Методика поверки «Государственная система обеспечения единства измерений Контроллеры измерительные FLOBOSS S600+» (НА.ГНМЦ.0520-20 МП)
УТВЕРЖДАЮ
Дире1$тор ОП ГНМЦ
ИНСТРУКЦИЯ
Государственная система обеспечения единства измерений
Контроллеры измерительные FLOBOSS S600+
Методика поверки
НА.ГНМЦ.0520-20 МП
Казань
2020
|
РАЗРАБОТАНА |
Обособленным подразделением Головной научный метрологический центр АО «Нефтеавтоматика» в г. Казань (ОП ГНМЦ АО «Нефтеавтоматика») Аттестат аккредитации RA.RU.311366 |
|
ИСПОЛНИТЕЛИ: |
Житейцев Е.Р. Саматов А.А. |
Настоящий документ не может быть полностью или частично воспроизведен, тиражирован и (или) распространен без разрешения АО «Нефтеавтоматика»
Настоящая инструкция распространяется на контроллеры измерительные FloBoss модели S600+ (далее - контроллеры) фирмы «Emerson Process Management Ltd», Великобритания и устанавливает методику их первичной и периодической поверок.
Интервал между поверками -1 год.
-
1 ОПЕРАЦИИ ПОВЕРКИ
-
1.1 При проведении поверки выполняют следующие операции, указанные в таблице 1. При выполнении операций поверки, ведут протокол поверки произвольной формы.
-
Таблица!
|
Наименование операции |
Номер пункта методики поверки |
|
Внешний осмотр |
6.1 |
|
Опробование |
6.2 |
|
Определение метрологических характеристик контроллеров: |
6.3 |
|
- приведенной к диапазону измерений погрешности при |
6.3.1 |
|
измерении силы постоянного тока; | |
|
- абсолютной погрешности по каналу ввода частотных сигналов; |
6.3.2 |
|
- абсолютной погрешности по каналу ввода и вывода | |
|
импульсных сигналов; |
6.3.3 |
|
- относительной погрешности, при вычислении расхода, | |
|
объема, массы; |
6.3.4 |
|
- относительной погрешности при вычислении коэффициентов |
6.3.8 |
|
преобразования и поправочных коэффициентов | |
|
преобразователей расхода | |
|
Оформление результатов поверки |
7 |
-
1.2 В соответствии с заявлением владельца СИ допускается проведение поверки отдельных измерительных каналов из состава СИ, с обязательным указанием в свидетельстве о поверке информации об объеме проведенной поверки.
Если в процессе эксплуатации конфигурация контроллера подвергается изменению, то необходимо выполнить внеочередную поверку контроллера. При этом допускается определять метрологические характеристики только тех измерительных каналов, которые были заменены либо добавлены в ранее существующую конфигурацию. Результаты поверки оформляются в соответствии с действующими нормативными документами.
-
2 СРЕДСТВА ПОВЕРКИ
-
2.1 При проведении поверки применяют следующие средства поверки:
-
Эталон единицы силы постоянного тока 1 разряда в диапазоне значений 0,5...20 мА, соответствует уровню 1 разряда по ГОСТ 8.022-91 «ГСИ. Государственный первичный эталон и государственная поверочная схема для средств измерений силы постоянного электрического тока в диапазоне от 1*10-16 до 30 А»;
Рабочий эталон частоты в диапазоне значений 1...4х1О10 Гц, соответствует уровню по ГОСТ 8.129-2013 «ГСИ. Государственная поверочная схема для средств измерений времени и частоты». Относительная погрешность по частоте ±5,0*10'10;
термометр ртутный, диапазон измерений от 0 °C до 50 °C, цена деления 0,1 °C по ГОСТ 28498;
барометр-анероид БАММ-1, диапазон измерений от 80 до 106,7 кПа, цена деления шкалы 100 Па по ТУ25-11.15135;
психрометр ВИТ-1, диапазон измерений относительной влажности от 30 до 80 %, цена деления термометров 0,5 °C по ТУ25-11.1645.
-
2.1.1 При проведении поверки по 7.3.1.4 применяют внешние токосъемные резисторы со следующими характеристиками:
номинальное сопротивление: 250 Ом;
отклонение от номинального сопротивления, не более 0,03%; номинальная мощность, не менее 0,125 Вт
Примечание - в качестве внешних токосъемных резисторов, допускается применение измерительных преобразователей постоянного тока ПТН-Е2Н.
-
2.2 Применяемые при поверке средства измерений должны быть поверены и иметь действующие свидетельства о поверке или поверительные клейма.
-
2.3 Допускается применение аналогичных средства поверки, обеспечивающих определение метрологических характеристик СИ с требуемой точностью.
-
2.4 Для конфигурирования контроллера применяется персональный компьютер с программным обеспечением (далее - ПО) Config 600.
Для удобства проведения поверки контроллера может применяться персональный компьютер с WEB-браузером, обеспечивающим работу со встроенным в контроллер WEB-интерфейсом.
-
3 ТРЕБОВАНИЯ ТЕХНИКИ БЕЗОПАСНОСТИ И ТРЕБОВАНИЯ К КВАЛИФИКАЦИИ ПОВЕРИТЕЛЕЙ
3.1. При проведении поверки должны соблюдаться следующие требования: корпус контроллера, персонального компьютера и применяемых средств измерений должны быть заземлены в соответствии с их руководствами по эксплуатации;
ко всем используемым средствам должен быть обеспечен свободный доступ для заземления, настройки и измерений;
работы по соединению устройств должны выполняться до подключения к сети питания;
к работе должны допускаться липа, имеющие необходимую квалификацию и обученные работе с контроллерами и правилам техники безопасности;
указания, предусмотренные "Правилами технической эксплуатации электроустановок” и "Правилами техники безопасности при эксплуатации электроустановок", а также инструкциями по эксплуатации оборудования, его компонентов и применяемых средств поверки.
-
4 УСЛОВИЯ ПОВЕРКИ
4.1. При проведении поверки должны соблюдаться следующие условия:
|
от 18 до 28 от 30 до 80 от 84 до 106 |
|
- напряжение питания постоянного тока, В |
от 20 до 32 |
|
- изменение температуры окружающей среды за время поверки, °C, не более |
2 |
Вибрация и внешнее магнитное поле (кроме земного) отсутствуют.
5 ПОДГОТОВКА К ПОВЕРКЕ
|
Перед проведением поверки контроллера выполняют |
следующие |
подготовительные работы:
-
5.1 Проверяют комплектность эксплуатационной документации на контроллер.
-
5.2 Проверяют наличие действующих свидетельств о поверке или поверительные клейма на используемые средства поверки.
-
5.3 Проверяют работоспособность контроллера и средств поверки в соответствии с руководством по эксплуатации.
-
5.4 Проводят монтаж средств поверки согласно структурным схемам.
-
5.5 Включают и прогревают контроллер и средства поверки не менее 30 минут.
-
5.6 Остальную подготовку проводят согласно требованиям документации изготовителя контроллера и руководствам по эксплуатации средств поверки.
6. ПРОВЕДЕНИЕ ПОВЕРКИ
-
6.1 Внешний осмотр.
При внешнем осмотре должны быть установлены:
комплектность контроллера;
соответствие маркировки требованиям, предусмотренным эксплуатационной документацией;
отсутствие механических повреждений, коррозии, нарушения покрытий, надписей и отсутствие других дефектов.
-
6.2 Опробование.
При опробовании проверяют работоспособность контроллера в соответствии с руководством по эксплуатации без определения метрологических характеристик при задании входных сигналов. Изменяя сигналы имитаторов, убеждаются во вводе и обработке их контроллером, контролируя значения параметров на дисплее контроллера.
-
6.3 Определение метрологических характеристик (далее - MX) контроллера.
-
6.3.1 Определение MX измерительного канала (далее - ИК) силы тока
-
Чтобы определить MX, необходимо выполнить нижеперечисленные процедуры для контроллеров FloBoss S600+, переходят на страницу данных индикации измеренного значения на дисплее в следующей последовательности:
Из основного меню выбирают пункт:
4* PLANT I/OВ открывшемся меню выбирают пункт:
Г ANALOG INPUTSДалее выбирают пункт с требуемым номером измерительного канала, например:
1. ADC 05-ADC05
Нажимают стрелку «►» на навигационной клавише до появления страницы данных индикации измеренного значения.
На входе измерительного канала силы постоянного тока при помощи эталона задают значение входного сигнала силы постоянного тока 1зад, соответствующего проверяемой точке диапазона измерений, и считывают значение входного сигнала с дисплея контроллера 1ИЗМ. Задается не менее пяти значений измеряемого параметра, равномерно распределенных в пределах диапазона измерений, включая крайние точки диапазона.
Операции повторяют для остальных измерительных каналов (для возврата в предыдущий пункт меню нажимают клавишу «Мели», для уменьшения или увеличения номера измерительного канала нажимают соответственно стрелки «А» и «▼» на навигационной клавише).
Погрешность, приведенную к диапазону измерений L, у, %, вычисляют по формуле
у=1задЛ»,1001 (1)
Определение основной, приведенной к верхней границе диапазона измерений, погрешности по каналу ввода аналоговых сигналов (тока) допускается проводить при помощи измерительного преобразователя постоянного тока ПТН-Е2Н. Погрешность, приведенную к диапазону измерений тока, определяют согласно п.6.3.1 по формуле (1).
Результаты определения MX считаются положительными, если погрешность при измерении силы постоянного тока не превышает ±0,04 %.
-
6.3.2 Определение абсолютной погрешности по каналу ввода частотных сигналов.
Переходят на страницу данных индикации измеренного значения на дисплее контроллера в следующей последовательности:
Из основного меню выбирают пункт:
4* PLANT I/OВ открывшемся меню выбирают пункт:
4* FREQUENCY INPUTSДалее выбирают пункт с требуемым номером измерительного канала, например:
1. FREQ 01 -FRQ01
Нажимают стрелку «►» на навигационной клавише до появления страницы данных индикации измеренного значения.
На вход измерительного канала частоты при помощи эталона задают значения выходного сигнала частоты f3afl, соответствующего проверяемой точке диапазона измерений, и считывают значение выходного сигнала с дисплея контроллера fM3M. Задается не менее пяти значений измеряемого параметра, равномерно распределенных в пределах диапазона измерений 0-10000 Гц, включая крайние точки диапазона.
Операции повторяют для остальных измерительных каналов (для возврата в предыдущий пункт меню нажимают клавишу «Menu», для уменьшения или увеличения номера измерительного канала нажимают соответственно стрелки «А» и «▼» на навигационной клавише).
Абсолютную погрешность измерения частоты Af, Гц, вычисляют по формуле:
Af—^изм"^зад< (2)
Результаты определения MX считаются положительными, если рассчитанная погрешность при измерении не превышает ±0,1 Гц.
-
6.3.3 Определение погрешности по каналу ввода и вывода импульсных сигналов.
Переходят на страницу данных индикации измеренного значения на дисплее ИВК в следующей последовательности:
Из основного меню выбирают пункт:
4* PLANT I/OВ открывшемся меню выбирают пункт:
4* PULSE INPUTSДалее выбирают пункт с требуемым номером измерительного канала, например:
1. PIP 01 - PIP01
Нажимают стрелку «►» на навигационной клавише до появления страницы данных индикации измеренного значения.
Операции повторяют для остальных измерительных каналов (для возврата в предыдущий пункт меню нажимают клавишу «Menu», для уменьшения или увеличения номера измерительного канала нажимают соответственно стрелки «А» и «▼» на навигационной клавише).
На вход измерительного канала счета импульсов при помощи эталона задают пачку импульсов N3afl не менее 10000 импульсов при частоте соответствующей рабочей частоте контроллера. Проверку проводят для трех частот от 100 до 10000 Гц. Считывают значение измеренного количества импульсов с дисплея контроллера NM3M.
Рассчитывают абсолютную погрешность измерения количества импульсов по формуле:
^м_^изм “ Мзад, (3)
Результаты определения MX считаются положительными, если рассчитанная погрешность при измерении количества импульсов не превышает ±1 на 10000 импульсов.
-
6.3.4 Определение погрешности при вычислении расхода, объема, массы.
-
6.3.4.1 Определение погрешности вычисления массы нефти, нефтепродуктов, жидких углеводородных сред массовыми и объемными расходомерами.
-
6.3.4.2 Определение погрешности вычисления массы нефти, нефтепродуктов, жидких углеводородных сред массовыми и объемными расходомерами.
-
6.3.4.2.1 При подготовке к поверке контроллера для определения массы и объема нефти, нефтепродуктов, жидких углеводородных сред (далее - жидкость) в память контроллера вводят следующие параметры:
-
-
-
- значения коэффициентов преобразования преобразователей расхода (ПР);
-
- значения коэффициентов преобразователя плотности, взятые из сертификатов на преобразователи плотности;
-
- диапазоны измерений преобразователей температуры (°C), давления (МПа) и влагосодержания (% об.);
-
- плотность воды, содержащейся в нефти, нефтепродуктах, жидких углеводородных средах, (кг/м3).
-
6.3.4.2.2 Определение погрешности вычисления массы брутто и массы нетто нефти, нефтепродуктов, жидких углеводородных сред при использовании массовых расходомеров.
На генераторе устанавливают частоту следования импульсов 5000 Гц. значение частоты контролируют частотомером. На счетчике импульсов
устанавливают количество импульсов не менее 50000. Запускают режим поверки (измерений). Нажимают кнопку «Старт». Замыкают переключатель S1, после окончания счета импульсов его переводят в исходное положение. Регистрируют показания дисплея контроллера. Одновременно показания контроллера сравнивают с показанием дисплея компьютера.
Рисунок 1. Схема подключения контроллера. 1-поверяемый контроллер; 2-генератор; 3-частотомер; 4-счетчик импульсов; S1-переключатель.
6.3.4.2.2.1 Относительную погрешность контроллера 5мб при вычислении массы брутто нефти, нефтепродуктов, жидких углеводородных сред (далее -жидкость) определяют, в процентах, по формуле

(4)
где Мбв - значение массы брутто по показаниям контроллера, т;
МбР- расчетное значение массы брутто, т.
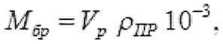
Расчетное значение массы брутто вычисляют по формуле
М =—.
(5)
К
где N - заданное количество импульсов, не менее 50000 имп.;
К - коэффициент преобразования импульсного выхода массового расходомера, имп/т.
Число измерений не менее трех.
Результаты поверки считаются положительными, если рассчитанная погрешность 5Мб не превышает ±0,01 %.
-
6.3.4.2.3 Определение погрешности вычисления объема, массы брутто и массы нетто, стандартного объема нефти, нефтепродуктов, жидких углеводородных сред объемными расходомерами. Схема подключения средств поверки представлена на рисунке 1. Для имитации сигналов преобразователя плотности вводят значение плотности с клавиатуры контроллера.
На генераторе устанавливают частоту следования импульсов 5000 Гц. значение частоты контролируют частотомером. На счетчике импульсов устанавливают количество импульсов не менее 50000. Запускают режим поверки (измерений). Нажимают кнопку «Старт». Замыкают переключатель S1, после окончания счета импульсов его переводят в исходное положение. Регистрируют показания дисплея контроллера. Одновременно показания контроллера сравнивают с показанием дисплея компьютера.
-
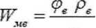
6.3.4.2.3.1 Относительная погрешность контроллера при вычислении объема 5V нефти, нефтепродуктов жидких углеводородных сред определяют, в % по формуле где Ve - значение объема по показаниям контроллера, м3; \/р - расчетное значение объема, м3.
Расчетное значение объема вычисляют по формуле

(7)
где N - количество импульсов, накопленное ТПР, имп.;
К- коэффициент преобразования ТПР, введенный в память контроллера, имп/м3.
Число измерений не менее трех.
Результаты поверки считаются положительными, если рассчитанная погрешность 5V не превышает ±0,01 %.

100.
(8)
где VHe - значение объема нетто по показаниям контроллера, м3;
VHp - расчетное значение объема нетто, м3.
-
6.3.4.2.3.2 Погрешность вычисления массы брутто определяют в процентах по формуле где Мбв - значение массы брутто по показаниям контроллера, т;



(9)
МбР - расчетное значение массы брутто, т.
Расчетное значение массы брутто вычисляют по формуле


где рПр - значение плотности, приведенное к условиям ТПР, кг/м3.
Значение плотности, приведенное к условиям ТПР, кг/м3, определяют по формуле
РпР Рс
?ПР
(11)
где рс - плотность жидкости при стандартных условиях;
СПр - коэффициент коррекции объема жидкости по температуре;
/3 - коэффициент сжимаемости жидкости;
Рпр - давление в ТПР, МПа.
Коэффициент коррекции объема жидкости по температуре рассчитывают в соответствии с А. 1.1 приложения А по формуле:
-
- в случае если за значение стандартной температуры принимают 15 °C
Сдр — expj-aj/др— ?СГд)(1+|_0.8 «(/др— ) J)) ’ (12)
где а - коэффициент объемного расширения жидкости, 1/°С;
tnp - температура в ТПР, °C;
^стд- стандартная температура, °C.
-
- в случае если за значение стандартной температуры принимают 20 °C
Сдр = ехр(-а(/др — Гсзд )-Scf (/др —— 0.8а (/др-^сзд)) (13)
Коэффициент объемного расширения жидкости определяют в соответствии с А. 1.1.1. приложения А для соответствующего типа жидкости.
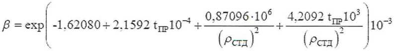
Коэффициент сжимаемости жидкости определяют по формуле
/3 = exp -1.62080 + 2.1592 trol0^ + "
10 3.
J У
(14)
Результаты поверки считаются положительными, если рассчитанная погрешность <5мбне превышает ±0,01%.
|
6.3.4.2.3.3 |
Погрешность 5МН вычисления массы нетто определяют по |
|
формуле |
= ” ч’Ю0, (15) яр |
где Мнв - значение массы нетто по показаниям контроллера, т;
Мнр- расчетное значение массы нетто, т.
Расчетное значение массы нетто вычисляют по формуле

где \Л/Мв - массовая доля воды в жидкости, %.
Массовую долю воды в жидкости рассчитывают по формуле

(17)
где срв - объемная доля воды в жидкости, %;
рв - плотность воды при температуре определения объема жидкости (нефти, нефтепродуктов, жидких углеводородных сред), кг/м3;
р - плотность жидкости при температуре определения объема жидкости, кг/м3.
Результаты поверки считаются положительными, если рассчитанная погрешность 5МН не превышает ±0,01 %.
6.3.8 Определение погрешности вычисления коэффициентов преобразования и поправочных коэффициентов преобразователей расхода.
Контроллеры, которые применяются вместе с трубопоршневой поверочной установкой выполняют операции под п. 6.3.8.1.
Контроллеры, которые применяются вместе с массовым преобразователем расхода выполняют операции под п. 6.3.8.2.
-
6.3.8.1 Определение погрешности контроллера при вычисления коэффициента преобразования (импульс-фактора) объемного преобразователя расхода (далее - ОПР) при поверке ОПР по трубопоршневой поверочной установке (далее - ТПУ).
В память контроллера с клавиатуры или при помощи ПО Config 600 вводят, как условно-постоянные величины, следующие параметры:
-диапазоны измерений преобразователей давления:
-
• на входе ТПУ;*
-
• на выходе ТПУ;*
-
• на участке поверяемого ОПР;
- диапазоны измерений преобразователей температуры:
-
• на входе ТПУ;*
-
• на выходе ТПУ;*
-
• на участке поверяемого ОПР;
объем калиброванного участка ТПУ при стандартных (нормальных) условиях;
стандартную (нормальную) температуру калибровки ТПУ;
стандартное (нормальное) давление калибровки ТПУ;
давление насыщенных паров (при отсутствии данных должно быть равным 0);
коэффициент кубического расширения материала стенок (для шарового ТПУ) или коэффициент квадратичного расширения материала стенок (для компакт-прувера);
внутренний диаметр калиброванного участка ТПУ;
модуль упругости материала стенок калиброванного участка ТПУ;
толщину стенок калиброванного участка ТПУ;
тип таблицы для жидкостей (для автоматического выбора контроллером специфических коэффициентов при расчете коэффициента объемного расширения в зависимости от типа жидкости - приведены в Таблице А.1 приложения А);
плотность среды в ОПР, приведенную к стандартным (нормальным) условиям;
коэффициент преобразования ОПР;
стандартную (нормальную) температуру;
количество измерений при поверке (не менее трех).
Примечание* - Допускается использовать один комплект измерений температуры и давления среды для ТПУ и компакт-прувера; в этом случае в память контроллера вводится один диапазон измерений температуры и один диапазон измерений давления.
Дополнительно, при использовании компакт-прувера, вводят следующие параметры:
коэффициент линейного расширения материала инварового стержня компакт-прувера;
температуру окружающего воздуха для компакт-прувера;
количество проходов поршня при измерении (не менее трех).
В память контроллера с клавиатуры или при помощи ПО Config 600 вводят следующие параметры:
температуру среды в ОПР;
температуры среды в ТПУ;
давление среды в ОПР;
давление среды в ТПУ.
При вводе значений температуры и давления среды для ОПР и ТПУ необходимо учитывать погрешность измерительных каналов контроллера задействованных в измерении этих параметров. Вводимое значение
рассчитывают по формуле
(18)
где х - вводимое в память контроллера значение температуры или давления; Хтаь - значение температуры или давления из рабочего диапазона для определения погрешности вычисления коэффициента преобразования;
- предел приведенной погрешность контроллера по каналу измерения величины х;
Dx - диапазон измерений величины х.
На вход контроллера по каналу измерения объемного расхода ОПР задают импульсный сигнал частотой соответствующей рабочему диапазону частот ОПР. Детекторные входы контроллера подключают к дискретным выходам эталонного прибора, который будет осуществлять имитацию срабатывания детекторов через заданное количество импульсов, которое должно быть не менее 10000.
В контроллере начинают выполнение алгоритма поверки. В тот момент, когда алгоритм поверки достигает стадии счета импульсов, запускают эталонный прибор, с помощью которого осуществляют имитацию срабатывания детекторов через заданное количество импульсов. Данную процедуру выполняют не менее трех раз. Записывают коэффициент преобразования ОПР, полученный в результате выполнения алгоритма поверки из распечатанного отчета о поверке или с дисплея контроллера.
Вычисляют расчетный коэффициент преобразования ОПР по формуле (А.1) (приложение А). В расчетах использовать значения температуры и давления без учета приведенной погрешности контроллера по каналу температуры или давления, а количество импульсов - заданное на эталонном приборе.
Вычисляют относительную погрешность рассчитанного контроллером коэффициента преобразования ОПР (включая погрешности задействованных измерительных каналов) по формуле

(19)
где KFnpe - значение коэффициента преобразования по показаниям контроллера;
KFnpp - расчетное значение коэффициента преобразования, определяют в соответствии А.1 (приложение А).
Вышеуказанные измерения и расчеты проводят для двух наборов (максимальных и минимальных) значений температур, давлений и частоты импульсов ОПР из их рабочего диапазона.
Результаты поверки считаются положительными, если относительная погрешность рассчитанного контроллером значения коэффициента преобразования ОПР для каждого набора данных не превышает ±0,025%.
-
6.3.8.2 Определение погрешности контроллера при вычислении поправочного коэффициента (метер-фактора) массового преобразователя расхода (далее - МПР) при поверке МПР по трубопоршневой поверочной установке.
В память котроллера с клавиатуры или при помощи ПО Config 600 вводят, как условно-постоянные величины, следующие параметры:
диапазоны измерений преобразователей давления:
-
• на входе ТПУ;*
-
• на выходе ТПУ;*
диапазоны измерений преобразователей температуры:
-
• на входе ТПУ;*
-
• на выходе ТПУ;*
объем калиброванного участка ТПУ при стандартных (нормальных) условиях;
стандартную (нормальную) температуру калибровки ТПУ; стандартное (нормальное) давление калибровки ТПУ;
коэффициент кубического расширения материала стенок (для шарового ТПУ) или коэффициент квадратичного расширения материала стенок (для компакт-прувера);
внутренний диаметр калиброванного участка ТПУ;
модуль упругости материала стенок калиброванного участка ТПУ; толщину стенок калиброванного участка ТПУ;
плотность среды в ТПУ;
коэффициент преобразования МПР;
количество измерений при поверке (не менее трех);
Примечание* - Допускается использовать один комплект измерений температуры и давления среды для ТПУ и компакт-прувера; в этом случае в память контроллера вводится один диапазон измерений температуры и один диапазон измерений давления.
Дополнительно, при использовании компакт-прувера. вводят следующие параметры:
коэффициент линейного расширения материала ннварового стержня компакт-прувера;
температуру окружающего воздуха для компакт-прувера;
количество проходов поршня при измерении (не менее трех).
В память контроллера с клавиатуры или при помощи ПО Config 600 вводят следующие параметры:
температуру среды в ТПУ; давление среды в ТПУ.
При вводе значений температуры и давления среды для ТПУ необходимо учитывать погрешность измерительных каналов контроллера, задействованных в измерении этих параметров. Вводимое значение рассчитывают по формуле (18).
На вход контроллера по каналу измерения МПР задают импульсный сигнал частотой соответствующей рабочему диапазону частот МПР. Детекторные входы контроллера подключают к дискретным выходам эталонного прибора . который будет осуществлять имитацию срабатывания детекторов через заданное количество импульсов, которое должно быть не менее 10000.
С клавиатуры контроллера начинают выполнение алгоритма поверки. В тот момент, когда алгоритм поверки достигает стадии счета импульсов, запускают эталонный прибор, который осуществляет имитацию срабатывания детекторов через заданное количество импульсов. Данную процедуру выполняют количество раз соответствующее ранее введенному значению количества измерений (для шарового ГПУ) или количеству измерений, умноженному на количество проходов поршня (для компакт-прувера). Записывают метер-фактор МПР, полученный в результате выполнения алгоритма поверки из распечатанного отчета о поверке или с дисплея контроллера.
Вычисляют расчетный метер-фактор МПР по формуле (А.13) (приложение А). В расчетах использовать значения температуры и давления без учета приведенной погрешности контроллера по каналу температуры или давления, а количество импульсов - заданное на эталонном приборе.
Вычисляют относительную погрешность рассчитанного контроллером метер-фактора МПР (включая погрешности задействованных измерительных каналов) по формуле где MFnpe - значение поправочного коэффициента по показаниям контроллера; MFnPp - расчетное значение поправочного коэффициента, определяют в соответствии А.2 (приложение А).

(20)
Вышеуказанные измерения и расчеты проводят для двух наборов (максимальных и минимальных) значений температур, давлений и частоты импульсов МПР из их рабочего диапазона.
Результаты поверки считаются положительными, если относительная погрешность рассчитанного контроллером поправочного коэффициента МПР для каждого набора данных не превышает ±0,025%.
-
6.3.8.3 Определение погрешности контроллера при вычислении поправочного коэффициента (метер-фактора) массового преобразователя расхода при поверке МПР по контрольному массовому преобразователю расхода (далее - КМПР).
В качестве КМПР могут выступать передвижные или стационарные эталонные установки или другие средства и системы измерений массового расхода.
В память контроллера с клавиатуры или при помощи ПО Config 600 вводят, как условно-постоянные величины, следующие параметры:
коэффициент преобразования МПР;
коэффициент преобразования КМПР; количество измерений при поверке (не менее трех); метод поверки (по времени / по массе / по количеству импульсов); время измерений или измеряемую массу или измеряемое количество импульсов (в зависимости от выбранного метода поверки). Необходимо выбрать этот параметр так, чтобы количество импульсов измеренных в МПР и КМПР было не меньше 10000.
На входы контроллера по каналам измерения МПР и КМПР задают импульсные сигналы с частотами соответствующими их рабочим диапазонам.
С клавиатуры контроллера начинают выполнение алгоритма поверки.
Записывают метер-фактор МПР, полученный в результате выполнения алгоритма поверки из распечатанного отчета о поверке или с дисплея контроллера.
Вычисляют расчетный метер-фактор МПР по формуле (А. 16) (приложение А).
Вычисляют относительную погрешность рассчитанного контроллером
метер-фактора МПР (включая погрешности задействованных измерительных каналов) по формуле
&MF2IIP

(21)
где MFnpe - значение поправочного коэффициента по показаниям контроллера; MFnpp - расчетное значение поправочного коэффициента, определяют в соответствии А.З (приложение А).
Вышеуказанные измерения и расчеты проводят для двух наборов (максимальных и минимальных) частот импульсов МПР и КМПР из их рабочего диапазона.
Результаты поверки считаются положительными, если относительная погрешность рассчитанного контроллером поправочного коэффициента МПР для каждого набора данных не превышает ±0,025%.
В память контроллера с клавиатуры или при помощи ПО Config 600 вводят, как условно-постоянные величины, следующие параметры:
коэффициент преобразования МПР;
коэффициент преобразования КОПР;
количество измерений при поверке (не менее трех);
метод поверки (по времени / по массе / по количеству импульсов);
время измерений или измеряемую массу или измеряемое количество импульсов (в зависимости от выбранного метода поверки). Необходимо выбрать этот параметр так, чтобы количество импульсов измеренных в МПР и КОПР было не меньше 10000;
плотность среды в КОПР.
На входы контроллера по каналам измерения МПР н КОПР задают импульсные сигналы с частотами соответствующими их рабочим диапазонам.
С клавиатуры контроллера начинают выполнение алгоритма поверки. Записывают метер-фактор МПР, полученный в результате выполнения алгоритма поверки из распечатанного отчета о поверке или с дисплея контроллера.
Вычисляют расчетный метер-фактор МПР по формуле (А. 18) (приложение А).
Вычисляют относительную погрешность рассчитанного контроллером метер-фактора МПР (включая погрешности задействованных измерительных
каналов) по формуле
ПР

(22)
где MFnpe - значение поправочного коэффициента по показаниям контроллера; MFnpp - расчетное значение поправочного коэффициента, определяют в соответствии с А.4 (приложение А).
Вышеуказанные измерения и расчеты проводят для двух наборов (максимальных н минимальных) частот импульсов МПР и КОПР из их рабочего диапазона.
Результаты поверки считаются положительными, если относительная погрешность рассчитанного контроллером поправочного коэффициента МПР для каждого набора данных не превышает ±0,025%.
-
6.3.8.4 Определение погрешности контроллера при вычислении коэффициента преобразования (импульс-фактора) объемного преобразователя расхода при поверке ОПР по контрольному объемному преобразователю расхода.
В память контроллера с клавиатуры или при помощи ПО Config 600 вводят, как условно-постоянные величины, следующие параметры:
диапазоны измерений преобразователей давления:
-
• на участке поверяемого ОПР;
-
• на участке КОПР;
диапазоны измерений преобразователей температуры:
-
• на участке поверяемого ОПР;
-
• на участке КОПР;
тип таблицы для жидкостей (для автоматического выбора контроллером специфических коэффициентов при расчете коэффициента объемного расширения в зависимости от типа жидкости - приведены в таблице А.1 приложения А);
плотность среды в ОПР. приведенную к стандартным (нормальным) условиям;
стандартную (нормальную) температуру; коэффициент преобразования ОПР;
коэффициент преобразования КОПР;
количество измерений при поверке (не менее трех);
метод поверки (по времени / по объему / по количеству импульсов);
время измерений или измеряемый объем или измеряемое количество импульсов (в зависимости от выбранного метода поверки). Необходимо выбрать этот параметр так, чтобы количество импульсов измеренных в ОПР и КОПР было не меньше 10000.
В память контроллера с клавиатуры или при помощи ПО Config 600 вводят следующие параметры:
температуру среды в ОПР; температуры среды в КОПР; давление среды в ОПР;
давление среды в КОПР.
При вводе значений температуры и давления среды для ОПР и КОПР необходимо учитывать погрешность измерительных каналов контроллера задействованных в измерении этих параметров.
На входы контроллера по каналам измерения ОПР и КОПР задают импульсные сигналы с частотами соответствующими их рабочим диапазонам.
С клавиатуры контроллера начинают выполнение алгоритма поверки. Записывают коэффициент преобразования ОПР. полученный в результате выполнения алгоритма поверки из распечатанного отчета о поверке или с дисплея контроллера.
Вычисляют расчетный коэффициент преобразования ОПР по формуле (А.20) (приложение А). В расчетах использовать значения температуры и давления без учета приведенной погрешности контроллера по каналу температуры или давления.
Вычисляют относительную погрешность рассчитанного контроллером коэффициента преобразования ОПР (включая погрешности задействованных
измерительных каналов) по формуле

(23)
где KFnpe - значение коэффициента преобразования по показаниям контроллера;
KFnpp - расчетное значение коэффициента преобразования, определяют в соответствии с А.5 (приложение А).
Вышеуказанные измерения и расчеты проводят для двух наборов (максимальных н минимальных) давлений, температур и частот импульсов ОПР и КОПР из их рабочего диапазона.
Результаты поверки считаются положительными, если относительная погрешность рассчитанного контроллером коэффициента преобразования ОПР для каждого набора данных не превышает ±0,025%.
7 ОФОРМЛЕНИЕ РЕЗУЛЬТАТОВ ПОВЕРКИ
-
7.1. Контроллер считается прошедшим поверку с положительным результатом, если погрешности всех измерительных каналов не выходят за установленные для них пределы.
-
7.2. При положительном результате поверки оформляют свидетельство о поверке в соответствии с Приказом Минпромторга России от 02.07.2015 N 1815 «Об утверждении Порядка проведения поверки средств измерений, требования к знаку поверки и содержанию свидетельства о поверке».
Знак поверки наносится на свидетельство о поверке контроллера и на пломбу, установленную на контровочных проволоках, пропущенную через отверстия на корпусе контроллера.
-
7.3. При отрицательных результатах поверки, свидетельство о поверке аннулируют, выдают извещение о непригодности согласно Приказу Минпромторга России от 02.07.2015 N 1815 «Об утверждении Порядка проведения поверки средств измерений, требования к знаку поверки и содержанию свидетельства о поверке» с указанием причин.
Приложение А
(обязательное)Формулы расчета коэффициентов преобразования и поправочных коэффициентов преобразователей расхода
А.1 Определение коэффициента преобразования объемного преобразователя расхода (далее - ОПР) при поверке ОПР по трубопоршневой поверочной установке (далее - ПУ), в качестве ПУ применяется шаровый прувер или компакт-прувер.
Коэффициент преобразования ОПР KFnp, имп/м3, определяется по формуле где N - количество импульсов, задаваемое на вход контроллера счетчиком импульсов;

(А.1)
Ctlm - коэффициент коррекции объема жидкости в ОПР по температуре;
Cplm - коэффициент коррекции объема жидкости в ОПР по давлению;
Vo - объем калиброванного участка ПУ для условий калибровки, м3;
Ctsp - коэффициент коррекции объема ПУ по температуре;
Cpsp - коэффициент коррекции объема ПУ по давлению;
Ctlp - коэффициент коррекции объема жидкости в ПУ по температуре;
Cplp - коэффициент коррекции объема жидкости в ПУ по давлению.
А. 1.1 Коэффициент коррекции объема жидкости в ОПР по температуре рассчитывают по формуле
- в случае если за значение стандартной температуры принимают 15 °C
— ехр|“а(/л? — гстд)(14‘!_^£ _гстдг )j)) (А.2)
где а - коэффициент объемного расширения жидкости. 1 /°C;
tnp - температура в ОПР, °C;
tci-д - стандартная температура, °C.
- в случае если за значение стандартной температуры принимают 20 °C
= ехР( ~а (.(пр ~ гстд ) (Гдр -trj-д ) - 0.8а ) (А.З)
А. 1.1.1 Коэффициент объемного расширения жидкости
_ : к1Рстд

(А.4) где к0, ki - специфические коэффициенты жидкости;
Рстд - плотность среды при стандартных условиях, кг/м3.
Значения коэффициентов к0, к1 приведены в таблице А.1
Таблица А.1 - Значения коэффициентов k0, ki для расчета объемного
расширения жидкости (в соответствии с МИ 2632-2001)
|
Продукт |
ко |
ki |
|
Товарная нефть |
613.97226 |
0.00000 |
|
Бензин |
346.42278 |
0.438S4 |
|
Реактивное топливо |
594.54180 |
0.00000 |
|
Мазут |
186.96960 |
0.4861S |
А. 1.2 Коэффициент коррекции жидкости в ОПР по давлению
(А.5)
где РПр - давление в ОПР, МПа;
(3 - коэффициент сжимаемости среды при температуре tnpB ОПР, 1/МПа
А. 1.2.1 Коэффициент сжимаемости среды

(А.6)
А. 1.3 Коэффициент коррекции объема ПУ по температуре
А. 1.3.1 Для шарового прувера
Ctsp — 1+ 3}’ — ^С1дшт) > (А.7)
где tny- температура в ПУ, °C;
tc-гдпу- стандартная температура при калибровке ПУ, °C;
/-коэффициент расширения материала стенок ПУ, 1/°С.
А. 1.3.2 Для компакт-прувера
Сtsp ~ (1+ - 71 ~ ^стд пу ))(1+ 7!ШБ I fOKP ~ пу )) (А. 8)
где tny- температура в ПУ, °C;
tci-дпу- стандартная температура при калибровке ПУ, °C;
у-коэффициент расширения материала стенок ПУ, 1/°С;
Уинв -коэффициент линейного расширения материала инварового стержня ПУ, 1/°С;
toKP - температура окружающего воздуха для компакт-прувера, °C.
А.2 Определение поправочного коэффициента (метер-фактор) массового преобразователя расхода (далее - МПР) при поверке по трубопоршневой поверочной установке и плотномеру
MF =


(А.9)
где МПу- масса среды по ПУ и плотномеру, т;
Мпр - масса среды по МПР, т.
А.2.1 Масса среды по ПУ и плотномеру
^ПУ 3 Qsp Ср$Р Рпу
(А. 10)
где рПу- плотность среды при условиях ПУ, кг/м3;
А.2.2 Масса среды по МПР где Nnp - количество импульсов по МПР, имп;


(А.11)
КПр - коэффициент преобразования поверяемого МПР, имп/т.
А.З Определение поправочного коэффициента (метер-фактор) МПР при поверке по контрольному МПР
= (А. 12)
где Мкпр - масса среды по контрольному (образцовому) МПР, т.
А.3.1 Масса среды по контрольному МПР w — ^кпр
мкпр - — — ' (А. 13)
^КПР
где NKnp - количество импульсов по контрольному МПР, имп;
ККПр- коэффициент преобразования контрольного (образцового) МПР, имп/т.
А.4 Определение поправочного коэффициента (метер-фактор) МПР при поверке по контрольному ОПР и плотномеру
= (А. 14)
где Мкопр - масса среды по контрольному ОПР, т.
АЛИ Масса среды по контрольному ОПР
^КОПР
=го-1^™рк^.
.КОПР
(А. 15)
где Ккопр - коэффициент преобразования контрольного ОПР, имп/м3; Ркопр- плотность среды при условиях контрольного ОПР, кг/м3.
А.5 Определение коэффициента преобразования (импульс-фактор) ОПР при поверке по контрольному ОПР (имп/м3)
С Г' ИГР
ТТР — ДР ш/ ^PLM КПР
ПР -кт С (2 ’
ЛУКПР ^'ILiPKHP ^РШКПР
где Ctlm кпр - коэффициент коррекции объема жидкости в контрольном ОПР по температуре, определяется в соответствии с А. 1.1 при соответствующих значениях температуры среды для контрольного ОПР;
Cplm кпр - коэффициент коррекции объема жидкости в контрольном ОПР по давлению, определяется по формуле (А.5) при соответствующих значениях давления среды для контрольного ОПР.
