при поверке преобразователей с верхними пределами измерений более 2,5 МПа. Допускается использовать жидкость при поверке преобразователей с верхними пределами измерений от 0,4 до 2,5 МПа при условии тщательного заполнения жидкостью всей системы поверки. Допускается использовать воздух или нейтральный газ при поверке преобразователей с верхними пределами измерений более 2,5 МПа при условии соблюдения соответствующих правил безопасности;
-
6) колебания давления окружающего воздуха, вибрация, тряска, удары, наклоны, магнитные поля (кроме земного) и другие воздействия, влияющие на работу и метрологические характеристики преобразователя, должны отсутствовать;
-
7) импульсную линию, через которую подают измеряемое давление, допускается соединять с дополнительными сосудами, емкость каждого из которых не более 50 литров.
-
6.2 При поверке преобразователей разности давлений с приемными камерами для подвода большего давления («плюсовая» камера) и меньшего давления («минусовая» камера) значение измеряемой величины (разности давлений) устанавливают, подавая соответствующее значение избыточного давления в «плюсовую» камеру преобразователя, при этом «минусовая» камера сообщается с атмосферой.
При поверке преобразователей разности давлений с малыми пределами измерений для уменьшения влияния на результаты поверки не устраненных колебаний давления окружающего воздуха «минусовая» камера преобразователя может соединяться с камерой эталонного средства измерения (далее СИ), сообщающейся с атмосферой, если это предусмотрено в конструкции СИ. При поверке преобразователей разности давлений в «минусовой» камере может поддерживаться постоянное опорное давление, создаваемое другим эталонным задатчиком или основным задатчиком измеряемой величины с дополнительным блоком опорного давления.
При поверке преобразователей разрежения и давления-разрежения значение измеряемой величины допускается устанавливать, подавая с противоположной стороны чувствительного элемента преобразователей соответствующее значение избыточного давления, если это предусмотрено конструкцией преобразователя.
-
7 Подготовка к поверке
-
7.1 Перед проведением поверки преобразователя выполнить следующие подготовительные работы:
-
-
- выдержать преобразователь не менее 3 ч при температуре, указанной в п.6.1;
-
- выдержать преобразователь не менее 0,5 ч при включенном питании;
-
- установить преобразователь в рабочее положение с соблюдением указаний руководства по эксплуатации;
-
- проверить на герметичность в соответствии с п.7.2 систему, состоящую из соединительных линий для передачи давления, эталонных СИ и вспомогательных средств для задания и передачи измеряемой величины.
-
7.2 Проверка герметичности системы
-
7.2.1 Проверку герметичности системы рекомендуется совмещать с операцией определения основной приведенной погрешности.
-
Проверку герметичности системы, предназначенной для поверки преобразователей разности давлений, разрежения с верхними пределами измерений менее 100 кПа и преобразователей абсолютного давления с верхними пределами измерений более 250 кПа, проводят при значениях давления (разрежения), равных верхнему пределу измерений поверяемого преобразователя.
Проверку герметичности системы, предназначенной для поверки преобразователей давления-разрежения, проводят при давлении, равном верхнему пределу измерений избыточного давления.
Проверку герметичности системы, предназначенной для поверки преобразователей разрежения с верхним пределом измерений 100 кПа, проводят при разрежении, равном 0,9 -0,95 значения атмосферного давления.
7.2.1 (Измененная редакция, Изм. № 1)-
7.2.2 При проверке герметичности системы, предназначенной для поверки преобразователей (кроме преобразователей абсолютного давления с верхними пределами измерений 250 кПа и менее, герметичность системы которых проводят в соответствии с п.7.2.3), устанавливают заведомо герметичный преобразователь или любое другое средство измерений с погрешностью измерений не более 2,5 % от значений давления, соответствующих требованиям п.7.2.1 и равных верхнему пределу измерения, и позволяющее зафиксировать 0,5 % изменение давления от заданного значения.
Создают в системе давление, установившееся значение которого соответствует требованиям п.7.2.1, после чего отключают источник давления. Если в качестве эталонного СИ применяют грузопоршневой манометр, то его колонку и пресс также отключают.
Систему считают герметичной, если после трехминутной выдержки под давлением, равным или близким верхнему пределу измерений преобразователя, не наблюдают падения давления (разрежения) более чем на 0,5 % заданного значения давления в течение последующих 2 минут. При необходимости время выдержки под давлением может быть увеличено.
Допускается изменение давления (разрежения) в системе, обусловленное изменением температуры окружающего воздуха и рабочей среды в пределах ± (0,5-1)°С.
-
7.2.3 Проверка на герметичность системы, предназначенной для поверки преобразователей абсолютного давления с верхним пределом измерения 250 кПа и менее, должна проводиться следующим образом.
В системе для измерения малых абсолютных давлений создают давление не более 0,1 кПа. Предварительно на место поверяемого преобразователя устанавливают заведомо герметичный преобразователь. Поддерживают указанное давление в течение не менее 3 мин. Отключают 9
устройство, создающее абсолютное давление и, при необходимости, средство поверки. После выдержки системы в течение 3 мин изменение давления не должно превышать 0,5 % верхнего предела измерения поверяемого преобразователя.
7.2.3 (Измененная редакция, Изм. № 1)-
7.3 Собрать схему внешних соединений для преобразователей согласно рисунку А.1 приложения А.
-
7.4 Перед подключением преобразователей к схеме проверки установить номинальное значение напряжение питания - в соответствии с руководством по эксплуатации.
-
7.5 Подсоединить поверяемый преобразователь к системе подачи давления.
-
8 Проведение поверки
-
8.1 Внешний осмотр
-
При внешнем осмотре преобразователя установить:
-
- соответствие внешнего вида сведениям, приведенным в ОТ;
-
- отсутствие повреждений и дефектов, влияющих на работоспособность преобразователя;
-
- соответствие маркировки эксплуатационной документации;
-
- наличие заводского номера и года выпуска.
-
8.2 Опробование
-
8.2.1 При опробовании проверяют работоспособность преобразователя и
идентификационные данные программного обеспечения.
8.2.1 (Измененная редакция, Изм. № 1)-
8.2.2 Работоспособность преобразователя проверяют, изменяя измеряемое давление от нижнего предельного значения до верхнего, наблюдают изменение выходного сигнала.
Работоспособность преобразователей давления-разрежения проверяют только при избыточном давлении; работоспособность преобразователей разрежения с верхним пределом измерений 100 кПа проверяют при изменении разрежения до значения 0,9 атмосферного давления (не менее).
8.2.3 (Исключен, Изм. № 1)-
8.2.4 При необходимости, корректируют значения выходного сигнала, соответствующие нижнему и верхнему предельным значениям измеряемой величины. Эту корректировку выполняют после подачи и сброса измеряемой величины:
-для преобразователей давления-разрежения - в пределах от 50 до 100% от верхнего предела измерений в области избыточного давления;
-
- для преобразователей абсолютного давления с верхним пределом измерений до 0,25 МПа включительно - в пределах от атмосферного давления до (80-100) % верхнего предела измерений;
-
- для остальных преобразователей - в пределах (80-100) % верхнего предела измерений.
-
8.2.5 Проверку идентификационных данных программного обеспечения преобразователей давления измерительных СДВ-SMART проводить сравнением номера версии ПО, полученного посредством интерфейса связи или указанного на светодиодном индикаторе в меню преобразователя с номером версии, указанным в таблице 2.
Таблица 2 - Идентификационные данные программного обеспечения
|
Идентификационные данные (признаки) |
Значение |
|
Идентификационное наименование ПО |
EPDD hart.a43 |
|
Номер версии (идентификационный номер) ПО |
Не ниже 1.0 |
|
Цифровой идентификатор ПО |
- |
|
Другие идентификационные данные (если имеются) |
- |
8.2.5 (Измененная редакция, Изм. № 1)
-
8.2.6 Результаты опробования считают положительными, если выполняются требования, указанные в 8.2.2, номер версии ПО преобразователей давления измерительных СДВ-SMART соответствует приведенному в таблице 2.
8.3 Определение основной приведенной погрешности
-
8.3.1 Основную приведенную погрешность преобразователя определяют по одному из способов:
-
1) По эталонному СИ на входе преобразователя устанавливают номинальные значения входной измеряемой величины, а по другому эталонному СИ измеряют соответствующие значения выходного аналогового сигнала (тока или напряжения).
-
2) По эталонному СИ устанавливают номинальные значения выходного сигнала преобразователя и по другому эталонному СИ измеряют значения этого параметра на входе преобразователя.
-
3) Сравнением выходных сигналов поверяемого и эталонного преобразователя.
-
8.3.1.1 Поверка преобразователей с несколькими выходными сигналами, соответствующими одной и той же входной измеряемой величине, проводится по одному из этих сигналов (аналоговому или цифровому), если иное не предусмотрено эксплуатационной документацией.
-
8.3.1.2 Преобразователи и средства поверки включают в схему поверки в соответствии с их эксплуатационной документацией.
8.3.1.1, 8.3.1.2 (Введены дополнительно, Изм. № 1)
-
8.3.2 Установить следующие параметры поверки:
m - число проверяемых точек в диапазоне измерений, достаточно равномерно распределенных в диапазоне измерений, включая граничные значения диапазона измерения: минимальное (Ро) и максимальное (Ртах), (т>5); в обоснованных случаях и при отсутствии эталонных СИ с необходимой дискретностью воспроизведения измеряемой величины допускается уменьшать число поверяемых точек до 4 или 3; интервал между значениями измеряемой величины не должен превышать: 30% диапазона измерений при m = 5 (основной вариант поверки); 40% диапазона измерений при т=4 и 60% диапазона измерений при т=3;
п — число наблюдений при экспериментальном определении значений погрешности в каждой из проверяемых точек при прямом и обратном ходах, n = 1;
ук - абсолютное значение отношения контрольного допуска к пределу допускаемой основной погрешности;
ар - отношение предела допускаемого значения погрешности эталонных СИ, применяемых при поверке, к пределу допускаемого значения основной погрешности поверяемого преобразователя.
Рвам- наибольшая вероятность ошибочного признания годным любого в действительности дефектного экземпляра преобразователя.
Примечание - Параметры и критерии достоверности поверки принимаются в соответствии с критериями достоверности поверки согласно МИ 187-86 и МИ 188-86.
Значения ар и ук выбирают по таблице 3 (п.8.3.3) в соответствии с принятыми критериями достоверности поверки.
-
8.3.3 Выбор эталонных СИ для определения основной приведенной погрешности поверяемых преобразователей осуществляют с учетом критериев достоверности поверки (п.8.3.2) и в соответствии с таблицей 3
Таблица 3- Па
раметры и критерии достоверности поверки
р
0,2
0,25
0,33
0,4
0,5
Yk
0,94
0,93
0,91
0,82
0,7
р 'вам
0,2
0,2
0,2
0,1
0,05
(ад
1,14
1,18
1,24
1,22
1,2
-
8.3.4 При выборе эталонных СИ для определения погрешности поверяемого преобразователя (в каждой поверяемой точке) должны быть соблюдены следующие условия:
-
1. При поверке преобразователя, значения аналогового выходного сигнала которого контролируют непосредственно в мА
Д/ \
----!—) • 100 < у
1тах 10'
(1)
где Др - предел допускаемой абсолютной погрешности эталонного СИ, контролирующего входной параметр, равный верхнему пределу измерений (ВПИ) поверяемого преобразователя, кПа (МПа);
Рв - верхний предел измерений (или диапазон измерений) поверяемого преобразователя, кПа (МПа);
Д/ - предел допускаемой абсолютной погрешности эталонного СИ, контролирующего выходной сигнал преобразователя, мА.
Imax, Io - соответственно, верхнее и нижнее предельные значения выходного сигнала, мА (Imax = 20 мА, 10 4 мА).
у - предел допускаемой приведенной погрешности поверяемого преобразователя, % нормирующего значения.
Примечание: За нормирующее значение диапазона преобразования принимают: для преобразователей давления - разрежения — сумму абсолютных значений верхних пределов измерений в области избыточного давления и в области разрежения; для остальных преобразователей - верхний предел измерений входной измеряемой величины, если иное не предусмотрено технической документацией на преобразователи.
-
2. При поверке преобразователя, значения аналогового выходного сигнала которого контролируют по падению напряжения на образцовом сопротивлении в мВ или В

Umax ~ Uo

(2)
где Ду - предел допускаемой абсолютной погрешности эталонного СИ, контролирующего выходной сигнал поверяемого преобразователя по падению напряжения на образцовом сопротивлении, мВ или В;
Umax» Uо~ соответственно, верхнее и нижнее предельные значения выходного сигнала, мВ, определяемые по формулам:
Umax = ^тах ' ^эт О)
[/-/.₽ (4)
и0 ~ Ч) кэт
&R - предел допускаемой абсолютной погрешности эталонного сопротивления /?эт, Ом; /?эт - значение эталонного сопротивления, Ом.
-
3. При поверке преобразователя по цифровому сигналу
• 100 < оср- у
(5)
-
8.3.5 Значение выходного сигнала, соответствующее нижнему предельному значению измеряемой величины, рассчитывают по одной из формул (6-8) из условия: Р = 0 для преобразователей давления-разрежения и преобразователей разности давлений, для остальных преобразователей, - Р = Рн (для стандартных условий Рн=0).
На преобразователь подать давление и в каждой поверяемой точке снять показания выходного сигнала в последовательности сначала от меньших значений давления к большим (от Рн до Ртах - прямой ход), затем от больших значений давления к меньшим (от Ртах до Рн -обратный ход).
Перед поверкой при обратном ходе преобразователь выдерживают в течение 1 минуты при воздействии верхнего предельного значения измеряемого параметра, соответствующего предельному значению выходного сигнала.
Преобразователи давления-разрежения допускается выдерживать только при верхнем пределе измерений в области избыточного давления.
При периодической поверке основную погрешность определяют в два цикла: до корректировки диапазона изменения выходного сигнала и после корректировки диапазона. Второй цикл допускается не проводить, если основная погрешность соответствует уд < ук • У-
При поверке преобразователей с верхним пределом измерений в области разрежения, равном 100 кПа, допускается устанавливать максимальное значение разрежения в пределах 0,90-0,95 от атмосферного давления Рб, если Рб < 100 кПа. Расчетное значение выходного сигнала при установленном значении разрежения определяют по формуле (6).
При поверке преобразователей абсолютного давления с верхними пределами измерений 0,25 МПа и выше основную погрешность определяют по методике, изложенной в п. 8.3.7. По этой методике допускается определять основную погрешность преобразователей абсолютного давления с верхними пределами измерений ниже 0,25 МПа, но не менее 0,1 МПа.
-
8.3.6 Расчетные значения выходного сигнала поверяемого преобразователя для заданного номинального значения входной измеряемой величины определяют по формулам:
-
1. Для преобразователей с линейно возрастающей зависимостью выходного сигнала постоянного тока от входной измеряемой величины (Р)
/P=/o+V77F-(p-/’«) (6)
где I р- расчетное значение выходного сигнала постоянного тока (мА);
Imax' Io ~ соответственно, верхнее и нижнее предельные значения выходного сигнала, мА (Imax — 20 мА, 1о = 4 мА).
Р - номинальное значение входной измеряемой величины; для преобразователей давления - разрежения значение Р в области разрежения подставляется в формулу (6) со знаком минус.
Рв - верхний предел измерений (или диапазон измерений) поверяемого преобразователя, кПа (МПа);
Ри - нижний предел измерений для всех преобразователей, кроме преобразователей давления - разрежения, для которых значение Рн численно равно верхнему пределу измерений разряжения Рв(.) и в формулу (6) подставляется со знаком минус.
Для стандартных условий нижний предел измерений всех поверяемых преобразователей избыточного, абсолютного давления, разрежения, давления - разрежения и разности давлений равен нулю.
-
2. Для преобразователей с линейно убывающей зависимостью выходного сигнала постоянного тока от входной измеряемой величины
(^-Л) (7)
Г в * н
-
3. Для преобразователей с выходным сигналом с функцией преобразования входной измеряемой величины по закону квадратного корня должна соответствовать виду
7p=7o+V„„-7o)-Jy (8)
-
8.3.7 Определение основной погрешности преобразователей абсолютного давления с верхними пределами измерений 0,25 МПа (допускается 0,1 МПа) и выше проводят с использованием эталонных СИ разрежения и избыточного давления.
В этом случае поверку преобразователя выполняют при подаче избыточного давления и разрежения, расчетные значения которых определяют с учетом действительного значения атмосферного давления в помещении, где проводят поверку.
Перед поверкой корректором «нуля» преобразователя устанавливают выходной сигнал на расчетное значение, соответствующее разрежению Рт(-). Расчетное значение выходного сигнала определяют по формуле (9). Допускается устанавливать выходной сигнал на расчетное значение, определяемое по формуле (10) при атмосферном давлении.
Расчетные значения выходного сигнала преобразователя с линейно возрастающей функцией преобразования определяют по формуле:
- для преобразователей с токовым выходным сигналом
(9)
Рт(а)
где Рб - атмосферное давление в помещении, где проводят поверку, МПа;
^тп(а) - верхний предел измерений преобразователя абсолютного давления, МПа;
Р(+) - избыточное давление, подаваемое в преобразователь, МПа;
- разрежение, создаваемое в преобразователе; значение разрежения в МПа подставляют в формулу (9) со знаком минус.
Расчетные значения выходного сигнала при атмосферном давлении на входе преобразователя определяют по формуле
Рб
lp= lo+ Um- Ыр-- (Ю)
' т(а)
При поверке преобразователей с верхними пределами измерений Рт^ 2,5 МПа значение атмосферного давления Рб определяют с погрешностью не более, чем

(И)
где Дб - абсолютная погрешность, МПа;
ар? Y - то же, что в формуле (1);
Рт^а) ~ верхний предел измерений поверяемого преобразователя, МПа.
При поверке преобразователей с верхними пределами измерений Рт(а) > 2,5 МПа в формулы допускается подставлять значение Рб = 0,1 МПа, если атмосферное давление находится в пределах (0,093...0,102) МПа.
В зависимости от верхних пределов измерений поверяемых преобразователей их основную погрешность определяют при m значениях измеряемой величины Р в соответствии с таблицей 4 и с учетом требований п. 8.3.4.
Таблица 4 - Число проверяемых точек в зависимости от верхних пределов измерений
|
Верхние пределы измерений, МПа |
Число поверяемых точек, m | |
|
в области Р < Рб |
в области Р > Pg | |
|
0,1 |
3 |
- |
|
0,16 |
2 |
2 |
|
0,25 |
1 |
3 |
|
От 0,4 до 2,5 |
1 |
4 |
|
Свыше 2,5 |
- |
5 |
-
8.3.8 Основную приведенную погрешность поверяемого преобразователя у в % нормирующего значения (п. 8.3.4) вычисляют по приведенным ниже формулам:
1. При поверке преобразователей по способу 1 (п. 8.3.1):
----— • 100
(12)
I max ~ 'o

U- Up
Umax ~ Uq
• 100
(13)
(14)
Y = ------— • 100
Nmax - N0где / - значение выходного сигнала постоянного тока, полученное экспериментально в проверяемой точке давления, мА;
U- значение падения напряжения на образцовом сопротивлении, полученное экспериментально при измерении выходного сигнала в проверяемой точке давления, мВ или В;
N - значение выходного сигнала преобразователя в цифровом формате, полученное экспериментально в проверяемой точке давления.
2. При поверке преобразователей по способу 2 (п. 8.3.1):

(15)
где Р - значение входной измеряемой величины (давления), полученное экспериментально при номинальном значении выходного сигнала, кПа (МПа);
Рном ~ номинальное значение измеряемой величины при номинальном значении выходного сигнала, кПа (МПа);
Рт - сумма абсолютных значений верхних пределов измерений преобразователей давления-разрежения (Рт = Рт(+) + для остальных преобразователей - верхний
предел измерений, кПа (МПа).
-
8.3.8 (Измененная редакция, Изм. № 1)
-
8.3.9 Преобразователь признают годным при первичной и внеочередной поверке, если основная приведенная погрешность во всех проверяемых точках соответствует условию:
Y - Yk ’ Уопр
(16)
где - абсолютное значение отношения контрольного допуска к пределу допускаемой основной приведенной погрешности;
Уопр ~ предел допускаемой основной приведенной погрешности, приведенный в этикетке на преобразователь, % от ВПИ.
Если преобразователь признан негодным при первичной и внеочередной поверке, допускается корректировка значения нулевого сигнала и диапазона измерений в соответствии с руководством по эксплуатации на преобразователи, после чего необходимо повторить операции по определению основной приведенной погрешности преобразователя.
Преобразователи признают годным при первичной и внеочередной поверке, если во всех поверяемых точках основная приведенная погрешность после корректировки удовлетворяет требованиям п.8.3.9.
-
8.3.10 Преобразователь признают годным при периодической поверке, если во всех поверяемых точках вычисленное значение основной приведенной погрешности не превышает значения, указанного в этикетке (паспорте).
-
8.3.10 (Измененная редакция, Изм. № 1)
-
8.3.11 Определение основной приведенной погрешности многопредельных преобразователей проводят на диапазонах перенастройки (Рв:Рвтах) - 1:25, 1:10, 1:1, при этом при перенастройке на один из указанных диапазонов в течение интервала между поверками внеочередная поверка преобразователей не проводится.
-
8.3.11 (Введен дополнительно, Изм. № 1)
8.4 Определение вариации выходного сигнала
-
8.4.1 Вариацию выходного сигнала определяют при каждом поверяемом значении измеряемой величины по показаниям, полученным при определении основной приведенной погрешности (п.8.3).
-
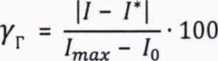
8.4.2 Вариацию выходного сигнала уг в каждой поверяемой точке рассчитывают по формулам:
-
1. При поверке преобразователей по способу 1 (п.8.3.1)



(17)
(18)
(19)
где /, /* - значения выходного сигнала постоянного тока, полученные экспериментально при одном и том же номинальном значении входного измеряемой величины при прямом и обратном ходе соответственно, мА;
где U, U* - значения падения напряжения на эталонном сопротивлении, полученные экспериментально при измерениях выходного сигнала и при одном и том же номинальном значении входного измеряемой величины при прямом и обратном ходе соответственно, мВ (В);
где /V, /V* - значения выходного сигнала в цифровом формате, полученные экспериментально при одном и том же номинальном значении входного измеряемой величины при прямом и обратном ходе соответственно.
-
2. При поверке преобразователей по способу 2 (п.8.3.1)

(20)
где Р, Р* - значения входной измеряемой величины (давления), полученные экспериментально при прямом и обратном ходе и при одном и том же номинальном значении выходного сигнала, кПа или МПа.
Рт - то же, что и в формуле (15).
-
8.4.3 Значение вариации не должно превышать значения, приведенного в этикетке на преобразователь.
9 Оформление результатов поверки
-
9.1 Результаты поверки заносят в протокол с указанием всех значений результатов измерений. Рекомендуемая форма протокола приведена в приложении Б.
-
9.2 При положительных результатах поверки знак поверки наносится на свидетельство о поверке и (или) в этикетку (паспорт) в соответствии с описанием типа.
-
9.3 Результаты поверки оформляют в соответствии с Приказом Минпромторга России №2510 или действующими на дату проведения поверки нормативными правовыми актами в области обеспечения единства измерений.
Старший инженер лаб. 221 УНИИМ - филиала
М.В. Шипицына
ФГУП «ВНИИМ им. Д.И. Менделеева»
ПРИЛОЖЕНИЕ А
(обязательное)
Схема для определения метрологических характеристик преобразователей давления измерительных СДВ-SMART
р


-
1 - преобразователь давления измерительный
G - регулируемый источник питания постоянного тока
Р - измеряемое (задаваемое) давление
PV1 - цифровой вольтметр
RP1 - мера электрического сопротивления
S1 - тумблер
Примечания
-
1. Рекомендуется выполнять соединения витой парой минимальной длины;
-
2. RP1=50Om
Рисунок А.1 - Схема подключения преобразователей давления измерительных СДВ-SMART для определения метрологических характеристик
(Измененная редакция, Изм, № 1)
ПРИЛОЖЕНИЕ Б
(рекомендуемое)
Форма протокола поверки
Протокол № от поверки преобразователя давления измерительного_____________, зав. №_______
в соответствии с документом "ГСИ. Преобразователи давления измерительные СДВ-SMART. Методика поверки с изменением № 1"
МП 95-221-2013
-
1 Принадлежит
-
2 Средства поверки (зав. № , номер свидетельства о поверке и дата выдачи)
-
3 Условия поверки:
-температура окружающего воздуха
-относительная влажность окружающего воздуха -атмосферное давление
-напряжение питания
4 Результаты внешнего осмотра
|
герметичность системы, предназначенной для поверки |
обеспечения
данные
|
Идентификационные данные (признаки) |
Значение |
|
Номер версии (идентификационный номер) ПО |
7 Результаты определения основной приведенной погрешности
|
Измеренное значение входного сигнала |
Расчетное значение выходного сигнала |
Измеренное значение выходного сигнала |
Значение основной приведенной погрешности, % |
Пределы допускаемой основной приведенной погрешности, % |
8 Результаты определения вариации выходного сигнала
|
Измеренное значение входного сигнала |
Измеренное значение выходного сигнала при прямом ходе |
Измеренное значение выходного сигнала при обратном ходе |
Значение вариации выходного сигнала, % |
Значение предела допускаемой вариации выходного сигнала, % |
Выводы по результатам поверки______________________________
Выдано свидетельство о поверке (извещение о непригодности)
№_______от “_____”______________20___г.
Поверку проводил ______________________
подпись (Ф.И.О)
Организация, проводившая поверку___________________
20 г.
(Измененная редакция, Изм. № 1)
21
