Методика поверки «Государственная система обеспечения единства измерений СИСТЕМА АВТОМАТИЗИРОВАННАЯ ИНФОРМАЦИОННО-ИЗМЕРИТЕЛЬНАЯ КОММЕРЧЕСКОГО УЧЕТА ЭЛЕКТРОЭНЕРГИИ АИИС КУЭ ЕНЭС ПС 220 кВ ЮЖНАЯ» (PT-MП-597-500-2021)

ФЕДЕРАЛЬНОЕ АГЕНТСТВО НО ТЕХНИЧЕСКОМУ РЕГУЛИРОВАНИЮ И МЕТРОЛОГИИ
ФЕДЕРАЛЬНОЕ БЮДЖЕТНОЕ УЧРЕЖДЕНИЕ «ГОСУДАРСТВЕННЫЙ РЕГИОНАЛЬНЫЙ ЦЕНТР СТАНДАРТИЗАЦИИ, МЕТРОЛОГИИ И ИСПЫТАНИЙ В Г. МОСКВЕ И МОСКОВСКОЙ ОБЛАСТИ» (ФБУ «РОСТЕСТ-МОСКВА»)
СОГЛАСОВАНО Первый заместитель генерального директора ФБУ «Ростест-Москва»

Государственная система обеспечения единства измерений
СИСТЕМА АВТОМАТИЗИРОВАННАЯ ИНФОРМАЦИОННО-ИЗМЕРИТЕЛЬНАЯ КОММЕРЧЕСКОГО УЧЕТА ЭЛЕКТРОЭНЕРГИИ АИИС КУЭ ЕНЭС ПС 220 кВ ЮЖНАЯ
Методика поверки
РТ-МП-597-500-2021 г. Москва
2021 г.
Настоящая методика поверки распространяется на систему автоматизированную информационно-измерительную коммерческого учета электроэнергии АНИС КУЭ ЕНЭС ПС 220 кВ Южная (далее по тексту - АНИС КУЭ) и устанавливает порядок проведения первичной и периодической поверок АИИС КУЭ.
1 ОБЩИЕ ПОЛОЖЕНИЯПоверке подлежит АИИС КУЭ с перечнем измерительных каналов (ИК), прошедших процедуру утверждения типа.
Допускается проведение поверки АИИС КУЭ в части отдельных ИК, с обязательным указанием в приложении к свидетельству о поверке информации об объеме проведенной поверки.
Допускается проведение поверки АИИС КУЭ с составом ИК, непосредственно применяемых для измерений в сфере государственного регулирования обеспечения единства измерений.
Первичную поверку проводят после утверждения типа АИИС КУЭ. Допускается при первичной поверке использовать положительные результаты испытаний в целях утверждения типа АИИС КУЭ.
Средства измерений (измерительные компоненты) ИК АИИС КУЭ поверяются в соответствии с интервалами между поверками, установленным при утверждении их типа. Если очередной срок поверки средства измерений (измерительного компонента) наступает до очередного срока поверки АИИС КУЭ, поверяется только этот компонент, и поверка АИИС КУЭ не проводится. После поверки средства измерений (измерительного компонента) и восстановления И К выполняется проверка ИК, той его части и в том объеме, который необходим для того, чтобы убедиться, что действия, связанные с поверкой средства измерений (измерительного компонента), не нарушили метрологических характеристик ИК.
После ремонта АИИС КУЭ, аварий в энергосистеме, если эти события могли повлиять на метрологические характеристики ИК, а также после замены средств измерений (измерительных компонентов), входящих в состав ИК, проводится внеочередная поверка АИИС КУЭ. Допускается проводить поверку только тех ИК, которые подверглись указанным выше воздействиям. Во всех указанных случаях оформляется технический акт о внесенных изменениях. Технический акт хранится совместно со свидетельством о поверке, как неотъемлемая часть эксплуатационных документов на АИИС КУЭ.
В части смещения шкалы времени компонентов АИИС КУЭ должна выполняться прослеживаемость к государственным поверочным эталонам единиц, которые приведены в Приказе Госстандарта от 31 июля 2018 г. N 1621 «Об утверждении государственной поверочной схемы для средств измерений времени и частоты».
Интервал между поверками четыре года.
2 ПЕРЕЧЕНЬ ОПЕРАЦИЙ ПОВЕРКИПри проведении поверки выполняют операции, указанные в таблице 1.
Таблица 1 - Операции поверки
|
Наименование операции |
Номер пункта методики поверки |
Проведение операции при | |
|
первичной поверке |
периодической поверке | ||
|
1 |
2 |
3 |
4 |
|
1. Внешний осмотр средства измерений |
7 |
Да |
Да |
|
2. Подготовка к поверке и опробование средства измерений |
8 |
Да |
Да |
|
3. Проверка программного обеспечения средства измерений |
9 |
Да |
Да |
Продолжение таблицы 1
|
1 |
2 |
3 |
4 |
|
4. Определение погрешности ИК при измерении электрической энергии |
10.1 |
Да |
Да |
|
5. Определение погрешности смещения шкалы времени компонентов АИИС КУЭ, входящих в состав СОЕВ. относительно шкалы времени UTC (SU) |
10.2 |
Да |
Да |
3 ТРЕБОВАНИЯ К УСЛОВИЯМ ПРОВЕДЕНИЯ ПОВЕРКИ
Влияющие величины, определяющие условия поверки АИИС КУЭ, должны находиться в пределах, указанных в технической документации на АИИС КУЭ, ее измерительные компоненты и средства поверки.
4 ТРЕБОВАНИЯ К СПЕЦИАЛИСТАМ, ОСУЩЕСТВЛЯЮЩИМ ПОВЕРКУ-
4.1 К проведению поверки АИИС КУЭ допускают поверителей, изучивших настоящую методику поверки и эксплуатационную документацию на АИИС КУЭ.
-
4.2 Измерение вторичной нагрузки измерительных трансформаторов тока, входящих в состав АИИС КУЭ, осуществляется персоналом, имеющим стаж работы по данному виду измерений не менее 1 года, изучившим методику измерений, регламентирующую проведение измерений мощности нагрузки трансформаторов тока. Измерение проводят не менее двух специалистов, один из которых должен иметь удостоверение, подтверждающее право работы на установках свыше 1000 В с группой по электробезопасности не ниже IV, второй - удостоверение, подтверждающее право работы на установках свыше 1 000 В с группой по электробезопасности не ниже III.
-
4.3 Измерение вторичной нагрузки измерительных трансформаторов напряжения, входящих в состав АИИС КУЭ, осуществляется персоналом, имеющим стаж работы по данному виду измерений не менее 1 года, изучившим методику измерений, регламентирующую проведение измерений мощности нагрузки трансформаторов напряжения. Измерение проводят не менее двух специалистов, один из которых должен иметь удостоверение, подтверждающее право работы на установках свыше 1000 В с группой по электробезопасности не ниже IV, второй - удостоверение, подтверждающее право работы на установках свыше 1000 В с группой по электробезопасности не ниже III.
-
4.4 Измерение потерь напряжения в линии соединения счетчика с измерительным трансформатором напряжения, входящими в состав АИИС КУЭ, осуществляется персоналом, имеющим стаж работы по данному виду измерений не менее 1 года, изучившим методику измерений, регламентирующую проведение измерений падения напряжения в линии соединения счетчика с трансформатором напряжения, и прошедшим обучение по проведению измерений в соответствии с указанным документом. Измерение проводят не менее двух специалистов, один из которых должен иметь удостоверение, подтверждающее право работы на установках свыше 1000 В с группой по электробезопасности не ниже IV, второй - удостоверение, подтверждающее право работы на установках свыше 1000 В с группой по электробезопасности не ниже III.
При проведении поверки применяют средства поверки (эталоны, средства измерений и вспомогательные технические средства), указанные в таблице 2.
Таблица 2 - Средства поверки и вспомогательные устройства
|
Номер пункта методики поверки |
Наименование и тип (условное обозначение) основного или вспомогательного средства поверки; обозначение нормативного документа, регламентирующего технические требования, и (или) метрологические и основные технические характеристики средства поверки |
|
10.2 |
Устройство синхронизирующее Метроном-РТР (регистрационный номер в Федеральном информационном фонде 66731-17): - пределы допускаемого абсолютного смещения шкалы времени относительно шкалы времени UTC (SU) в режиме синхронизации по сигналам ГНСС ГЛОНАСС/GPS ±100 нс |
|
8.2 |
Термогигрометр ИВА-6 (регистрационный номер в Федеральном информационном фонде 46434-11):
|
|
8.3, 10.1.1-10.1.3 |
Прибор для измерения электроэнергетических величин и показателей качества электрической энергии Энергомонитор-3.ЗТ1 (регистрационный номер в Федеральном информационном фонде 39952-08):
-действующее значение переменного тока от 0,051н до 1,51н, относительная погрешность ±[ 1,0+0,05((1н/1) - 1)] %;
|
|
8.3, 8.4, 8.6, 10.2 |
Переносной компьютер с ПО, оптический преобразователь для работы со счетчиками системы, ПО для работы с устройством синхронизирующим Метроном-РТР |
|
Примечания
| |
-
6.1 При проведении поверки должны быть соблюдены требования безопасности, установленные ГОСТ 12.2.007.0, ГОСТ 12.2.007.3, «Правилами технической эксплуатации электроустановок потребителей», «Правилами технической эксплуатации электрических станций и сетей РФ», «Правилами по охране труда при эксплуатации электроустановок», а также требования безопасности на средства поверки, поверяемые трансформаторы и счетчики, изложенные в их руководствах по эксплуатации.
-
6.2 При применении эталонов, средств измерений, вспомогательных средств поверки и оборудования должны обеспечиваться требования безопасности согласно I ОС 1 12.2.003, ГОСТ 12.2.007.3.
-
7.1 Проверяют целостность корпусов и отсутствие видимых повреждений средств измерений (измерительных компонентов).
-
7.2 Проверяют отсутствие следов коррозии и нагрева в местах подключения вторичных цепей и цепей питания.
-
7.3 Результат проверки считается положительным, если нет замечаний по пунктам 7.1, 7.2 или выявленные замечания устранены в процессе проведения внешнего осмотра.
В случае выявления несоответствий по пунктам 7.1, 7.2 поверку приостанавливают до устранения выявленных несоответствий. В случае невозможности устранения выявленных несоответствий АПИС КУЭ в части неисправных ИК бракуется.
8 ПОДГОТОВКА К ПОВЕРКЕ И ОПРОБОВАНИЕ СРЕДСТВА ИЗМЕРЕНИЙ-
8.1 Для проведения поверки представляют следующую документацию:
-
- описание типа АИИС КУЭ;
-
- формуляр АИИС КУЭ;
-
- паспорта (формуляры) с отметкой о поверке и/или свидетельства о поверке средств измерений (измерительных компонентов), входящих в состав ИК, и/или ссылки на записи сведений о поверке средств измерений (измерительных компонентов), входящих в состав ИК, в Федеральном информационном фонде по обеспечению единства измерений;
-
- паспорта-протоколы на измерительные комплексы (при наличии);
-
- рабочие журналы АИИС КУЭ с данными по климатическим и иным условиям эксплуатации за интервал между поверками (только при периодической поверке);
-
- технические акты о внесенных в АИИС КУЭ изменениях (при наличии).
-
8.2 Перед проведением поверки выполняют следующие подготовительные работы:
-
- проводят организационно-технические мероприятия по обеспечению безопасности поверочных работ в соответствии с действующими правилами и руководствами по эксплуатации применяемого оборудования;
-
- проводят организационно-технические мероприятия по доступу поверителей и эксплуатирующего персонала к местам установки измерительных компонентов (измерительных трансформаторов, многофункциональных счетчиков электрической энергии, устройств сбора и обработки данных (УСПД), устройств синхронизации системного времени(УССВ)); по размещению эталонов, отключению в необходимых случаях проверяемых средств измерений от штатной схемы;
-
- средства поверки выдерживают в условиях и в течение времени, установленных в нормативных документах на средства поверки;
-
- все средства измерений, которые подлежат заземлению, должны быть надежно заземлены, подсоединение зажимов защитного заземления к контуру заземления должно производиться ранее других соединений, а отсоединение - после всех отсоединений.
-
8.3 Проверяют соответствие измерительных компонентов АИИС КУЭ.
-
8.3.1 Проверяют правильность расположения и подключения средств измерений (измерительных компонентов): измерительных трансформаторов тока (ТТ) и измерительных трансформаторов напряжения (TH) к счетчикам электрической энергии, правильность прокладки проводных линий связи.
-
8.3.2 Проверяют соответствие типов, классов точности и заводских номеров фактически используемых средств измерений (измерительных компонентов), указанным в описании типа АИИС КУЭ, а также в технических актах о внесенных изменениях, в случае замены средств измерений (измерительных компонентов), входящих в состав ИК.
-
8.3.3 Проверяют наличие действующих результатов поверки на все средства измерений (измерительные компоненты), входящие в состав АИИС КУЭ: ТТ и TH, счетчики электрической энергии, УСПД, УССВ. При обнаружении просроченных или отсутствующих результатов поверки средств измерений (измерительных компонентов), дальнейшие операции по поверке ИК, в который они входят, выполняют после поверки этих измерительных компонентов.
-
8.3.4 Результат проверки считается положительным, если нет замечаний по пунктам 8.3.1-8.3.3.
-
В случае выявления несоответствий по пунктам 8.3.1 - 8.3.3 поверку приостанавливают до устранения выявленных несоответствий. В случае невозможности устранения выявленных несоответствий АИИС КУЭ в части неисправных ИК бракуется.
-
8.4 Проверяют счетчики электрической энергии.
-
8.4.1 Проверяют наличие и сохранность пломб на счетчике и испытательной коробке. Проверяют наличие документов энергосбытовых и/или электросетевых организаций, подтверждающих правильность подключения счетчика к цепям тока и напряжения. При отсутствии таких документов или нарушении (отсутствии) пломб проверяют правильность подключения счетчиков к цепям тока и напряжения (соответствие схем подключения - схемам, приведенным в паспорте на счетчик).
-
8.4.2 Проверяют работу всех сегментов индикаторов счетчиков, отсутствие кодов ошибок или предупреждений, проводят последовательную проверку визуализации параметров.
-
8.4.3 Проверяют работоспособность оптического порта счетчика с помощью переносного компьютера. Оптический преобразователь подключают к порту переносного компьютера. Опрашивают счетчик по установленному соединению. Опрос счетчика считается успешным, если получен отчет, содержащий данные, зарегистрированные счетчиком.
-
8.4.4 Проверяют соответствие индикации даты в счетчике календарной дате (число, месяц, год). Проверку осуществляют визуально или с помощью переносного компьютера через оптический порт.
-
8.4.5 Результат проверки считается положительным, если проверки по пунктам 8.4.1 - 8.4.4 выполнены с положительным результатом.
-
В случае выявления несоответствий по пунктам 8.4.1 - 8.4.4 процедуру проверки приостанавливают до устранения данных несоответствий. В случае невозможности устранения выявленных несоответствий АИИС КУЭ в части неисправных ИК бракуется.
-
8.5 Проверяют УСПД.
-
8.5.1 Проверяют наличие и сохранность пломб на УСПД. При отсутствии или нарушении пломб проверяют правильность подсоединения УСПД.
-
8.5.2 Проверяют правильность функционирования УСПД в соответствии с его эксплуатационной документацией с помощью тестового программного обеспечения, поставляемого в комплекте с УСПД. Проверка считается успешной, если все подсоединенные к УСПД счетчики опрошены и сообщения об ошибках отсутствуют.
-
8.5.3 Проверяют программную защиту УСПД от несанкционированного доступа в соответствии с эксплуатационным документом на УСПД.
-
8.5.4 Проверяют правильность значений коэффициентов трансформации измерительных трансформаторов, если предусмотрено их хранение в памяти УСПД.
-
8.5.5 Результат проверки считается положительным, если проверки по пунктам 8.5.1 - 8.5.4 выполнены с положительным результатом.
-
В случае выявления несоответствий по пунктам 8.5.1-8.5.4 процедуру проверки приостанавливают до устранения данных несоответствий. В случае невозможности устранения выявленных несоответствий АИИС КУЭ в части неисправных ИК бракуется.
8.6 Проверяют функционирования компьютеров АИИС КУЭ (АРМ или сервера).
-
8.6.1 Проводят опрос текущих показаний всех счетчиков электроэнергии.
Результат проверки считается положительным, если опрашиваются все счетчики, входящие в ИК, подвергающиеся поверке.
-
8.6.2 Проверяют глубину хранения измерительной информации в сервере АИИС КУЭ.
Результат проверки считается положительным, если глубина хранения информации соответствует указанной в описании типа.
-
8.6.3 Проверяют защиту программного обеспечения на сервере АИИС КУЭ от несанкционированного доступа. Для этого запускают на выполнение программу сбора данных и в поле «пароль» вводят неправильный код.
Результат проверки считается положительным, если при вводе неправильного пароля программа не разрешает продолжать работу.
-
8.6.4 Проверяют правильность значений коэффициентов трансформации измерительных трансформаторов, если предусмотрено их хранение на сервере АИИС КУЭ.
Результат проверки считается положительным, если значения коэффициентов трансформации соответствуют коэффициентам трансформации ТТ, TH, счетчиков.
-
8.6.5 В случае выявления несоответствий по пунктам 8.6.1 - 8.6.4 процедуру проверки приостанавливают до устранения данных несоответствий. В случае невозможности устранения выявленных несоответствий АИИС КУЭ в части неисправных ИК бракуется.
8.7 Проверяют отсутствие ошибок информационного обмена.
Операция проверки отсутствия ошибок информационного обмена предусматривает экспериментальное подтверждение идентичности числовой измерительной информации в счетчиках электрической энергии (исходная информация), и базе данных сервера.
В момент проверки все технические средства, входящие в проверяемый ИК, должны быть включены.
-
8.7.1 На сервере системы отображают или распечатывают значения активной и реактивной электрической энергии, зарегистрированные с 30-ти минутным интервалом за полные предшествующие дню проверки сутки по всем ИК. Проверяют наличие данных, соответствующих каждому 30-ти минутному интервалу времени. Пропуск данных не допускается за исключением случаев, когда этот пропуск был обусловлен отключением ИК или устраненным отказом какого-либо компонента системы.
-
8.7.2 Отображают на экране АРМ или распечатывают журнал событий счетчика и УСПД и отмечают моменты нарушения связи между измерительными компонентами системы. Проверяют сохранность измерительной информации в памяти УСПД и базе данных серверае системы на тех интервалах времени, в течение которого была нарушена связь.
-
8.7.3 Отображают на экране АРМ или распечатывают на сервере профиль нагрузки за полные сутки, предшествующие дню поверки. Удаленно с АРМ, либо используя переносной компьютер и оптопорт производят считывание профиля нагрузки за те же сутки непосредственно из памяти счетчика. Различие значений активной (реактивной) мощности, хранящейся в памяти счетчика (с учетом коэффициентов трансформации измерительных трансформаторов) и базе данных сервера не должно превышать одной единицы младшего разряда учтенного значения.
-
8.7.4 Рекомендуется вместе с проверкой по п. 8.7.3 сличать показания счетчика по активной и реактивной электрической энергии на начало суток и сравнивать с данными, зарегистрированными в базе данных сервера системы. Для этого удаленно с АРМ, либо используя переносной компьютер и оптопорт производят считывание показаний счетчика по активной и реактивной электрической энергии и сравнивают эти данные (с учетом коэффициентов трансформации измерительных трансформаторов), с показаниями, зарегистрированными в базе данных сервера системы. Расхождение не должно превышать две единицы младшего разряда учтенного значения.
-
8.7.5 Результат проверки считается положительным, если отсутствуют пропуски данных в базе данных сервера и показания счетчиков по активной и реактивной электрической энергии совпадают с показаниями, зарегистрированными на сервере.
В случае выявления несоответствий по пунктам 8.7.1 - 8.7.4 АИИС КУЭ в части неисправных ИК бракуется.
9 ПРОВЕРКА ПРОГРАММНОГО ОБЕСПЕЧЕНИЯ СРЕДСТВА ИЗМЕРЕНИЙ-
9.1 Проводят проверку соответствия заявленных идентификационных данных программного обеспечения (ПО), указанных в описании типа и эксплуатационной документации:
- наименование ПО;
-
- идентификационное наименование ПО;
-
- номер версии (идентификационный номер) ПО;
-
- цифровой идентификатор ПО (контрольная сумма исполняемого кода);
-
- алгоритм вычисления цифрового идентификатора ПО.
-
9.2 Проверка идентификации ПО АИИС КУЭ
Убедиться, что идентификационное наименование и номер версии ПО соответствует заявленным (наименование ПО и его версия определяются после загрузки ПО).
-
9.3 Проверка цифрового идентификатора ПО.
На выделенных модулях ПО проверить цифровые идентификаторы и алгоритм вычисления цифрового идентификатора.
Проверка цифрового идентификатора ПО происходит на ИВК (сервере), где установлено ПО. Запустить менеджер файлов, позволяющий производить хэширование файлов или специализированное ПО, предоставляемое разработчиком. В менеджере файлов, необходимо открыть каталог и выделить файлы, указанные в описании типа на АИИС КУЭ. Далее, запустив соответствующую программу просчитать хэш. По результатам формируются файлы, содержащие коды алгоритмов вычисления цифрового идентификатора в текстовом формате. Наименование файла алгоритма вычисления цифрового идентификатора должно соответствовать наименованию файла, для которого проводилось хэширование.
-
9.4 Результат проверки считается положительным, если идентификационное наименование ПО. помер версии (идентификационный номер) ПО, цифровой идентификатор ПО не противоречат приведенным в описании типа на АИИС КУЭ.
В случае выявления несоответствий по пунктам 9.1 - 9.3 АИИС КУЭ считается не прошедшей поверку и признается непригодной к применению.
-
10 ОПРЕДЕЛЕНИЕ МЕТРОЛОГИЧЕСКИХ ХАРАКТЕРИСТИК СРЕДСТВА ИЗМЕРЕНИЙ
-
10.1.1 Проверяют нагрузки вторичных цепей измерительных трансформаторов тока.
-
10.1.1.1 Проверяют наличие документов энергосбытовых организаций, подтверждающих правильность подключения вторичных обмоток ТТ. При отсутствии таких документов проверяют правильность подключения вторичных обмоток ТТ.
-
10.1.1.2 Измеряют мощность нагрузки вторичных цепей ТТ, которая должна находиться в диапазоне, указанном в ГОСТ 7746 и/или в описании типа средств измерений на конкретный тип ТТ.
-
Измерение тока и вторичной нагрузки ТТ проводят в соответствии с документом «Методика выполнения измерений параметров нагрузки и вторичных цепей измерительных трансформаторов тока и напряжения прибором «Энергомонитор З.ЗТ» в условиях эксплуатации», зарегистрированном в Федеральном информационной фонде по обеспечению единства измерений под № ФР. 1.34.2009.05522.
Примечания
-
1 Допускается измерение мощности нагрузки вторичных цепей ТТ не проводить, если такие измерения проводились при составлении паспорта-протокола на данный измерительный комплекс в течение истекающего межповерочного интервала АИИС КУЭ. Результаты проверки считают положительными, если паспорт-протокол подтверждает выполнение указанного выше условия для ТТ.
-
2 Допускается мощность нагрузки определять расчетным путем, если известны входные (проходные) импедансы всех устройств, подключенных ко вторичным обмоткам ТТ.
-
3 Допускается проведение измерений в соответствии с другими аттестованными методиками измерений.
-
10.1.1.3 Результат проверки считается положительным, если мощность нагрузки вторичных цепей ТТ находится в диапазоне, указанном в ГОСТ 7746 и/или в описании типа средств измерений на конкретный тип ТТ
При отклонении мощности нагрузки вторичных цепей ТТ от заданного значения, процедуру проверки приостанавливают до устранения данных несоответствий. В случае невозможности устранения выявленных несоответствий АИИС КУЭ в части неисправных ИК бракуется.
-
10.1.2 Проверяют нагрузки вторичных цепей измерительных трансформаторов напряжения.
-
10.1.2.1 Проверяют наличие и сохранность пломб энергоснабжающих организаций на клеммных соединениях, имеющихся на линии связи TH со счетчиком. Проверяют наличие документов энергосбытовых организаций, подтверждающих правильность подключения первичных и вторичных обмоток TH. При отсутствии таких документов или нарушении (отсутствии) пломб проверяют правильность подключения первичных и вторичных обмоток TH.
-
10.1.2.2 При проверке мощности нагрузки вторичных цепей TH необходимо убедиться, что отклонение вторичного напряжения при нагруженной вторичной обмотке составляет не более ±10 % от UH0M.
-
Измеряют мощность нагрузки вторичных цепей TH, которая должна находиться в диапазоне, указанном в ГОСТ 1983 и/или в описании типа средств измерений на конкретный тип TH.
Измерение мощности нагрузки вторичных цепей TH проводят в соответствии с документом «Методика выполнения измерений параметров нагрузки и вторичных цепей измерительных трансформаторов тока и напряжения прибором «Энергомонитор З.ЗТ» в условиях эксплуатации», зарегистрированном в Федеральном информационной фонде по обеспечению единства измерений под № ФР. 1.34.2009.05522.
Примечания
-
1 Допускается измерение мощности нагрузки вторичных цепей TH не проводить, если такие измерения проводились при составлении паспорта-протокола на данный измерительный комплекс в течение истекающего межповерочного интервала АИИС КУЭ. Результаты проверки считают положительными, если паспорт-протокол подтверждает выполнение указанного выше условия для TH.
-
2 Допускается мощность нагрузки определять расчетным путем, если известны входные (проходные) импедансы всех устройств, подключенных ко вторичным обмоткам измерительных трансформаторов.
-
3 Допускается проведение измерений в соответствии с другими аттестованными методиками измерений.
-
10.1.2.3 Результат проверки считается положительным, если мощность нагрузки вторичных цепей TH находится в диапазоне, указанном в ГОСТ 1983 и/или в описании типа средств измерений на конкретный тип TH.
При отклонении мощности нагрузки вторичных цепей TH от заданного значения, процедуру проверки приостанавливают до устранения данных несоответствий. В случае невозможности устранения выявленных несоответствий АИИС КУЭ в части неисправных ИК бракуется.
-
10.1.3 Проверяют падение напряжения в линии связи счетчика с измерительным трансформатором напряжения
-
10.1.3.1 Измеряют падение напряжения t/7 в проводной линии связи для каждой фазы в соответствии с документом «Методика выполнения измерений параметров нагрузки и вторичных цепей измерительных трансформаторов тока и напряжения прибором «Энергомонитор З.ЗТ» в условиях эксплуатации», зарегистрированном в Федеральном информационной фонде по обеспечению единства измерений под № ФР. 1.34.2009.05522.
-
Значение падения напряжения в линии связи счетчика с измерительным трансформатором напряжения должно соответствовать требованиям п.1.5 Правил устройства электроустановок (6 издание).
Примечания
1 Допускается измерение падения напряжения в линии соединения счетчика с TH не проводить, если такие измерения проводились при составлении паспорта-протокола на данный измерительный комплекс в течение истекающего межповерочного интервала. Результаты проверки считают положительными, если паспорт-протокол подтверждает выполнение указанного выше требования.
-
2 Допускается падение напряжения в линии соединения счетчика с TH определять расчетным путем, если известны параметры проводной линии связи и сила электрического тока, протекающего через линию связи.
-
3 Допускается проведение измерений в соответствии с другими аттестованными методиками измерений.
-
10.1.3.2 Результат проверки считается положительным, если падение напряжения в линии связи между вторичной обмоткой TH и счетчиком соответствует требованиям п.1.5 Правил устройства электроустановок (6 издание).
При превышении значения падения напряжения в линии связи счетчика с измерительным трансформатором напряжения заданного значения, процедуру проверки приостанавливают до устранения данных несоответствий. В случае невозможности устранения выявленных несоответствий АИИС КУЭ в части неисправных ИК бракуется.
-
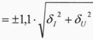
10.1.4 Рассчитывают границы интервала допускаемой относительной погрешности ИК в рабочих условиях эксплуатации (±5), %, при доверительной вероятности, равной 0,95.
-
10.1.4.1 Границы интервала допускаемой относительной погрешности ИК в рабочих условиях эксплуатации рассчитывают по формуле:
+ ^+&2+&.о.2 + £^27
7=1
-
(1)
где
- токовая погрешность ТТ, %;
8ц - погрешность напряжения TH, %;
8q - погрешность трансформаторной схемы подключения счетчика за счет угловых погрешностей ТТ и TH, %;
8Я - погрешность из-за потери напряжения в линии соединения счетчика с TH, %;
8С0 — основная относительная погрешность счетчика, %;
8С, - дополнительная погрешность счетчика от j-й влияющей величины, %;
/ - число влияющих величин;
При отсутствии в ИК каких-либо измерительных компонентов, соответствующие значения погрешностей в формуле 1 не используются.
-
10.1.4.2 Результат проверки считается положительным, если рассчитанные значения погрешностей не превышают значений, приведенных в описании типа.
-
10.2.1 Рассчитывают абсолютную погрешность смещения шкалы времени счетчиков, УСПД и сервера относительно шкалы времени UTC (SU).
-
10.2.1.1 Включают устройство синхронизирующее Метроном-РТР. Сравнивают показания часов Метроном-РТР с показаниями часов счетчиков электрической энергии, УСПД, сервера в единый момент времени и фиксируют разность показаний по формуле:
-
= *3 “ ^Ki Р)
где
/э - показания часов Метроном-РТР, чч:мм:сс;
/а; - показания часов f-го компонента АИИС КУЭ, чч:мм:сс.
При мечание-В качестве приемника сигналов точного времени могут быть использованы только средства измерений утвержденного типа, прошедшие поверку или аттестованные в качестве эталона.
-
10.2.1.2 Результат проверки считается положительным, если смещение шкалы времени счетчиков, УСПД и сервера относительно шкалы времени UTC (SU) не превышает ±5 с.
-
10.2.2 Проверяют систему коррекции времени.
-
10.2.2.1 Проверяют правильность работы системы коррекции времени, определяя по журналу событий расхождение времени корректируемого и корректирующего компонентов в момент, непосредственно предшествующий коррекции времени.
-
10.2.2.2 Результат проверки считается положительным, если расхождение времени корректируемого и корректирующего компонентов в журнале событий не превышает предела допускаемого расхождения, указанного в описании типа АИИС КУЭ.
-
-
10.2.3 В случае выявления несоответствий по пунктам 10.2.1, 10.2.2 АИИС КУЭ в части неисправных ИК бракуется.
В процессе выполнения поверки специалист производит расчет погрешностей, в соответствии с формулами, приведенными в методике поверки. Конечные результаты расчетов должны быть представлены с соблюдением правил округления и обязательным указанием единиц измерений, вычисленной физической величины. Результаты считают удовлетворительными, если полученные (рассчитанные) значения погрешностей не превышают значений, приведенных в описании типа.
12 ОФОРМЛЕНИЕ РЕЗУЛЬТАТОВ ПОВЕРКИ-
12.1 На основании положительных результатов проверок по пунктам разделов 7-10, АИИС КУЭ признается пригодной к применению. На АИИС КУЭ оформляется свидетельство о поверке в соответствии с действующими нормативными правовыми документами. В приложении к свидетельству о поверке указывается перечень и состав ИК, прошедших поверку и пригодных к применению. Протокол поверки оформляется в произвольной форме в соответствии с требованиями аккредитованного на поверку юридического лица или индивидуального предпринимателя, проводящего поверку.
Знак поверки наносится на свидетельство о поверке.
-
12.2 В случае, если отдельные ИК были забракованы по пунктам разделов 7, 8, 10, АИИС КУЭ признается непригодной в части ИК, не прошедших с положительным результатом поверку, или АИИС КУЭ была забракована по пунктам раздела 9, на нее выдают извещение о непригодности с указанием причин непригодности. В приложении к извещению о непригодности указывается перечень ИК, не соответствующих требованиям, установленным в описании типа АИИС КУЭ.

11
