Методика поверки «Контроллеры измерительно-вычислительные моделей ОМКІ - 6000, ОМІЧІ-ЗООО» (Код не указан!)
Date of print 23-11-2023-16/26/16
ФБУ «Томский ЦСМ»
УЧТЕНО экз. № /
ДАТА
ОТ : UNI1M
ФАКС N0. : 812 3239670
ЯНВ 17 2006 1?:09 СТР1
Федеральное государственное унитарное предприятие
«ВНИИМ им.Д.И.Менделеева»
УТВЕРЖДАЮ

Заместитель руководителя
ИИМ им.Д.И.Менделеева»
____В.С.Александров
“ 17 ” января 2006 г
Контроллеры измерительно-вычислительные моделей OMNI -6000, OMNI-3000
Методика поверки
Санкт-Петербург 2006 г.
фгу ’Тсвжттй цсм*
Томска* область, <. Стрежевой, 'уп. Тоансгортная, 6

1 РАЗРАБОТАНА |
ЗАО «ИМС Инжиниринг» |
ИСПОЛНИТЕЛИ |
Сафонов А.В. Кривалев В.И., Аблина Л.В., Ремеева А.Ф. |
-
2 РАЗРАБОТАНА
ИСПОЛНИТЕЛИ
3 УТВЕРЖДЕНА |
ФГУП ВНИИМ им. Д.И. Менделеева 17 января 2006г. |
4 ЗАРЕГИСТИРРОВАНА |
ФГУП ВНИИМС « » 2007 г. |
5 ВЗАМЕН
Настоящая рекомендация распространяется на измерительно-вычислительные контроллеры OMNI - 6000, OMNI-3000 (далее - ИВК), входящие в состав систем измерений количества и показателей качества нефти и нефтепродуктов и устанавливает методику их первичной и периодической поверок.
Межповерочный интервал - один год.
-
1 ОПЕРАЦИИ ПОВЕРКИ
При проведении поверки выполняют следующие операции:
-
- внешний осмотр (6.1);
-
- опробование (п.6.2);
-
- определение метрологических характеристик (п.6.3)
-
2 СРЕДСТВА ПОВЕРКИ
При проведении поверки применяют следующие основные и вспомогательные средства поверки:
-
- устройство для поверки вторичной измерительной аппаратуры узлов учета нефти и нефтепродуктов (УПВА), диапазон установки тока (0.5 - 20 .мЛ), предел допускаемой абсолютной погрешности установки тока (±3.0 .икЛ), диапазон формирования периода и частоты импульсных последовательностей (0.1 - 15000 Гц), предел допускаемой относительной погрешности формирования периода импульсных последовательностей (±5х10“4 %), диапазон формирования количества импульсов в пачке (10-5x10* ими);
-
- образцовая катушка сопротивления Р331, номинал 0.1 кОм, класс точности 0.01;
-
- многозначная мера постоянного тока, номинальные значения сопротивлений ступеней меры 107, 108, класс точности 0.02;
-
- термометр метеорологический стеклянный по ГОСТ 112-78Е, диапазон измерений от 0 до 100 °C, цена деления 0,1 °C;
-
- психрометр аспирационный по ТУ 52-07-ГРПИ-405-132-001-92.
Допускается применять другие средства поверки с аналогичными или лучшими характеристиками.
-
3 ТРЕБОВАНИЯ БЕЗОПАСНОСТИ
При проведении поверки соблюдают требования безопасности, определяемые:
-
3.1 Правилами безопасности при эксплуатации используемых эталонных средств измерений, приведенными в эксплуатационной документации.
-
3.2 Правилами безопасности труда, действующими на объекте, на котором проводят поверку.
-
3.3 Правилами техники безопасности при эксплуатации электроустановок потребителей (ПТБ)
-
4 УСЛОВИЯ ПОВЕРКИ
При проведении поверки соблюдают следующие условия:
-
- температура окружающего воздуха, °C 20 ±5;
-
- атмосферное давление, кПа 101,3 ± 4;
-
- относительная влажность воздуха, % от 30 до 80;
-
- напряжение питания, В 220±22;
-
- частота питания переменного тока, Гц 50 ± 1;
- отсутствие вибрации, ударов и магнитного поля, кроме земного.
-
5 ПОДГОТОВКА К ПОВЕРКЕ
Перед проведением поверки выполняют следующие работы:
-
5.1 Проверяют правильность монтажа ИВК в соответствии с требованиями руководств по монтажу и эксплуатации.
-
5.2 В зависимости от конфигурации ИВК выбирают одну из нижеперечисленных схем поверки.
Схема поверки 1: определение метрологических характеристик производится при одновременной имитации при помощи УПВА частотных сигналов преобразователей расхода ( ПР), частотных сигналов преобразователей плотности (ПП), аналоговых сигналов преобразователей температуры, давления, влагосодержания, дискретных сигналов поверочной установки (ПУ).
Схема поверки 2: определение метрологических характеристик производится последовательно в два этапа:
1 Определяются погрешности преобразования входных аналоговых сигналов в значения температуры, давления, влагосодержания, вязкости;
2)определяются метрологические характеристики при имитации при помощи УПВА частотных сигналов ПР, частотных сигналов ПП, дискретных сигналов ПУ и задании значений температуры, давления, влагосодержания при помощи клавиатуры ИВК или от персонального компьютера (PC) через последовательный интерфейс.
Схема поверки 3: определение метрологических характеристик производится последовательно в три этапа:
-
1) определяются погрешности преобразования входных аналоговых сигналов в значения температуры, давления, влагосодержания, вязкости;
-
2) определяются погрешности преобразования входных частотных сигналов в значения плотности;
-
3) определяются метрологические характеристики при имитации при помощи УПВА частотных сигналов ПР, дискретных сигналов ПУ и задании значений плотности, температуры, давления, влагосодержания при помощи клавиатуры ИВК или от персонального компьютера (PC) через последовательный интерфейс.
-
5.3 Проводят монтаж средств поверки в соответствии с выбранной схемой поверки:
-
- рисунок 1 (схема поверки 1);
-
- или рисунки 2, 3 (схема поверки 2);
-
- или рисунки 2, 4, 5 (схема поверки 3).
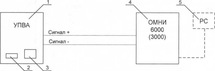
1 - УПВА; 2 - цифровой дисплей УПВА; 3 - клавиатура УПВА; 4 - ИВК; 5 - персональный компьютер (PC) Рисунок 1. Схема подключения средств поверки при определении погрешности преобразования входных сигналов в значения объема и массы продукта, в значение коэффициента преобразования (метер-фактора) ПР.
Схема поверки 1.


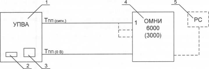
1-УПВА; 2 - цифровой дисплей УПBA; 3 - клавиатура УПВА; 4 - ИВК ; 5 - персональный компьютер (PC)


Рисунок 2. Схема подключения средств поверки при определении погрешности преобразования входных аналоговых сигналов в значения температуры, давления, объемной доли воды, вязкости.
Схема поверки 2 и схема поверки 3.


1 - УПВА; 2 - цифровой дисплей УПВА; 3 - клавиатура УПВА; 4 - ИВК; 5 - персональный компьютер (PC) Рисунок 3. Схема подключения средств поверки при определении погрешности преобразования входных сигналов в значения объема и массы продукта, в значение коэффициента преобразования (метер-фактора) ПР.
Схема поверки 2.

1-УПВА; 2 - цифровой дисплей УПBA; 3 - клавиатура УПВА; 4- ИВК; 5 - персональный компьютер (PC)
Рисунок 4. Схема подключения средств поверки при определении погрешности преобразования входных сигналов в значения плотности.
Схема поверки 3.

-| I
I
1 - УПВА; 2 - цифровой дисплей УПВА; 3 - клавиатура УПВА; 4 - ИВК; 5 - персональный компьютер (PC)
Рисунок 5. Схема подключения средств поверки при определении погрешности преобразования входных сигналов в значения объема и массы продукта, в значение коэффициента преобразования (метер-фактора) ПР.
Схема поверки 3.

-
5.4 Включают и прогревают ИВК и средства поверки в течение не менее 30 минут.
-
5.5 При подготовке к поверке ИВК при определении погрешности преобразования входных аналоговых сигналов в значения температуры, давления, объемной доли воды, вязкости (рисунок 2) в его память вводят следующие параметры:
-
- диапазоны измерений преобразователей температуры (°C), давления (кПа, бар или кгс/см2), объемной доли воды (%), вязкости (сСт).
-
5.6 При подготовке к поверке ИВК в режиме измерения плотности продукта
(рисунок 4) в его память вводят следующие параметры:
-
- то же, что по п.5.5;
-
- значения коэффициентов КО, К1, К2, К18, К19, К20А, К20В, К21 А, К21 В, взятые из сертификатов преобразователей плотности (далее - ПП) фирмы “Solartron” или значения коэффициентов Do, К, То, tcoef, Pcoef, teal, Peal, взятые из сертификатов ПП фирмы “Sarasota”;
-
- диапазоны измерений преобразователей температуры, давления.
-
5.7 При подготовке к поверке ИВК в режиме измерения объема и массы продукта (рисунки 1, 3, 5) в его память вводят следующие параметры:
-
- то же, что по п.5.6;
-
- тип продукта;
-
- используемый алгоритм вычисления;
-
- типы преобразователей расхода (далее - ПР) (объемные, массовые);
-
- значения коэффициентов преобразования ПР или, при необходимости, базовые значения коэффициентов преобразования конкретного ПР и значения метер-факторов;
-
5.8 При подготовке к поверке ИВК в режиме определения коэффициента преобразования (метер-фактора) ПР по ТПУ (рисунки 1, 3, 5) в его память вводят следующие параметры:
-
- то же, что по п.5.7;
-
- тип ТПУ;
-
- объем калиброванного участка ТПУ при стандартных значениях температуры и давления
-
- стандартные значения температуры и давления;
-
- внутренний диаметр калиброванного участка ТПУ;
-
- толщина стенок калиброванного участка ТПУ;
-
- модуль упругости материала калиброванного участка ТПУ;
-
- коэффициент линейного расширения материала калиброванного участка ТПУ;
-
- число измерений;
-
- допустимую продолжительность движения поршня;
Если выбран тип ТПУ - компакт-прувер (КП):
-
- значения объема “Downstream”;
-
- квадратичный коэффициент объемного расширения материала стенок КП;
-
- коэффициент линейного расширения инварового стержня;
-
- число пусков поршня, принимаемое за одно измерение;
-
5.9 При подготовке к поверке ИВК в режиме определения коэффициента преобразования (метер-фактора) ПР по контрольному ПР (рисунки 1, 3, 5) в его память вводят следующие параметры:
-
- то же, что по п.5.7;
-
- количество продукта, за время прохождения которого производится определение коэффициента преобразования (метер-фактора);
-
5.10 Ввод необходимых параметров производят или при помощи клавиатуры ИВК, или при помощи персонального компьютера с установленным ПО OMNICOM, связанного с ИВК через последовательный порт связи.
-
5.11 Остальную подготовку проводят в соответствии с требованиям эксплуатационных документов ИВК и руководствами по эксплуатации средств поверки.
-
6.1 Внешний осмотр
При внешнем осмотре убеждаются в том, что:
-
- комплектность поверяемого ИВК соответствует указанной в технической документации;
-
- на ИВК отсутствуют механические повреждения и дефекты покрытия, ухудшающие внешний вид и мешающие работе;
-
- надписи и обозначения на ИВК нанесены четко и соответствуют требованиям технической документации.
-
6.2 Опробование
При опробовании ИВК проверяют правильность прохождения сигналов от имитаторов преобразователей величин.
Сигналы ПР и 1111 имитируют генератором импульсов в составе УПВА.
Сигналы преобразователей температуры, давления, объемной доли воды, вязкости имитируют источниками постоянного тока в составе УПВА.
Сигналы детекторов ТПУ (КП) имитируют контактами реле «Старт», «Стоп» в составе УПВА.
Изменяя сигналы имитаторов величин, убеждаются во вводе и обработке их ИВК, контролируя значения величин на его дисплее.
-
6.3 Определение метрологических характеристик и обработка результатов изме рений.
-
6.3.1 Определение погрешности преобразования входных аналоговых сигналов в значения температуры, давления, объемной доли воды, вязкости.
Этот пункт выполняют, если поверка ИВК проводится по схеме поверки 2 или по схеме поверки 3. Если поверку ИВК проводят по схеме поверки 1, этот пункт пропускают.
-
6.3.1.1 Определение погрешности преобразования входных токовых аналоговых сигналов в значения температуры, давления, объемной доли воды, вязкости проводят по всем используемым аналоговым токовым каналам при значениях тока 4, 12, 20 мА. Расчетные значения величин, соответствующие вышеуказанным значениям тока, определяют по формуле
X — X




Y =^min+-^---1
р m,n I 6 где ^Cnin’^max " нижний и верхний пределы измерений преобразователей температуры (°C), давления(кПа, бар или кгс/см2), объемной доли воды (%), вязкости (сСт), (из технических паспортов).
/ - задаваемое значение тока, мА.
Результаты измерений заносят в протокол по форме приложения В.
-
6.3.1.2 Определение погрешности преобразования входных аналоговых сигналов напряжения в значения температуры, давления, объемной доли воды, вязкости проводят по всем используемым аналоговым каналам напряжения при значениях напряжения 1, 3, 5 В. Расчетные значения величин, соответствующие вышеуказанным значениям напряжения, определяют по формуле
= -~Xminx(H-l), (la)
где ' нижний и верхний пределы измерений преобразователей температуры
(°C), давления(кПа, бар или кгс/см2), объемной доли воды (%), вязкости (сСт), (из технических паспортов).
V - задаваемое значение напряжения, В.
Результаты измерений заносят в протокол по форме приложения В.
-
6.3.1.3 Определение погрешности преобразования входных сигналов сопротивления в значения температуры проводят по всем используемым каналам сопротивлений при значениях сопротивления 100.00 и 108.00 Ом . Расчетные значения температуры соответственно равны 0.00 и 20.54 °C.
Результаты измерений заносят в протокол по форме приложения В.
-
6.3.1.4 Абсолютную погрешность преобразования входных аналоговых сигналов в значения величины определяют по формуле
Ьх=Хв-Хр, (2)
где Xв - значение величины по показаниям ИВК;
За абсолютную погрешность преобразования аналоговых сигналов ИВК принимают максимальное из всех значений по каждой величине, определенных по формуле (2).
Этот пункт выполняют, если поверка ИВК проводится по схеме поверки 3. Если поверку ИВК проводят по схеме поверки 1 или по схеме поверки 2, этот пункт пропускают.
Определение погрешности преобразования входных частотных сигналов в значения плотности продукта проводят по всем используемым частотным каналам плотности при значениях периода частотного сигнала, соответствующих минимальному, среднему и максимальному значениям плотности продукта.
6.3.2.1 Относительную погрешность преобразования входных сигналов в значения плотности 8р определяют по формуле:
6р =1,1../'? +г/ (4)
Относительную погрешность преобразования входных частотных сигналов в значения плотности 8 р определяют по формуле:
(5)
Рр
где:
р - значение плотности по показаниям ИВК, кг/м3:
pp - расчетное значение плотности, определенное с использованием коэффициентов и по формулам, приведенным в сертификатах используемых плотномеров.
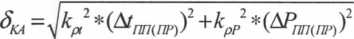
Относительную погрешность преобразования входных аналоговых сигналов в значения плотности (5^ определяют по формуле:
*(Д'„„)2 +(*„,)2 «(АР»)2 (6)
где Д/л/7 - абсолютная погрешность ИВК по каналу преобразования тока (напряжения) в температуру в ПП, °C;
кр1 - коэффициент влияния погрешности измерения температуры на вычисление плотности, %/°С
&РПП - абсолютная погрешность ИВК по каналу преобразования тока (напряжения) в давление в ПП, бар, (кгс/см2, кПа);
крР - коэффициент влияния погрешности измерения давления на вычисление плотности, %/бар (%/(кгс/см2), %/кПа);
Для плотномеров “Solartron 7830/7835”:
кр, = 0.002 % / °C
крР = 0.01 % / бар (0.01 %/(кгс/см2), 0.0001 %/кПа);
Для плотномеров “Sarasota FD960”:
кр, = 0.02 % / °C
крР = 0.038 % / бар (0.038 %/(кгс/см2), 0.00038 %/кПа);
При определении вышеуказанных погрешностей на входы каналов измерений расхода, плотности, температуры, давления, влагосодержания с соответствующих выходов УПВА подают значения сигналов или вводят с клавиатуры ИВК значения параметров в соответствии с выбранной схемой поверки. Их значения устанавливаются в соответствии с таблицей 1.
Таблица 1
Частота ПР, Гц, не более |
Плотность продукта в 1111, кг/м3 |
Массовая доля составляющих балласта, % |
Температура, °C |
Давление, (бар*) | ||
ПП |
ПР |
ПП |
ПР | |||
15000 |
минимальное значение диапазона по Приложению А при первичной поверке; минимальное значение рабочего диапазона при очередной поверке |
min |
чшп |
tmin ± 1 |
Лип |
Рпип ±0,3 |
15000 |
максимальное значение диапазона по |
max |
чпах |
tmax ± ' |
Лах |
р,™ ±о,з |
Приложению А при первичной поверке; максимальное значение рабочего диапазона при очередной поверке |
Вводят в память ИВК значения коэффициентов преобразования ПР, равные для всех каналов. Допускается проводить измерения при ранее установленных коэффициентах преобразования ПР в соответствии с результатами поверки ПР.
В УПВА задают число импульсов N, подаваемое на входы каналов расхода:
*К*п
(Ю)
где 1 = 5 для объемных ПР;
I = 8 для массовых ПР;
т - количество знаков после запятой в значениях объема и массы;
К - коэффициент преобразования ПР, введенный в память ИВК, имп/м3 для объемного ПР, имп/кг для массового ПР;
п - количество каналов расхода.
Если для каждого канала введен свой коэффициент преобразования:
10(5-т)

для объемных ПР
(Юа)
где К. - коэффициент преобразования ПР j - го канала расхода, введенный в память
ИВК, имп/м3.
10(5-ш)
N>-------- для массовых ПР (Юб)
V__1__
*ю3
где - коэффициент преобразования ПР j-го канала расхода, введенный в память ИВК, имп/кг.
Проводят отсчет показаний объема, стандартного объема, массы брутто и нетто нефти с дисплея ИВК. Подают на входы каналов расхода N импульсов, после остановки счета записывают показания, накопленные за время измерений объема, объема при стандартных условиях, объема нетто и массы продукта с дисплея ИВК.
Для каждой серии входных величин проводят не менее трех измерений. Результаты измерений заносят в протокол по форме приложения Г.
Для каждого ИВК может быть свой набор измеряемых величин, соответственно и обработку результатов измерений проводят только для вычисляемых параметров.
Обработку результатов измерений проводят в зависимости от конфигурации ИВК и выбранной схемы поверки, (пункты А - F).
А. Конфигурация OMNI: алгоритм вычисления - API 11.1 (2004г), тип ПР - объемный.
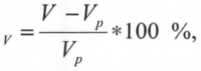
А.1 Относительную погрешность преобразования входных сигналов ИВК в значение объема продукта определяют по формуле:
К -И
8„ = -'-*100%, (8)
V р
где V - значение объема по показаниям ИВК, м3;
Vp - расчетное значение объема, м3.
Если установлены одинаковые коэффициенты преобразования для всех ПР, расчетное значение объема вычисляют по формуле
N
VP=^-, (9)
К
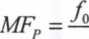
Если в память ИВК введены значения базового коэффициента преобразования конкретного типа ПР Кбаз. и метер-фактора MF, то К = Кбаз/MF.
Если для каждого ПР установлен свой коэффициент преобразования, расчетное значение объема вычисляют по формуле
="♦£/-> <10) 7=1 Лу
где Kj - коэффициент преобразования j-ro ПР, введенный в память ИВК, имп/м3, или, при необходимости, Kj = K6a3.j/MFj.
Значение 8У не должно превышать 0.001%.
А.2 Относительную погрешность преобразования входных сигналов ИВК в значение объема продукта при стандартных условиях 8УНУ определяют в зависимости от выбранной схемы поверки.
А.2.1 Схема поверки 1.
8 у ну = Уну - Унур -100%, где: |
(H) |
у = У * VCF * CPI у НУ Р УР У^ГПР ^ГЬ,ПР Vp определяется по ф-ле (9) или (10); = exp - a,r * (гя/> - tr) * {1 + [0.8 * a,r * (tnp - tr)]} |
(12) (13) |
а,г - коэффициент объемного расширения при стандартной температуре tr, °C
tnp - температура в ПР, °C;
(14)
СИ"'’= 1-(р„,.
Рпр - давление в ПР, бар (кПа, кгс/см2)
Pt - давление насыщенных паров продукта, бар (кПа, кгс/см2)
Fnp- коэффициент сжимаемости продукта при температуре в ПР, 1/бар (1/кПа, 1/(кгс/см2))
a/r, Fnp- определяются в соответствии с Приложением А.
Значение 8УНУ не должно превышать 0.025%.
А.2.2 Схема поверки 2 и схема поверки 3.
Sy Ну =1.1* 8' У ну2 + 8 У НУ л"
-
(15)
-
(16)
(17)
темпера-
где
V -V
с/ к ну * ну р 1ЛЛ0/
о у ну =----100%,
V
г НУР
Унур ’ определяется по ф-ле (12);
ЯУЛ = Ж?*2 + (Аг№)Г] + (кР)2 *[(ЬРПП)2 + (ДР^)2]
к, - коэффициент влияния на вычисление объема при н.у. погрешности измерений
туры: см. таблицу 1, например, &,= 0.09 %/°С при р = 850кг/м3 и t = 30°C
кР - коэффициент влияния на вычисление объема при н.у. погрешности измерений давле
ния: см. таблицу 2, например при р = 850кг/л/ и t = 30°C
кР =0.00008 %/ КПа или
кр = 0.008 %/бар или % / (Лг/см2)
\tnn - абсолютная погрешность ИВК по каналу преобразования тока в температуру
в ПП, °C;
Д/л? - абсолютная погрешность ИВК по каналу преобразования тока в температуру в ПР,
°C;
ДРл/7 - абсолютная погрешность ИВК по каналу преобразования тока в давление в ПП, кПа, бар или кгс/см2;
ЬРпр - абсолютная погрешность ИВК по каналу преобразования тока в давление в ПР, кПа, бар или кгс/см2;
Значение 8VHy не должно превышать 0.025%.
А.З Относительную погрешность преобразования входных сигналов ИВК в значение объема нетто продукта 8V н определяют в зависимости от выбранной схемы поверки.
А.3.1 Схема поверки 1.
И -И
8ун= н "p*100% (18)
^н р
(19)
VHyp ' определяется по ф-ле (12);
(р - значение объемной доли воды в продукте, %.
Значение 8VH не должно превышать 0.025%.
(20)
где:
8\h=Vh ^'’*100%
(21)
VHP - определяется по ф-ле (19);
Н А ~ НУ А + fi^BA ’
8УНУА определяется по ф-ле (17);
Афвпих
100-(рВг
•100;
(22)
(23)
Фвтах _ максимальное значение объемной доли воды в продукте, %.
Дфвтах" максимальное значение абсолютной погрешности преобразования входного аналогового сигнала ИВК в значение объемной доли воды, вычисленное по формуле (2), %.
При отсутствии поточного влагомера 8УВА - 0 .
Значение 8УН не должно превышать 0.025%.
А.4 Относительную погрешность преобразования входных сигналов ИВК в значение массы продукта 8М определяют в зависимости от выбранной схемы поверки.
8 м

*100%,
где:
Мр =Унур* Рнур'™00
Унур определяется по ф-ле (12);
Рнур ~
Р пп
VCFnn *CPLnn
VCFnn = ехр(- alr * (tnn - tr) * {1 + [0.8 * alr * (tnn - tr)]}
(24)
-
(25)
-
(26)
-
(27)
-
(28)
Значение 8M не должно превышать 0.025%.
(29)
Mp определяется по ф-ле (25);
S'MA = >,)2 *[(Д/т)2 +(Д/т,)2] + (^)2 *[(Д^7л)2 +(A^/>)2]
ЗрА определяется по формуле (6) (ЗрА = , (^,)2 *(Д////7)2 + (крР)2 * (ДРт)2 ) Значение 8М не должно превышать 0.025%.
А.4.3 Схема поверки 3.
где:
Зм определяется по ф-ле (30);
3'р определяется по ф-ле (5) (3'Р = ? *100%)
Рр
8ма определяется по ф-ле (31).
Значение 8М не должно превышать 0.025%.
В. Конфигурация OMNI: алгоритм вычисления - API 11.1 (2004), тип ПР - массовый.
В.Ютносительную погрешность преобразования входных сигналов ИВК в значение массы продукта 8М определяют по формуле:
М -М,
su= — '■•100%, (35)
Ч.
где М - значение массы по показаниям ИВК, т;
М Р - расчетное значение массы, т.
Если установлены одинаковые коэффициенты преобразования для всех ПР, расчетное значение массы вычисляют по формуле
У
(36)
К*1000
Если в память ИВК введены значения базового коэффициента преобразования конкретного типа ПР Кбаз. и метер-фактора MF, то К = Кбаз/MF.
Если для каждого ПР установлен свой коэффициент преобразования, расчетное значение массы вычисляют по формуле

(37)
где Кj - коэффициент преобразования j-го ПР, введенный в память ИВК, имп/Кг, или,
при необходимости, Kj= Кба-ij/MFj.
Значение £мне должно превышать 0.001%.
В.2Относительную погрешность преобразования входных сигналов ИВК в значение объема продукта при стандартных условиях 8VHy определяют в зависимости от выбранной схемы поверки.

НУ Р
(38)
где:
Рну р
Мр определяется по ф-ле (36) или (37);
(39)
Рнур определяется по формуле (26) рну р -

Значение 8У ну не должно превышать 0.025%.
В.2.2 Схема поверки 2.

(40)
где:
ё'УНУ = Уну Г//УР*100%
К
' Г-Г\/ Р
(41)
НУ Р
Уиу1, определяется по ф-ле (39);


(42)

НУ

(43)
8р А определяется по ф-ле (6) (ЗрА = (кр/)2 * (Л1ПП)2 + (крР)2 * (ЛРПП)2 )
Значение 8УНУ не должно превышать 0.025%.

В.2.3 Схема поверки 3.

(44)
где:
(45)
8 у ну — 8‘уну + 8 р
8'уну определяется по ф-ле (41);
S'p определяется по ф-ле (5) {S' P = ? ?p *100%);
Pp
SPHyA определяется по ф-ле (42).
Значение SVHy не должно превышать 0.025%.
В.ЗОтносительную погрешность преобразования входных сигналов ИВК в значение объема продукта Sp определяют в зависимости от выбранной схемы поверки.
В.3.1 Схема поверки 1.
К-К
S, = '*100% (46)
Гр
где:
VP =----Уну1----- )
Р VCFnP*CPLnp
Унур определяется по ф-ле (39);
VCFnp, CPLnp определяются по формулам (13) и (14) соответственно.
Значение 8Р не должно превышать 0.025%.
В.3.2 Схема поверки 2.
где
V -V
Vр
VP определяется по ф-ле (47);
S\A = >,)2*[(A/m)2+(A/ffl.)2] + ^2 *[(^)2 +(Д^р)2]
8рА определяется по ф-ле (6) (ЗрА = у{кр1У *{А(ППУ +{крРУ *(ДРППУ )
Значение Sy не должно превышать 0.025%.
В.3.3 Схема поверки 3.
где:
S v определяется по ф-ле (49);
8‘р определяется по ф-ле (5) {S'р = ? *100%);
Рр
Sv а определяется по ф-ле (50).
Значение с/ не должно превышать 0.025%.
-
B.4 Относительную погрешность преобразования входных сигналов ИВК в значение объема нетто продукта н определяют в зависимости от выбранной схемы поверки.
В.4.1 Схема поверки 1.
3УН =
(54)
где:
Vhp

(55)
Значение 8УН не должно превышать 0.025%.

В.4.2 Схема поверки 2.

(56)
где:
S'vh = Vh- 71 *100%
(57)
VHP определяется по ф-ле (55);
■'У H А \| иУ НУ А т иУВА ’
'у ну а определяется по ф-ле (42);
(58)
дунУА

(59)
Фвпих _ максимальное значение объемной доли воды в продукте, %.
ДфВпих - максимальное значение абсолютной погрешности преобразования входного аналогового сигнала ИВК в значение объемной доли воды, вычисленное по формуле (2), %.
При отсутствии поточного влагомера 8УВА - 0 .
Значение 8УН не должно превышать 0.025%.
В.4.3 Схема поверки 3.

(60)
где:
8" у н = 81 у н + 8 р
8'у н определяется по ф-ле (57);
(61)
8'р определяется по ф-ле (5) (8'Р *100%);
Рр
8уна определяется по ф-ле (58).
Значение 8УН не должно превышать 0.025%.
С. Конфигурация OMNI; алгоритм вычисления - API 11.1 (1980г), тип ПР - объемный.
-
C.l Относительную погрешность преобразования входных сигналов ИВК в значение объема продукта определяют по формуле:
К - И,
8V=----^*100%, (62)
где V - значение объема по показаниям ИВК, м3;
Vp - расчетное значение объема, м3.
Если установлены одинаковые коэффициенты преобразования для всех ПР, расчетное значение объема вычисляют по формуле
N
?Р="*г’ (63)
К
Если в память ИВК введены значения базового коэффициента преобразования конкретного типа ПР Кбаз. и метер-фактора MF, то К = К6аз/МЕ.
Если для каждого ПР установлен свой коэффициент преобразования, расчетное значение объема вычисляют по формуле
Vp=N*X~' (6«)
у=1 KJ
где К. - коэффициент преобразования j-ro ПР, введенный в память ИВК, имп/м3, или, при необходимости, Kj = Keaa.j/MFj.
Значение 8V не должно превышать 0.001 %.
С.2 Относительную погрешность преобразования входных сигналов ИВК в значение объема продукта при стандартных условиях 8VHy определяют в зависимости от выбранной схемы поверки.
С.2.1 Схема поверки 1.
(65)
'НУР
где:
Vfiyp = Vp*VCFnP*CPLnp (66)
Vp определяется по ф-ле (63) или (64);
VCFnp = ехр(- a,r * (tnp - tr) * {1 + [о.8 * а,г * - /г)]}) (67)
а,г - коэффициент объемного расширения при стандартной температуре tr, °C
tnp - температура в ПР, °C
СРЛ'”’ 1-(Р„,-Р.)‘Т„,
Р - давление в ПР, бар (кПа, кгс/см2)
Р - давление насыщенных паров продукта, бар (кПа, кгс/см2)
PjlP - коэффициент сжимаемости продукта при температуре в ПР, 1/бар (1/кПа, 1/(кгс/см2))
Of,r, Fnp- определяются в соответствии с Приложением А с использованием значения плотности продукта при н.у., заданного в свойствах Продукта.
(Если в свойствах Продукта задана р20 = 850, в расчетах a,r, Fnp используется (для нефти) /?15 = 853.601, в ф-ле (67) tr = 20, в ф-ле (68) - Fnp, рассчитанный при температуре в ПР).
Значение 8УНУ не должно превышать 0.025%.
С.2.2 Схема поверки 2 и схема поверки 3.
где
^НУ Р
VHy р определяется по ф-ле (66);
к, - коэффициент влияния на вычисление объема при н.у. погрешности измерений температуры, определяется по таблице 1;
кр - коэффициент влияния на вычисление объема при н.у. погрешности измерений давления, определяется по таблице 2.
Значение 8УНУ не должно превышать 0.025%.
С.З Относительную погрешность преобразования входных сигналов ИВК в значение объема нетто продукта 8УН определяют в зависимости от выбранной схемы поверки.
С.3.1 Схема поверки 1.
<Ья= ''---'''’*100% (72)
К
г н р
-
(73)
VHyp " определяется по ф-ле (66);
(р - значение объемной доли воды в продукте, %.
Значение 3 ун не должно превышать 0.025%.
С.3.2 Схема поверки 2 и схема поверки 3.
-
(74)
где:
8'ун = У— —НР * 100 % (75)
Vhp
VH р - определяется по ф-ле (73);
H A ~ НУ A + ЗувА ’
^унуа определяется по ф-ле (71);

Афвтах
100-фвг
•100;
(77)
Фвтах _ максимальное значение объемной доли воды в продукте, %.
Лфвтах * максимальное значение абсолютной погрешности преобразования входного аналогового сигнала ИВК в значение объемной доли воды, вычисленное по формуле (2), %.
При отсутствии поточного влагомера 8VBA - 0.
Значение 8 ун не должно превышать 0.025%.
С.4 Относительную погрешность преобразования входных сигналов ИВК в значение массы продукта 8М определяют в зависимости от выбранной схемы поверки.
С.4.1 Схема поверки 1.
М -М„
8м--------р- * 100 %, (78)
МР
MP=VHyp* Рну /1000 (79)
Кяу/» определяется по ф-ле (66);
рт- значение плотности при н.у., задаваемое в свойствах Продукта.
Значение 8 м не должно превышать 0.025%.
С.4.2 Схема поверки 2 и схема поверки 3.
^=1.1* (8°) где
, М - м„
8м =--------"-*100%, (81)
Мр - определяется по ф-ле (79)
^л = Л,2*(Д^)2+^2*(Д^т.)2 (82)
Значение 8 м не должно превышать 0.025%.
-
D. Конфигурация OMNI: алгоритм вычисления - API 11.1 (1980 г), тип ПР - массовый.
-
D.1 Относительную погрешность преобразования входных сигналов ИВК в значение массы продукта 8М определяют по формуле:
М -М„
8М=- р*100%, (83)
где M - значение массы по показаниям ИВК, т;
МР - расчетное значение массы, т.
Если установлены одинаковые коэффициенты преобразования для всех ПР, расчетное значение массы вычисляют по формуле
= п*
7V
К*1000
(84)
Если в память ИВК введены значения базового коэффициента преобразования конкретного типа ПР Кбаз. и метер-фактора MF, то К = Кбаз/MF.
Если для каждого ПР установлен свой коэффициент преобразования, расчетное значение массы вычисляют по формуле
Mp=N*^
>1
1
К,*1000
(85)
где Kj - коэффициент преобразования j-ro ПР, введенный в память ИВК, имп/Кг, или, при необходимости, Kj = K6a3.j/MFj.
Значение 8М не должно превышать 0.001%.
-
D.2 Относительную погрешность преобразования входных сигналов ИВК в значение объема продукта при стандартных условиях 8VHy определяют по формуле:
8 УНУ = Уну ~ Vffyp * 1 оо % (86)
Унур
где:
М
VHyP= Р *1000 (87)
Р ну
Мр - определяется по ф-ле (84) или (85);
рну - значение плотности при н.у., задаваемое в свойствах Продукта.
Значение 8 УНУ не должно превышать 0.025%.
-
D.3 Относительная погрешность преобразования входных сигналов ИВК в значение объема продукта 8У определяется в зависимости от выбранной схемы поверки.
D.3.1 Схема поверки 1.
8
(88)
где:
И = НУ1‘
Р VCFnp^CPLnp
VCFnr, СРЬПр определяются соответственно по формулам (67) и (68).
Значение 8 v не должно превышать 0.025%.
где
V -V
Vр
Vp - определяется по ф-ле (89);
л = TV * №ПР )2 + к2 * (ЬРПР )2
Значение 3 v не должно превышать 0.025%.
-
D.4 Относительную погрешность преобразования входных сигналов ИВК в значение объема нетто продукта 8РН определяют в зависимости от выбранной схемы поверки.
-
D.4.1 Схема поверки 1.
у _ jz
3 г н = —---— * 100 % (93)
р
(94)
Ияу/, - определяется по ф-ле (87);
(р - значение объемной доли воды в продукте, %.
Значение 8 УН не должно превышать 0.025%.
=1.1* З'р н2 + 3УВА~
(95)
(96)
где:
з'рн = Ун К/у/‘*юо%
VHP - определяется по ф-ле (94);
■100;
(98)
Фвтах “ максимальное значение объемной доли воды в продукте, %.
Лфвтах ’ максимальное значение абсолютной погрешности преобразования входного аналогового сигнала ИВК в значение объемной доли воды, вычисленное по формуле (2), %. При отсутствии поточного влагомера 3УВА =0 и 3УН = 8'v н .
Значение 8 VH не должно превышать 0.025%.
-
E.l Относительную погрешность преобразования входных сигналов ИВК в значение объема продукта Зу определяют по формуле:
К
3,, = р*100%, (99)
Vp
где V - значение объема по показаниям ИВК, м3;
Vp - расчетное значение объема, м3.
Если установлены одинаковые коэффициенты преобразования для всех ПР, расчетное значение объема вычисляют по формуле
(100)
к.
Если в память ИВК введены значения базового коэффициента преобразования конкретного типа ПР Кбаз. и метер-фактора MF, то К = Кбаз/MF.
Если для каждого ПР установлен свой коэффициент преобразования, расчетное значение объема вычисляют по формуле

(Ю1)
где Кi - коэффициент преобразования j-ro ПР, введенный в память ИВК, имп/м3, или, при НеобхОДИМОСТИ, Kj = Keas.j/MFj.
Значение 3 у не должно превышать 0.001%.
Е.2 Относительная погрешность преобразования входных сигналов ИВК в значение объема продукта при стандартных условиях 3УНУ определяют в зависимости от выбранной схемы поверки.
Е.2.1 Схема поверки 1.
НУ = Гну^Унур • 100%, (102)
*НУ Р
где:
(103)
Vp - определяется по ф-ле (100) или (101);
VCFnp = Рпп (104)
Рну
Частотный сигнал имитации рпп задается от УПВА, значение рт - в свойствах продукта, с клавиатуры.
CPLnp=\ (105)
Значение Зу ну не должно превышать 0.025%.
8y Hy = 1.1 * 8 V ну2 + 8 У НУ Л2
где

' НУ Р
VHy р определяется по ф-ле (103);
(Ю7)
(Ю8)
^унул~ 8ipl *(&1ПП) + крР *(АРпп)~
(Ю9)
Значение 8РНУ не должно превышать 0.025%.
НУ = 1 ■ 1 * 8" УНУ2 +8уНУЛ
где:
8 у ну = 8‘ у ну + 8 р
(НО)
8'уну определяется по ф-ле (107);
8'р определяется по ф-ле (5); (8'р = ? * 100%)
Р/>
8уНур определяется по ф-ле (109).
Значение 8У ну не должно превышать 0.025%.
Е.З Относительную погрешность преобразования входных сигналов ИВК в значение массы продукта 8и определяют в зависимости от выбранной схемы поверки.

(Н2)
где:
Мр = Vhvp * Рну /Ю00
VHyp определяется по ф-ле (103);
(ИЗ)
рну - в свойствах продукта, с клавиатуры.
или Мр = Vp * рпп /1000
(Н4)
Vp - определяется по ф-ле (100) или (101);
Частотный сигнал имитации рпп задается от УПВА.
Значение 8М не должно превышать 0.025%.
где
, M -M
Mp определяется по ф-ле (113) или (114);
Значение 8М не должно превышать 0.025%.
8М =1.1* 8 л/2 +8ма~
(Н8)
(Н9)
где:
8 м = 8 м + 3 р
8'м определяется по ф-ле (116);
8'р определяется по ф-ле (5);
8ма определяется по ф-ле (117).
Значение 8М не должно превышать 0.025%.
Е.4 Относительную погрешность преобразования входных сигналов ИВК в значение объема нетто продукта 8VH определяют в зависимости от выбранной схемы поверки.
-100%, (120)
* н р
где:
р ~ ^ну р * |1 — 100} (121)
VHyp определяется по ф-ле (103);
(р - значение объемной доли воды в продукте, %.
Значение 3V н не должно превышать 0.025%.
^rw=l.l* ^/гт/2+^//л2 (122)
S'vh = V-H V"P ■ 100%, (123)
'HP
VH p - определяется по ф-ле (121);
Sy H A ~ НУ A SyBA > ( 1 24)
SyHyа определяется по ф-ле (109);
= , Д’*’*''" -100; (125)
100 — фо
| В max
Фвтах _ максимальное значение объемной доли воды в продукте, %.
Дфвпих' максимальное значение абсолютной погрешности преобразования входного
аналогового сигнала ИВК в значение объемной доли воды, вычисленное по формуле (2), %.
При отсутствии поточного влагомера 3VBA - 0 .
Значение 3V н не должно превышать 0.025%.
Н = 1 • 1 * -]s V Н + Sy н А (1 26)
где:
8"у н = 8'у н + 8 р (127)
S'vh определяется по ф-ле (123);
8'р определяется по ф-ле (5); (3 р * 100%)
Рр
ЗуНА определяется по ф-ле (124).
Значение Зу н не должно превышать 0.025%.
-
F.1 Относительную погрешность преобразования входных сигналов ИВК в значение массы продукта определяют по формуле:
М -М„
8М= "*100 %, (128)
где М - значение массы по показаниям ИВК, т;
Мр - расчетное значение массы, т.
Если установлены одинаковые коэффициенты преобразования для всех ПР, расчетное значение массы вычисляют по формуле
jV
(129)
К*1000
Если в память ИВК введены значения базового коэффициента преобразования конкретного типа ПР Кбаз. и метер-фактора MF, то К = K6a3/MF.
Если для каждого ПР установлен свой коэффициент преобразования, расчетное значение массы вычисляют по формуле:
>1
1
К] *1000
(130)
где Kj - коэффициент преобразования j-ro ПР, введенный в память ИВК, имп/Кг, или, при необходимости, Kj= K6a3.j/MFj.
Значение Зм не должно превышать 0.001%.
Р.20тносительную погрешность преобразования входных сигналов ИВК в значение объема продукта при стандартных условиях 8УНУ определяют по формуле:
У -У
о v ну = *100% (131)
УНУ Р
где:
М
(132)
Унур= 73 *Ю00
Рну
Мр определяется по ф-ле (129) или (130);
рну задается с клавиатуры.
Значение 3УНУ не должно превышать 0.025%.
Р.ЗОтносительную погрешность преобразования входных сигналов ИВК в значение объема продукта Зу определяют в зависимости от выбранной схемы поверки.
-
F.3.1 Схема поверки 1.
V -К
р
где:
VHyr определяется по ф-ле (132);
Рну
Частотный сигнал рпп подается от УПВА;
рну задается с клавиатуры.
М р
Рпп
Значение 3V не должно превышать 0.025%.
где
jz _y
Vp
VP определяется по ф-ле (134);
Значение <5'l, не должно превышать 0.025%.
где:
8' v определяется по ф-ле (139);
8‘р определяется по ф-ле (5);
8va определяется по ф-ле (140).
Значение 8V не должно превышать 0.025%.
-
F.4 Относительную погрешность преобразования входных сигналов ИВК в значение объема нетто продукта 8VH определяют в зависимости от выбранной схемы поверки.
-
F.4.1 Схема поверки 1.
н = НР • 100%, (143)
р
где:
(144)
VHyp определяется по ф-ле (132);
(р - значение объемной доли воды в продукте, %.
Значение 8УН не должно превышать 0.025%.
8УН=\Л*^н2+8УНА2 (145)
где
8'vh = Vh~Vhp . 100%, (146)
р
Vн р - определяется по ф-ле (144);
^^Япшх
ЮО-Рвпшх
•100;
(148)
Фвтах “ максимальное значение объемной доли воды в продукте, %.
Афвтах ‘ максимальное значение абсолютной погрешности преобразования входного аналогового сигнала ИВК в значение объемной доли воды, вычисленное по формуле (2), %.
При отсутствии поточного влагомера 3УВА = 0 и 8У н — 8 vh .
Значение 8УН не должно превышать 0.025%.
<^„=1.1* ^2+5УнАг (149)
где:
8"ун = 8\н+8'Р (150)
81 vh определяется по ф-ле (146);
8‘р определяется по ф-ле (5); (8'Р = ? ?р *100%)
Рр
8УИЛ определяется по ф-ле (147).
Значение 8УН нс должно превышать 0.025%.
-
6.3.4 Определение погрешности преобразования входных сигналов ИВК в значения коэффициента преобразования (метер-фактора) 8К при поверке ПР при помощи поверочной установки (ПУ).
Определение 8К проводят при значениях нижнего и верхнего пределов диапазонов измерений параметров продукта.
Вводят с клавиатуры ИВК минимальные (максимальные) значения температуры и давления в ПР и ПУ. При помощи клавиатуры УПВА устанавливают частоту выходного сигнала /<15000 Гц.
Для объемных ПР частоту / вычисляют по формуле:
3600 ’
где Q - любое значение расхода из рабочего диапазона расхода I ГУ, м3/ч;
К - значение коэффициента преобразования ПР, имп/м3, вычисляемое по формуле:

V ~ ПУ о
N >10000 - число импульсов, подаваемое с УПВА, за одно измерение.
Упу(1 - значение вместимости калиброванного участка ПУ при стандартных условиях, введенное в память ИВК, м3.
Для массовых ПР частоту f вычисляют по формуле:

3600
где Q - любое значение расхода из рабочего диапазона расхода ПУ, м3/ч;
р - плотность продукта, кг/м3;
К - значение коэффициента преобразования ПР, имп/кг, вычисляемое по формуле:
^ПУО X Р
N > 10000 - число импульсов, подаваемое с УПВА, за одно измерение.
- значение вместимости калиброванного участка ПУ при стандартных условиях, введенное в память ИВК, м3.
Для каждой серии входных параметров проводят не менее трех измерений. Результаты измерений заносят в протокол по форме приложения Д.
-
6.3.4.1 Обработку результатов измерений проводят в зависимости от конфигурации ИВК и выбранной схемы поверки, (пункты G - L).
-
G. Конфигурация OMNI: алгоритм вычисления - API 11.1 (2004), тип ПУ-ТПУ (компакт-прувер) одно- и двунаправленная, тип ПР - объемный.
-
G.l MF не используется.
-
G.1.1 Относительную погрешность преобразования входных сигналов ИВК в значение коэффициента преобразования Зк определяют в зависимости от выбранной схемы поверки.
G. 1.1.1 Схема поверки 1.
о К-Кр
8К =-----*100%

(151)
где:


(152)
у * с * с
Г0 ^TSP ^PSP ^TLP u PLP
N - количество импульсов от УПВА, имп;

(153)
atr - коэффициент объемного расширения при стандартной температуре tr, °C tnp - температура в ПР, °C
(154)
РШ 1-(Рпр-Р>Рпр
Рпр - давление в ПР, бар (кПа, кгс/см2);
Ре - давление насыщенных паров продукта, бар (кПа, кгс/см2);
Рщ> - коэффициент сжимаемости продукта при температуре в ПР, 1/бар (1/кПа,
1/(кгс/см2));
aZr, Fnp- определяются в соответствии с Приложением А;
Д, - объем калиброванного участка ТПУ (компакт-прувера), м ’;
^TSP = 1 + (Г/7У “/))*/ (155)
tny - температура в ПУ, С;
t0 - стандартная температура. С;
у - кубический коэффициент расширения материала стенок ТПУ, 1/С;
Для компакт-прувера:
С tsp = И + if пу " 'о )* Х1 * [1 + - 'о )* Yu,тар ]
(156)
(157)
/««up" температура инварового стержня, С;
У„„ви/, - линейный коэффициент расширения инварового стержня, 1/С.
_п (Рпу-Р^Р E*S
Рпу- давление в ПУ, бар (кПа, кгс/см );
Ро - стандартное давление, бар (кПа, кгс/см2);
D- внутренний диаметр калиброванного участка ТПУ, мм;
Е - модуль упругости материала калиброванного участка ТПУ, бар (кПа, кгс/см2);
5 - толщина стенок калиброванного участка ТПУ, мм;
CTlp = ехР<- * i'nv - С) * {1 + [0-8 * alr * (/w - tr ® (158)
(159)
Fm- коэффициент сжимаемости продукта при температуре в ПУ, 1/бар (1/кПа, 1/(кгс/см2)).
Значение 8К не должно превышать 0.025%.
4 =11* -8'^+8^ (160)
где:
8'к = — ■-*100% (161)
к р
Кр - определяется по ф-ле (152);
4 =^’ *[(у„,)2 +(^y]+(^ +W *[(W +(W142 *[W2 +(ДРш)г]+(Ар+лЬя,)2 *[(дрЛУЛ)1 +(^)2]
(162)
kcrsp = 0.003 %/ "С - коэффициент влияния Д?/;у на C7i7>;
kcpsp = 0.004 %/ бар - коэффициент влияния ДР77У на CPSP; (для прувера Ду - 900 мм)
^=0.003%/бар kcpsp = 0-002 % / бар |
(для прувера Ду - 600 мм) (для прувера Ду - 400 мм) |
kcpsp = 0.001 % / бар |
(для прувера Ду - 200 мм) |
Для пруверов Ду меньше 200 мм влиянием АД,,.. на CPSP можно пренебречь, т.е. в формуле (162) kCPSP = 0.
Для компакт-прувера:
=^,2 *[Х.)2 +(^)2]+(А +W *(^У +(0.00014)2 *(az/№)2 +V *[(АД,)2 +(АД7)2]+(Д, +Аот,)2 чадд2
(163)
0.00014 %/С - коэффициент влияния ^!ит на CTSP\ (можно пренебречь)
kCTSP ~ 0-003 %/ °C - коэффициент влияния Az77V. на Сгар; (можно пренебречь) kCPSP = 0.001 %/ бар - коэффициент влияния 8РПУ на CPSP; (можно пренебречь) Значение kcpsp — усредненное для всех типоразмеров компакт-пруверов.
Значение 8К не должно превышать 0.025%.
-
G.2.1 Относительную погрешность преобразования входных сигналов ИВК в значение метер-фактора 8МР определяют в зависимости от выбранной схемы поверки.
где:

(165)
Ко -установленное значение коэффициента преобразования поверяемого ПР, имп/м3
Значение 8МР не должно превышать 0.025%.
8‘ MF =
MF - MF р
MF р
*100%
(166)
(167)
где:
MFP - определяется по ф-ле (165);
8КЛ ~ определяется по ф-ле (162) или (163).
Значение 8МР не должно превышать 0.025%.
Н. Конфигурация OMNI: алгоритм вычисления - API 11.1 (1980), тип ПУ -ТПУ (компакт-прувер) одно- и двунаправленная, тип ПР - объемный.
Отличие от n.G: при расчете коэффициентов берется плотность и температура при н.у., установленные в свойствах Продукта.
Вформулах (162), (163) Д/7777 ,АД777 равны нулю.
-
I. Конфигурация OMNI: алгоритм вычисления - Mass Calculation, тип ПУ -ТПУ (компакт-прувер) одно- и двунаправленная, тип ПР - объемный.
ЫЛОтносительную погрешность преобразования входных сигналов ИВК в значение коэффициента преобразования 8К определяют в зависимости от выбранной схемы поверки.
tt
(168)
к КР
где:
N*C *С К _ ^TLM PLM * C-TSP * PSP * ^TLP * С PLP |
(169) |
С tsp ~ 1 ПУ — /) ) * / |
(170) |
или | |
С tsp = [1 + Ьпу - ^0 )*/]*[! + - 'о) * Уитар ] |
(171) |
(172) | |
Е* S | |
_ Рпу ^TLP ~~ |
(173) |
Рну | |
_ Рпр ^TLM |
(174) |
Рну | |
С - 1 |
(175) |
С -1 |
(176) |
Тогда: | |
к _ Н*рПР |
(177) |
* Ctsp * Сpsp * Рпу | |
Если плотномера ПУ нет, то рпу - рПР и | |
Kr- N |
(177*) |
г V *с * с к0 ^TSP PSP |
Значение 8К не должно превышать 0.025%.
^=1.1.^'/+^? <|78>
где:
а'к = К~Кр *\0Q°/o (179)
Кр - определяется по ф-ле (177)
kpt *(^пп(ПР)) + kpt *^пп(ПУ)) + крр *^^>пп(пр)) +крр *(^пп(ЛУ)) + +(^сгар) *[(^//У&) +(^ЛУВб«) ] + (^стар) *К^/7УЛг) + (^/7Уйых) ]
^KA~
(180)
Если плотномера ПУ нет, то:
А = y{(kCTSp) *[(Atny fa) + (Д?/7У &«)"] +(^сга3) *[(^ПУ/&) + (ДРЛуВыд.) 1 (180*)
Значение Зк не должно превышать 0.025%.
=1.1.7^'/ + ^/ (181)
где:
^=^+^р + ^у (182)
3'к - определяется по ф-ле (179);
3 рПР и 81 рПУ определяются по ф-ле (5);
Если плотномера ПУ нет, то в ф-ле (182) 3 пу - 0
3КА - определяется по ф-ле (180);
Значение Зк не должно превышать 0.025%.
-
1.2.1 Относительную погрешность преобразования входных сигналов ИВК в значение метер-фактора 3МР определяют в зависимости от выбранной схемы поверки.
MF -MF р
MF Р
*100%
(183)
где:
V * С *с *с *с r0 ^7SP ^ILP ^PLP
^TLM v PLM
или:
л//> = v0*cTSP*cPSP*pny *н*рпр 0
Если плотномера ПУ нет:
V * С *С
Л/Ч=° Чу
Р N 0
Значение 3МР не должно превышать 0.025%.
-
(184)
-
(185)
-
(186)
3MF = 1.1* З1 мр2 + 3КА2
где:
MF - MF P
8 mf =--------- *100% (188)
MFP
MFP - определяется по ф-ле (185);
8KA - определяется по ф-ле (180) или (180*).
Значение 8M/, не должно превышать 0.025%.
^=1.1*7^V+^/ (189)
где:
MF ~ $ MF р ПР ■*" р ПУ ( 1 90)
8‘ МР ' определяется по ф-ле (188);
8 рпр и &Рпу определяются по ф-ле (5);
Если плотномера ПУ нет, то в ф-ле (190) 8' ПУ - 0
3КА - определяется по ф-ле (180) или (180*).
Значение 8МР не должно превышать 0.025%.
J. Конфигурация OMNI: алгоритм вычисления - API 11.1 (2004), тип ПУ-ТПУ (компакт-прувер) одно- и двунаправленная, тип ПР - массовый.
J.l MF не используется.
J. 1.1 Относительную погрешность преобразования входных сигналов ИВК в значение коэффициента преобразования 8К определяют в зависимости от выбранной схемы поверки.
J. 1.1.1 Схема поверки 1.
= к *100%-
(191)
-
(192)
-
(193)
где:
Кр =--------------
^0 * Crsp * PSP * Р ПУ
Crsp ~ 1 (^/7У “ Г0 ) * У
(пу - температура в ПУ, С;
/0- стандартная температура, С;
у - кубический коэффициент расширения материала стенок ТПУ, 1/С;
Для компакт-прувера:
С tsp = [1+ (Гяу — Го )* /] *[1 + (tUHmp —10 )* У,штр ] (194)
" температура инварового стержня, С;
где:
, MF — MF р 8 mf = *100% MF р MFP - определяется по ф-ле (185); 3КА - определяется по ф-ле (180) или (180*). Значение 8MF не должно превышать 0.025%. |
(188) |
1.2.1.3 Схема поверки 3. =i-i*7J/v+^/ где: |
(189) |
Я" MF = МР+^' рПР+^'рПУ 8' MF - определяется по ф-ле (188); 8рПР и 8‘рПУ определяются по ф-ле (5); Если плотномера ПУ нет, то в ф-ле (190) 8'пу - 0 8КА - определяется по ф-ле (180) или (180*). Значение 8MF не должно превышать 0.025%. |
(190) |
J. Конфигурация OMNI: алгоритм вычисления - API 11.1 (2004), тип ПУ -ТПУ
(компакт-прувер) одно- и двунаправленная, тип ПР - массовый.
J.l MF не используется.
ЛЛ.Ютносительную погрешность преобразования входных сигналов ИВК в значение коэффициента преобразования 8К определяют в зависимости от выбранной схемы поверки.
J. 1.1.1 Схема поверки 1.
8к = К ^*100% кР |
(191) |
где: АГР = N К) * Crsp * PSP * Р ПУ CrSP ~ 1 + (^77У _ ^0 ) * Y tny - температура в ПУ, С; |
|
/0- стандартная температура, С;
у - кубический коэффициент расширения материала стенок Г11У, 1/С;
Для компакт-прувера:
CtSP — [1 ПУ />)*/]*[!■*■ (/meop Z0 ) * Yumap 1 " температура инварового стержня, С; |
(194) |
J. 1.1.3 Схема поверки 3.
Зк =1.1* -3/,к2+3КА2 (204)
где:
^=^+j; (205)
3 к - определяется по ф-ле (200);
8'р - определяется по ф-ле (5) для ПП ПУ, если он есть; если ПП ПУ нет - для ПП ПР.
8М - определяется по ф-ле (202) или (203).
Значение 8К не должно превышать 0.025%.
Л.2.1Относительную погрешность преобразования входных сигналов ИВК в значение метер-фактора 8МР определяют в зависимости от выбранной схемы поверки.
J.2.1.1 Схема поверки 1.

MF - MF р
MF р
*100%
(206)
где:
v * с * С * п
MFP = 0 га/> Рпу * Ко (207)
Сге/>, Cpsp - определяются по ф-лам (193 или 194), (195);
рпу - плотность по периоду частотного сигнала (задается от УПВА) и температуре и давлении в плотномере ПУ;
Если нет плотномера ТПУ, рпу определяется по ф-ле (198).
Значение 8МР не должно превышать 0.025%.
где:
8 MF =
MF-MFP
MFP
*100%
(208)
(209)
MFP - определяется по ф-ле (207);
8КЛ - определяется по ф-ле (202) или (203).
Значение 8МР не должно превышать 0.025%.
SMF =1-1* 8 MF2 +3КА
(210)
где:
3llMF=3lMP + 3lp (211)
3MF определяется по ф-ле (209);
8' p - определяется по ф-ле (5) для ПП ПУ, если он есть; если ПП ПУ нет - для ПП ПР.
8М - определяется по ф-ле (202) или (203).
Значение 8МР не должно превышать 0.025%.
К, Конфигурация OMNI: алгоритм вычисления - API 11.1 (1980), тип ПУ-ТПУ (компакт-прувер) одно- и двунаправленная, тип ПР - массовый.
К. 1.1 Относительную погрешность преобразования входных сигналов ИВК в значение коэффициента преобразования Зк определяют в зависимости от выбранной схемы поверки.
= £_£г*1000/о
(212)
(213)
где:
КР =------—------
^0 * C-TSP * PSP * РпЩПУ)
CTSP, Cpsp - определяются по ф-лам (193 или 194), (195);
Рпп(пу) " плотность, рассчитанная по периоду частотного сигнала при температуре и давлении в плотномере ПУ.
Если нет плотномера ПУ, то:
РпП(ПУ)
- РпП(ИР)

(216)
В ф-ле (216) коэффициенты CTLP, CPLP, CTLM, CPLM рассчитываются при значении плотности при н.у., указанном в свойствах Продукта.
Значение Зк не должно превышать 0.025%.
Зк = 1-1* 3 к' +3К/
где:
д'к = ^Z^r*ioo% кР
Кр - определяется по ф-ле (213);
8КА ~^kpl *(3tnniny)Y +kpp *(Д^Л77(/7У))
Если нет плотномера ПУ:
-
(217)
-
(218)
(219)
^=7V*^(/p)>2
(220)

Значение 8K не должно превышать 0.025%.
^-1.1* ^8" к2 +8КА2
(221)
где:
(222)
+ (22:
8'к определяется по ф-ле (218);
8 - определяется по ф-ле (5) для ПП ПУ, если он есть; если ПП ПУ нет - для ПП
ПР.
8,^ - определяется по ф-ле (219) или (220).
Значение 8К не должно превышать 0.025%.
К.2.Ютносительную погрешность преобразования входных сигналов ИВК в значение метер-фактора 8МР определяют в зависимости от выбранной схемы поверки.

(223)
где:
MF = Vo*Ctsp *CPSP*Pnv *к
(224)
Crsp, CPSP - определяются по ф-лам (193 или 194), (195);
рпу - плотность по периоду частотного сигнала (задается от УПВА) и температуре и давлении в плотномере ПУ;
Если нет плотномера ТПУ, рпу определяется по ф-ле (216).
Значение 8МР не должно превышать 0.025%.


(225)
где:

(226)
MFP - определяется по ф-ле (224);
8/и - определяется по ф-ле (219) или (220).
Значение 8МР не должно превышать 0.025%.
К.2.1.3 Схема поверки 3.

(227)
где:
= + (2
8' MF определяется по ф-ле (226);
8 р - определяется по ф-ле (5) для ПП ПУ, если он есть; если ПП ПУ нет - для ПП
(228)
ПР.
8М - определяется по ф-ле (219) или (220).
Значение 8МР не должно превышать 0.025%.
L. Конфигурация OMNI: алгоритм вычисления - Mass Calculation, тип ПУ -ТПУ (компакт-прувер) одно- и двунаправленная, тип ПР - массовый.
L.l MF не используется.
ЬЛ.Ютносительную погрешность преобразования входных сигналов ИВК в значение коэффициента преобразования 8К определяют в зависимости от выбранной схемы поверки.
L. 1.1.1 Схема поверки 1.
= *100о/о
кР
(229)
где:
^0 * CjSP * С PSP * РпП(ПУ)
(230)
CTSP, Cpsp - определяются по ф-лам (193 или 194), (195);
Рпп(пу) ~ плотность, рассчитанная по периоду частотного сигнала при температуре и давлении в плотномере ПУ.
Если нет плотномера ПУ, то:
РнП(ПУ) ~ РпЩПР)
Значение 8К не должно превышать 0.025%.
L. 1.1.2 Схема поверки 2.

(231)
где:
<У/к=А’ ^-*100%
Кр
Кр - определяется по ф-ле (230);
(232)
иКА \п-/х У~“ПП(ГТУУ ^арР
Если нет плотномера ПУ:
= W *(^ш(ЛР))2 + V *(6Pnn(npJ (234)
Значение 8K не должно превышать 0.025%.
L. 1.1.3 Схема поверки 3.
-
(235)
где:
-
(236)
8 к определяется по ф-ле (232);
8!р - определяется по ф-ле (5) для ПП ПУ, если он есть; если ПП ПУ нет - для ПП ПР.
8^ - определяется по ф-ле (233) или (234).
Значение 8К не должно превышать 0.025%.
Ь.2.1Относительную погрешность преобразования входных сигналов ИВК в значение метер-фактора 8МР определяют в зависимости от выбранной схемы поверки.
-
где:
MF - MF р
MFP
*100%
(237)
MFP =
^0 * ^TSP * PSP * Рип (ПУ)
N
(238)
CTSP, Cpsp - определяются по ф-лам (193 или 194), (195);
Рпп(пу) ' плотность, рассчитанная по периоду частотного сигнала при температуре и давлении в плотномере ПУ.
Если нет плотномера ТПУ, рПП{ПУ} = рПП(ПР) ■
Значение 8МР не должно превышать 0.025%.
где:
MF - MF р
MFp
*100%
-
(239)
-
(240)
MFp - определяется по ф-ле (238);
8М - определяется по ф-ле (233) или (234).
Значение 8МР не должно превышать 0.025%.
L.2.1.3 Схема поверки 3.
-
где:
(242)
+ (24
S' MF определяется по ф-ле (240);
8 р - определяется по ф-ле (5) для ПП ПУ, если он есть; если ПП ПУ нет - для ПП
ПР.
8М - определяется по ф-ле (233) или (234).
Значение 8MF не должно превышать 0.025%.
-
6.3.5 Определение погрешности преобразования входных сигналов ИВК в значения метер-фактора 8МР при поверке (сличении) рабочего ПР при помощи образцового (контрольного) ПР.
Определение проводят при значениях нижнего и верхнего пределов диапазонов измерений параметров продукта.
Вводят с клавиатуры ИВК значения коэффициентов преобразования и метер-факторов рабочего ПР и образцового (контрольного) ПР, значения коэффициента преобразования и метер-фактора образцового (контрольного) ПР должны быть фиксированными. Вводят с клавиатуры ИВК минимальные (максимальные) значения температуры и давления в рабочем ПР и образцовом (контрольном) ПР. При помощи клавиатуры УПВА устанавливают частоту сигнала рабочего ПР/пр < 15000Гц и образцового (контрольного) /0 < 15000Гц.
Для объемных ПР частоту /№(0) вычисляют по формуле: где Qp - значение объемного расхода из рабочего диапазона расхода ПР, м3/ч;

КП1>{0) - значение коэффициента преобразования рабочего (образцового) ПР, имп/м3, установленное в ИВК.
Для массовых ПР частоту fnPW вычисляют по формуле:
бл/Х^/7Р(О)Х1000
где QM - значение массового расхода из рабочего диапазона расхода ПР, т/ч;
К - значение коэффициента преобразования ПР, имп/кг, установленное в ИВК.
Если рабочий ПР и образцовый (контрольный) ПР - разного типа, должно соблюдаться равенство:
0 zQy*P
м 1000 где p - плотность продукта, кг/м3.
Допускается подавать частотный сигнал на входы частотных каналов рабочего ПР и образцового ПР с одного частотного выхода УПВА. В этом случае fnp = f0.
Для каждой серии входных параметров проводят не менее трех измерений. Результаты измерений заносят в протокол по форме приложения Д.
6.3.5. Юбработку результатов измерений проводят в зависимости от конфигурации ИВК и выбранной схемы поверки, (пункты М - О).
М. Конфигурация OMNI: тип рабочего ПР - объемный, тип образцового ПР -объемный.
М.1 Алгоритм вычисления - API 11.1 (2004)
Относительную погрешность преобразования входных сигналов ИВК в значение ме-тер-фактора Зм/. определяют в зависимости от выбранной схемы поверки.
MF - MF р
3MF = Р*100% (243)
MFP
где:
MF - значение метер-фактора по показаниям ИВК.
Расчетное значение метер-фактора MF:
MFP = Кп’' (244)
/Ср
Кпр - установленное значение коэффициента преобразования поверяемого ПР,имп/м3;
Кр - расчетное значение коэффициента преобразования поверяемого ПР, имп/м3;
к _/пр* Ctlm * Cplm_ * ко /245)
/о * Ctlp * Cplp MF0
/пр ■> /о ~ установленные частоты от УПВА, Гц;
Ко - установленное значение коэффициента преобразования образцового ПР, имп/м3;
MF0 - установленное значение метер-фактора образцового ПР;
MR = /0*Ctlp*cPLp (246)
/ *с *с /С
J ПР ''■'TLM ^PLM ■''■0
При расчете CTLM, CPLM, CTLP ,CPLP используется значение плотности по ПП рабочего ПР.
Значение 3Mh не должно превышать 0.025%.
М.1.2 Схема поверки 2 и схема поверки 3.
-
(247)
-
(248)
SMF =1-1* + 8КА
где:

MF — MFP MFP
*100%
MFP - определяется по ф-ле (246);
8М *[(Д/И,)2 +(Д/0)2]+V *[(Д^)2 +(ДР0)2]
(249)
Значение 8MF не должно превышать 0.025%.
М.2 Алгоритм вычисления - API 11.1 (1980)
Относительную погрешность преобразования входных сигналов ИВК в значение метер-фактора 3MF определяют в зависимости от выбранной схемы поверки.
М.2.1 Схема поверки 1.
8^ " определяется по ф-ле (243).
При расчете CTLM, CPLM, CTLP ,CPLP используется значение плотности продукта при н.у., указанное в свойствах продукта.
Значение 3MF не должно превышать 0.025%.
М.2.2 Схема поверки 2 и схема поверки 3.
8МР - определяется по ф-ле (247).
При расчете CTLM, CPLM, CTLP ,CPLP используется значение плотности продукта при н.у., указанное в свойствах продукта.
Значение 8MF не должно превышать 0.025%.
М.З Алгоритм вычисления - Mass Calculation
Относительную погрешность преобразования входных сигналов ИВК в значение метер-фактора 8МР определяют в зависимости от выбранной схемы поверки.
М.3.1 Схема поверки 1.

(250)
где:

(251)
Если нет плотномера ПУ, то рПГЦПУ} = рПП(ПР} Значение не должно превышать 0.025%.
М.З.2 Схема поверки 2.

(252)
где:

(253)
MFP - определяется по ф-ле (251);


Значение 3MF не должно превышать 0.025%.
М.3.3 Схема поверки 3. W/--2 +^я2 где: |
(255) |
е// __ е/ . е/ . с/ ° MF ~ ° MF ° р(ПР) “Г ° р(ПУ) 3 MF определяется по ф-ле (253); 8 р(пр) - определяется по ф-ле (5) для ПП ПР; 8' р{ПУ} - определяется по ф-ле (5) для ПП ПУ; 8М - определяется по ф-ле (254). Значение 3MF не должно превышать 0.025%. |
(256) |
N. Конфигурация OMNI: тип рабочего ПР - массовый, тип образцового ПР -объемный.
N.1 Алгоритм вычисления - API 11.1 (2004)
Относительную погрешность преобразования входных сигналов ИВК в значение ме-тер-фактора 8^ определяют в зависимости от выбранной схемы поверки.
N.1.1 Схема поверки 1.
MF - MF р 3MF= Р*100% MFP |
(257) |
MFP = К"р КР |
(258) |
Кпр - установленное значение коэффициента преобразования поверяемого ПР,имп/кг.
Кг - расчетное значение коэффициента преобразования поверяемого ПР,имп/кг:
у _ fnp + /о*Рпро ^0 MF Л*Рпро ^КНР ^.MF F г К ” J ПР 0 Ко [имп/м3], MF0 [-]- установленные значения для образцового ПР; |
|
рпр0 - плотность жидкости по ПП ПУ, приведенная к условиям образцового ПР,кг/м3
А’ _ '■'ТЬПРО PL ПРО РпРО “ РпП(ПУ) * р р ^TL ПП(ПУ) * ^PL ПП(ПУ) Значение 3МЕ не должно превышать 0.025%. |
(261) |
8MF -1-1* 8' MF2 +8ka2
где:

MFP
MFP - определяется по ф-ле (260);
(263)
8ka = А» +k>)2 *(^Ш(/7У))2 +V 48tm)2+(kpp+kp)2 *(A/’OT(roo)2+V *{8Pm)2
(264)
Значение 3MF не должно превышать 0.025%.
N.1.3 Схема поверки 3.


-
(265)
-
(266)
3' MF определяется по ф-ле (263);
8'Р(пу) ■ определяется по ф-ле (5) для ГТП ПУ;
8КА - определяется по ф-ле (264).
Значение 8MF не должно превышать 0.025%.
N.2 Алгоритм вычисления - API 11.1 (1980)
Относительную погрешность преобразования входных сигналов ИВК в значение ме-тер-фактора 8MF определяют в зависимости от выбранной схемы поверки.
N.2.1 Схема поверки 1.

-
(267)
где:


(268)
Ко [имп/м3], MF0 [-]- установленные значения для образцового ПР;
рПР0 - плотность жидкости, приведенная к условиям образцового ПР от плотности при нормальных условиях, указанной в свойствах продукта [кг/м3]:
Рпр 0 Рн.у. * ^TL ПРО * <~ PL ПРО
Значение 3MF не должно превышать 0.025%.
(269)
где:
8 MF =
MF - MF p
MFP
*100%
MFP - определяется по ф-ле (268);
SKA = A2 *(^)2 +kF *(^)2
Значение 8MF не должно превышать 0.025%.
-
(270)
-
(271)
-
(272)
N.3 Алгоритм вычисления - Mass Calculation
Относительную погрешность преобразования входных сигналов ИВК в значение метер-фактора 8^ определяют в зависимости от выбранной схемы поверки.

где:
MF -MF р
MFp
*100%
(273)
/ПР Ко °
Ко [имп/м3], MF0 [-]- установленные значения для образцового ПР; Рпп(пу)~ плотность жидкости по ПП ПУ [кг/м3].
Значение <5^ не должно превышать 0.025%.
где:
8' MF =
MF-MF р
MFP
*100%
MFp - определяется по ф-ле (274);
5КЛ *(^Ш(ЛУ))2 +(^р)2 *(^Ш(/7У))2
Значение 3MF не должно превышать 0.025%.
-
(275)
-
(276)
-
(277)
(278) где:
^=^-+^(пу) (279)
8 MF определяется по ф-ле (276);
8p^y) - определяется по ф-ле (5) для ПП ПУ; 8Ы - определяется по ф-ле (277).
Значение 8МР не должно превышать 0.025%.
О. Конфигурация OMNI: тип рабочего ПР - объемный, тип образцового ПР -массовый.
Относительную погрешность преобразования входных сигналов ИВК в значение ме-тер-фактора 8Ме определяют в зависимости от выбранной схемы поверки.
-
MF - MF р
MF р
*100%
(280)
где:
MFP = (281)
Ар
К.т> - установленное значение коэффициента преобразования поверяемого ПР,имп/м3;
КР - расчетное значение коэффициента преобразования поверяемого ПР,имп/м3;
(282)
(283)
Ко [имп/кг], Л£Р0[-]- установленные значения для образцового ПР;
рПР- плотность жидкости, приведенная к условиям рабочего ПР от плотности по ПП ПУ [кг/м3]:
С * Л*
_ , ^ТЬПР ''PL ПР
Рпр "" РпП(ПУ) г г
'■'TL ПП(ПУ) '-'PL ПП(ПУ)
MFp = ___________* СГЛ/7/7(/7У) * мр^
fПР * РпП(ПУ) ^TL пр * С pl ПР ^0
/о
-
(284)
-
(285)
Значение 8МР не должно превышать 0.025%.
^МЕ =11* 8' МЕ~ +8ка2
где:
8' ME
MF - MFp
MFp
*100%
MFp - определяется по ф-ле (285);
Ska +к,У~ *(Дгда(/7У))2 +к,2 *(ZVWJ)2 +(крр+кр? *(Д^(ГО->)2 + V *«/
(286)
-
(287)
-
(288)
-
Значение 8Ш- не должно превышать 0.025%.
<^=1.1*^V+<V (289)
где:
MF ~ MF + р(ПУ) (290)
8' МР определяется по ф-ле (287);
^ р(/7У) ' определяется по ф-ле (5) для ПП ПУ;
8К1 - определяется по ф-ле (288).
Значение 8М[. не должно превышать 0.025%.
0.2 Алгоритм вычисления - API 11.1 (1980)
Относительную погрешность преобразования входных сигналов ИВК в значение ме-тер-фактора 8МР определяют в зависимости от выбранной схемы поверки.
где:
MF - MF р
MFP
*100%
(291)
MFP =
f0
ПР * РпП(ПУ)
(292)
При расчете CTLnpo, CPLI7P0, CTLnp, CPLnp используется значение плотности продукта при н. у., указанное в свойствах продукта.
Значение 8МР не должно превышать 0.025%.
где:

MF - MF р
MFP
*100%
-
(293)
-
(294)
A7F/3 - определяется по ф-ле (292);
=Л2 *(^Ш(ПУ))2 *[(Arra>)2 +(Д/лге)2]+*(ДРЖ(/7У))2 +к; *[(Д^)2 Wj] (295)
Значение 8МР не должно превышать 0.025%.
(296)

(297)
8' MF определяется по ф-ле (294);
8 Р(ПУ} - определяется по ф-ле (5) для ПП ПУ;
8^ - определяется по ф-ле (295).
Значение 3MF не должно превышать 0.025%.
0.3 Алгоритм вычисления - Mass Calculation
Относительную погрешность преобразования входных сигналов ИВК в значение метер-фактора 3MF определяют в зависимости от выбранной схемы поверки.

MF р
(298)
где:

J ПР * РпП(ПР)
Кпр [имп/м3] - установленное значение для рабочего ПР;
Ко [имп/кг], MF0 [-]- установленные значения для образцового ПР; Рпп(пр)~ плотность жидкости по ПП ПР [кг/м3].
Значение 8MF не должно превышать 0.025%.
(299)


(300)
где:

(301)
MFP - определяется по ф-ле (299);

(302)

0.3.3 Схема поверки 3.

(303)
где:
с// _ с/ . с/
(304)
° MF ~ ° MF ° р(ПР)
8'MF определяется по ф-ле (301);
8'р(пр) ~ определяется по ф-ле (5) для ПП ПР;
8^ - определяется по ф-ле (302).
Значение 8MF не должно превышать 0.025%.
P. Конфигурация OMNI: тип рабочего ПР - массовый, тип образцового ПР - массовый.
Р.1. API 11.1 (2004), API 11.1 (1980), Mass Calculation
Относительную погрешность преобразования входных сигналов ИВК в значение ме-тер-фактора 8MF определяют:
Р.1.1 Схемы поверки 1, 2, 3.
MF - MF р
MFP
*100%
(305)
где:
АГ,,
КПр - установленное значение коэффициента преобразования поверяемого ПР
[имп/кг];
/о
fnp ^0
Ко [имп/кг], MF0 [-]- установленные значения для образцового ПР;
7 Оформление результатов поверки.
-
7.1 Результаты поверки оформляют протоколами по формам, приведенным в приложениях В, Г, Д.
-
7.2 При положительных результатах поверки оформляют свидетельство о поверке ИВК в соответствии с ПР 50.2.006 и ставят клеймо на мастику одного из его крепежных винтов в соответствии с ПР 50.2.007.
-
7.3 При отрицательных результатах поверки ИВК к эксплуатации не допускают, оттиск поверительного клейма гасят и выдают извещение о непригодности с указанием причин в соответствии с ПР 50.2.006.
-
7.4 Алгоритм и схема поверки ИВК выбирается в зависимости от состава системы измерений количества и качества нефти и нефтепродуктов.
-
7.5 Протокол поверки ИВК, приведенный в приложении Г , заполняется в соответствии с функциями, реализуемыми системой измерений количества и показателей качества нефти и нефтепродуктов.
Приложение A (обязательное)
Вычисление поправочных коэффициентов на объем продукта.
А.1 Поправочный коэффициент, учитывающий влияние температуры на объем продукта, определенный при температуре продукта в ПР, вычисляют по формуле
KCF = ехр|-а,х[/№-/r]x[l+0.8хог,х(/,, (A.I )
где tllp - температура нефти в ПР, °C;

(А.2)
рт - плотность нефти при стандартной температуре и избыточном давлении, равном нулю, кг/м3;
Коэффициенты Ka,Kt,K, определяются по таблице АР I (АЕ1).
Таблица API

Таблица AEI
Product |
Density Ranqe (60 F) |
KO |
K1 |
K2 | ||||
kg/m3 |
API |
c |
F |
c |
F |
c |
F | |
Crude Oil |
610.6-1163.5 |
100 —10 |
613.9723 |
341.0957 |
0 |
0 |
0 |
0 |
Refined Products |

Приложение Б
Таблица Б1

Crude Oil (Нефть)

Таблица Б2
Коэффициент влияния давления на CPL, % / бар | ||||||||||||||||
Плотность при |
15'С, кг/мЗ / Плотность по API при 60'F | |||||||||||||||
610.6^ |
700.00 |
750.00 |
770.35 |
787.52 |
800.00 |
800.90 |
838.31 |
850.00 |
900.00 |
950.00 |
1000.00 |
1050.00 |
поо.оо |
1163.50 | ||
100.0 |
52.0 |
48.0 |
45.0 |
37.0 |
-10.0 | |||||||||||
-10 |
0.018 |
0.011 |
0.009 |
0.009 |
0.008 |
0.007 |
0.007 |
0.006 |
0.006 |
0.006 |
0.005 |
0.005 |
0.004 |
0.004 |
0.004 | |
0 |
0.020 |
0.012 |
0.009 |
0.009 |
0.008 |
0.008 |
0.008 |
0.007 |
0.007 |
0.006 |
0.005 |
0.005 |
0.004 |
0.004 |
0.004 | |
10 |
0.023 |
0.013 |
0.010 |
0.009 |
0.009 |
0.008 |
0.008 |
0.007 |
0.007 |
0.006 |
0.006 |
0.005 |
0.005 |
0.004 |
0.004 | |
15 |
0.026 |
0.014 |
0.011 |
0.010 |
0.009 |
0.009 |
0.009 |
0.008 |
0.008 |
0.007 |
0.006 |
0.005 |
0.005 |
0.004 |
0.004 | |
ч го |
20] |
0.029 |
0.015 |
0.012 |
0.011 |
0.010 |
0.010 |
0.009 |
0.008 |
0.008 |
0.007 |
0.006 |
0.005 |
0.005 |
0.005 |
0.004 |
3 го |
зо |
0.033 |
0.017 |
0.013 |
0.012 |
0.011 |
0.010 |
0.010 |
0.009 |
0.008 |
0.007 |
0.006 |
0.006 |
0.005 |
0.005 |
0.004 |
I |
40 |
0.037 |
0.018 |
0.014 |
0.012 |
0.012 |
0.011 |
0.011 |
0.009 |
0.009 |
0.008 |
0.007 |
0.006 |
0.005 |
0.005 |
0.004 |
■О ш |
50 |
0.041 |
0.020 |
0.015 |
0.013 |
0.012 |
0.012 |
0.012 |
0.010 |
0.010 |
0.008 |
0.007 |
0.006 |
0.006 |
0.005 |
0.005 |
60 |
0.047 |
0.022 |
0.016 |
0.014 |
0.013 |
0.013 |
0.012 |
0.011 |
0.010 |
0.009 |
0.007 |
0.007 |
0.006 |
0.005 |
0.005 | |
70 |
0.053 |
0.024 |
0.017 |
0.016 |
0.014 |
0.013 |
0.013 |
0.011 |
0.011 |
0.009 |
0.008 |
0.007 |
0.006 |
0.006 |
0.005 | |
80 |
0.060 |
0.026 |
0.019 |
0.017 |
0.015 |
0.014 |
0.014 |
0.012 |
0.011 |
0.010 |
0.008 |
0.007 |
0.006 |
0.006 |
0.005 | |
100 |
0.068 |
0.029 |
0.020 |
0.018 |
0.016 |
0.015 |
0.015 |
0.013 |
0.011 |
0.010 |
0.009 |
0.007 |
0.007 |
0.006 |
0.005 |
Crude Oil (Нефть)

Приложение В
(рекомендуемое)
Протокол поверки ИВК OMNI - 6000, зав. №___________
Поверитель___________
( подпись)
( инициалы, фамилия )
20
г.
Таблица А.1 - Определение погрешности преобразования входных аналоговых сигналов ИВК в значение величины
Ток, мА(напряжение, В; сопротивление, Ом) |
Значение величины |
Абсолютная погрешность | |
измеренное |
расчетное | ||
Приложение Г
Протокол поверки ИВК OMNI 6000 (3000) в режиме поверки ПР при помощи ТПУ (компакт-прувера)
Алгоритм вычисления:_________________
Продукт: нефть
ПР: объемный
Данные ТПУ (компакт-прувера) v п Л.
VTm1 |
D, см |
S, см |
К.гту |
Кинв |
Е, бар |
Таблица 3
№ п/п |
Установленные значения | ||||||||||||
ПР |
ПУ |
Плотномер | |||||||||||
f.ru |
Q, м’/ч |
trip,С |
Рпр.ба Р |
N, имп |
tex,С |
tBblX (инв),С |
Рвх.бар |
Рвых.бар |
Т,мкс |
Рпп,бар |
inn,С |
р,кг/ м3 | |
1 | |||||||||||||
2 |
№ п/п |
Расчетные значения |
Фактические значения | |||||||||
р15,кг/мЗ |
CTS |
CPS |
CTLny |
CPLny |
CTLnp |
CPLnp |
V, 3 м |
К,нмп/м' |
К,имп/м' |
8к.% | |
1 | |||||||||||
2 |
Приложение Д
(рекомендуемое)
Протокол
поверки ИВК OMNI - 6000, зав. №___________
Поверитель___________
( подпись )
( инициалы, фамилия )
Таблица Б.1 - Определение погрешности преобразования входных сигналов ИВК в значение коэффициента преобразования ПР
ПР |
Компакт - прувер |
Значение коэффициента преобразования ПР, имп/м3 |
Относит, погр., % | ||||||
f, Гц |
Tv, °C |
Pv, бар |
N |
Ткп. °C |
Ркп, бар |
Р’з кг/м |
измеренное |
расчетное | |
« » ___________20___г.
Приложение E
(обязательное)
Вычисление поправочных коэффициентов на объем нефти
А. I Поправочный коэффициент, учитывающий влияние температуры на объем нефти, определенный для температуры нефти в ПР (CTLv), ПП (CTLp) или КП (CTLxn), вычисляют по формуле
CTL = ехр{-сх [Т- 15] [1+0,8 сх (Т- 15)]}, (E.I ) где Т - температура нефти в ПР (Ту), ПП (Тр) или КП (Ткп), °C;
613,9723
(Е.2)
а =---------:
pls - плотность нефти при температуре 15 °C и избыточном давлении, равном нулю, кг/м3, вычисляемое с использованием метода итераций по формуле (Д. 1)
А.2 Поправочный коэффициент, учитывающий влияние давления на объем нефти, определенный для давления нефти в ПР (CPLy), ПП (CPLp) или КП (СРЬкп) вычисляют по формуле
1
1-(Р-Рнп)Р
CPL =
(Е.З)
где Р - давление нефти в ПР (Pv), ПП (Рр) или КП (РкП) МПа;
Рнп - давление насыщенных паров нефти, МПа;
F - коэффициент сжимаемости нефти при температуре нефти в ПР, ПП или КП, 1/МПа, вычисляемый по формуле

0,87096 106 4,2092 Т -10’

-------2------+--------2-------
Pis Pis
А.З Поправочный коэффициент, учитывающий влияние температуры стенок КП и переключающего стержня на вместимость калиброванного участка КП, вычисляют по формуле
CTS = [1 + (Ткп -15) • Ккп ] ■ [| + (Ти11в -15). Кинв],
(Е.5)
где Ккп - квадратичный коэффициент объемного расширения материала стенок КП, 1/°С; Тинв - температура инварового стержня, °C;
КИнв - линейный коэффициент объемного расширения инвара, 1/°С.
А.4 Поправочный коэффициент, учитывающий влияние давления на вместимость калиброванного участка КП, вычисляют по формуле
CPS = l + P|tn'P , (Е.6)
ES
где D - внутренний диаметр калиброванного участка КП, мм;
Е - модуль упругости материала стенок КП, МПа;
S - толщина стенок калиброванного участка КП, мм.
65