Инструкция «ГСИ. Система измерений количества и параметров свободного нефтяного газа АО "Газпромнефть-Ноябрьскнефтегаз" на ДНС-1 с УПСВ Вынгапуровского месторождения» (МП 0539-13-2016)
ФЕДЕРАЛЬНОЕ АГЕНТСТВО ПО ТЕХНИЧЕСКОМУ РЕГУЛИРОВАНИЮ И МЕТРОЛОГИИ
ФЕДЕРАЛЬНОЕ ГОСУДАРСТВЕННОЕ УНИТАРНОЕ ПРЕДПРИЯТИЕ ВСЕРОССИЙСКИЙ НАУЧНО-ИССЛЕДОВАТЕЛЬСКИЙ ИНСТИТУТ РАСХОДОМЕТРИИ (ФГУП «ВНИИР»)
«УТВЕРЖДАЮ»

по развитию
А.С. Тайбинский декабря 2016 г.
ИНСТРУКЦИЯ
Государственная система обеспечения единства измерений
Система измерений количества и параметров свободного нефтяного газа АО «Газпромнефть-Ноябрьскнефтегаз» на ДНС-1 с УПСВ Вынгапуровского месторождения
Методика поверки
МП 0539-13-2016
Начальник от а НИО-13

А.И. Горчев
Тел.(843)272-11-24
г. Казань
2016 г.
РАЗРАБОТАНА ФГУП «ВНИИР»
УТВЕРЖДЕНА ФГУП «ВНИИР»
Настоящая инструкция распространяется на систему измерений количества и параметров свободного нефтяного газа АО «Газпромнефть-Ноябрьскнефтегаз» на ДНС-1 с УПСВ Вынгапуровского месторождения (далее - система измерений), изготовленную ООО «Автоматизация-Метрология-ЭКСПЕРТ», г. Уфа и устанавливает методику ее первичной и периодической поверок.
Система измерений предназначена для автоматизированного измерения объемного (массового) расхода (объема) свободного нефтяного газа (далее - СНГ) при рабочих условиях и приведения объемного (массового) расхода (объема) газа к стандартным условиям по ГОСТ 2939-63
Система измерений состоит из семи измерительных линий различной конструкции, объединенные общим ИВК:
-
- ИЛ узла учета СНГ на компрессорную станцию ДНС-1 с УПСВ Вынгапуровского месторождения (далее - УУ СНГ на КС). Номинальный диаметр DN200;
-
- ИЛ узла учета СНГ на газокомпрессорную станцию ДНС-1 с УПСВ Вынгапуровского месторождения (далее - УУ СНГ на ГКС). Номинальный диаметр DN100;
-
- ИЛ узла учета СНГ на факел высокого давления ДНС-1 с УПСВ Вынгапуровского месторождения (далее - УУ СНГ на ФВД). Номинальный диаметр DN300;
-
- ИЛ узла учета СНГ на факел низкого давления ДНС-1 с УПСВ Вынгапуровского месторождения (далее - УУ СНГ на ФНД). Номинальный диаметр DN400;
-
- ИЛ узла учета СНГ на котельную ДНС-1 с УПСВ Вынгапуровского месторождения (далее - УУ СНГ на котельную). Номинальный диаметр DN40;
-
- ИЛ узла учета СНГ на печи ДНС-1 с УПСВ Вынгапуровского месторождения (далее - УУ СНГ на печи). Номинальный диаметр DN80;
-
- ИЛ узла учета СНГ на линию дежурного горения факельных систем (далее - УУ СНГ на ФС). Номинальный диаметр DN40.
Для системы измерений установлена поэлементная поверка. Измерительные и вычислительные компоненты поверяются в соответствии с их методиками поверки, представленными в приложении А.
Погрешность определения объемного расхода и объема газа, приведенных к стандартным условиям, рассчитываются по метрологическим характеристикам применяемых средств измерений температуры, давления и объемного расхода газа при рабочих условиях.
Интервал между поверками - 2 года.
1 Операции поверки
При проведении поверки выполняют следующие операции, представленные в таблице 1.
Таблиц а 1
Наименование операции |
Номер пункта методики поверки |
Проведение операции при: | |
первичной поверке |
периодической поверке | ||
1 |
2 |
3 |
4 |
Внешний осмотр |
6.1 |
+ |
+ |
Проверка выполнения функциональных возможностей системы измерений |
6.2 |
+ |
+ |
Продолжение таблицы 1
Наименование операции |
Номер пункта методики поверки |
Проведение операции при: | |
первичной поверке |
периодической поверке | ||
1 |
2 |
3 |
4 |
Подтверждение соответствия программного обеспечения системы измерений |
6.3 |
+ |
+ |
Определение метрологических характеристик (далее - MX): |
6.4 |
+ |
+ |
- средств измерений (далее - СИ), входящих в состав системы измерений |
6.4.2 |
+ |
+ |
- абсолютной погрешности преобразования входных аналоговых сигналов по каналу измерения абсолютного давления |
6.4.3 |
+ |
+ |
- абсолютной погрешности преобразования входных аналоговых сигналов по каналу измерения температуры |
6.4.4 |
+ |
+ |
- абсолютной погрешности преобразования входных аналоговых сигналов по каналу измерения расхода |
6.4.5 |
+ |
+ |
относительной погрешности измерений объемного расхода и объема газа, приведенных | |||
к стандартным условиям |
6.4.6 |
+ |
+ |
Оформление результатов поверки |
7 |
+ |
+ |
2 Средства поверки
-
2.1 При проведении поверки применяют следующие средства:
-
- калибратор многофункциональный модели ASC300-R, диапазон воспроизведения токового сигнала от 0 до 24 мА, пределы допускаемой погрешности в режиме воспроизведения токового сигнала ±0,015% от показания ±2 мкА;
-
- термометр ртутный стеклянный лабораторный ТЛ-4, диапазон измерений от 0 до плюс 55 °C, цена деления 0,1 °C;
-
- барометр-анероид БАММ-1, диапазон измерений от 80 до 106,7 кПа, цена деления шкалы 100 Па;
-
- гигрометр психрометрический ВИТ, диапазон измерений относительной влажности от 30% до 80%, цена деления термометров 0,5 °C
-
2.2 Применяемые при поверке СИ должны быть поверены и иметь действующие свидетельства о поверке или поверительные клейма.
-
2.3 Допускается применение аналогичных средств поверки, обеспечивающих определение метрологических характеристик поверяемых систем измерений с требуемой точностью.
3 Требования безопасности
-
3.1 При проведении поверки соблюдают требования, определяемые:
-
- Правилами безопасности труда, действующими на объекте;
-
- Правилами безопасности при эксплуатации средств измерений;
- Федеральными нормами и правилами в области промышленной безопасности «Правила безопасности сетей газораспределения и газопотребления».
-
3.2 Управление оборудованием и СИ проводится лицами, прошедшими обучение и проверку знаний и допущенными к обслуживанию применяемого оборудования и СИ.
4 Условия поверки
-
4.1 При проведении поверки соблюдают следующие условия:
-
- измеряемая среда свободный нефтяной газ
от +15 до +36 от 30 до 80 от 96 до 104 220^ 50±1 отсутствуют
-
- температура окружающего воздуха, °C
-
- относительная влажность окружающего воздуха, %
-
- атмосферное давление, кПа
-
- напряжение питания, В
-
- частота переменного тока, Гц
-
- внешнее магнитное поле (кроме земного), вибрация
5 Подготовка к поверке
-
5.1 Подготовку к поверке проводят в соответствии с руководством по эксплуатации системы измерений (далее - РЭ) и нормативными документами на поверку СИ, входящих в состав системы измерений.
-
5.2 Проверяют наличие действующих свидетельств о поверке и/или поверительные клейма применяемых СИ, входящих в состав системы измерений.
-
5.3 Все используемые СИ должны быть приведены в рабочее положение, заземлены и включены в соответствии с руководством по их эксплуатации.
6 Проведение поверки
-
6.1 Внешний осмотр.
При проведении внешнего осмотра должно быть установлено соответствие поверяемой системы измерений следующим требованиям:
-
- длины прямых участков измерительного трубопровода до и после расходомера счетчика теплового t-mass, расходомера газа ультразвукового Flowsic 100 и расходомера вихревого Prowirl (далее - расходомер) должны соответствовать требованиям эксплуатационной документации, установленным изготовителями расходомеров.
-
- комплектность системы должна соответствовать РЭ;
-
- на компонентах системы измерений не должно быть механических повреждений и дефектов покрытия, ухудшающих внешний вид препятствующих применению;
-
- надписи и обозначения на компонентах системы измерений должны быть четкими и соответствовать РЭ;
-
- наличие маркировки на приборах, в том числе маркировки по взрывозащите.
-
6.2 Проверка выполнения функциональных возможностей системы измерений.
-
6.2.1 При проверке выполнения функциональных возможностей системы измерений проверяют функционирование задействованных измерительных каналов температуры, давления и расхода. Проверку проводят путем подачи на входы комплекса измерительновычислительного «ОКТОПУС-Л» («OCTOPUS-Ь») (далее - контроллер) сигналов, имитирующих сигналы от первичных преобразователей температуры, давления и расхода.
-
Результаты проверки считаются положительными, если при увеличении/уменыпении значения входного сигнала соответствующим образом изменяются значения измеряемой величины на дисплее контроллера или ПЭВМ.
-
6.3 Подтверждение соответствия программного обеспечения системы измерений.
Программное обеспечение (ПО) системы измерений базируется на ПО, входящих в состав системы измерений серийно выпускаемых компонент, имеющих свидетельства (сертификаты) об утверждении типа средств измерений, дополнительного метрологически значимого ПО система измерений не имеет.
Проверку идентификационных данных операционной системы основного вычислительного компонента - комплекса измерительно-вычислительного «ОКТОПУС-Л» проводят в соответствии с руководством пользователя на контроллер. Идентификационные данные контроллера должны соответствовать представленным в описании типа.
-
6.4 Определение метрологических характеристик.
-
6.4.1 Определение метрологических характеристик системы измерений заключается в расчете погрешности при измерении температуры, давления и объемного расхода СНГ в рабочих условиях, погрешности при определении объемного расхода и объема СНГ, приведенных к стандартным условиям.
-
6.4.2 Определение соответствия метрологических характеристик СИ, входящих в состав системы измерений, проводят в соответствии с нормативными документами на поверку, представленными в приложении А.
-
6.4.3 Определение абсолютной погрешности преобразования входных аналоговых сигналов по каналу измерения абсолютного давления.
-
Контроллер переводят в режим поверки измерительного канала. Проверяют передачу информации на участке линии связи: датчик давления Метран-150 - контроллер.
Для этого отключают датчик давления Метран-150 и с помощью калибратора подают на вход контроллера с учетом линии связи аналоговые сигналы (для аналогового сигнала 4-20 мА это: 4 мА, 8 мА, 12 мА, 16 мА, 20 мА) и считывают значение тока для соответствующего давления с дисплея контроллера или с экрана ПЭВМ.
По результатам измерений в каждой реперной точке вычисляют абсолютную погрешность по формуле:
3^=1 ~1У1, (1)
где 7, - показание контроллера в i -той реперной точке, мА;
1у. - показание калибратора в i -той реперной точке, мА.
Результаты поверки считаются положительными, если пределы абсолютной погрешности не превышают ±0,015 мА.
-
6.4.4 Определение абсолютной погрешности преобразования входных аналоговых сигналов по каналу измерения температуры.
Контроллер переводят в режим поверки измерительного канала. Проверяют передачу информации на участке линии связи: термопреобразователь с унифицированным выходным сигналом ТСПУ 902820 (Метран-270, ТСМУ) - контроллер.
Для этого отключают термопреобразователь с унифицированным выходным сигналом ТСПУ 902820 (Метран-270, ТСМУ) и с помощью калибратора подают на вход контроллера с учетом линии связи аналоговые сигналы (для аналогового сигнала 4-20 мА это: 4 мА, 8 мА, 12 мА, 16 мА, 20 мА) и считывают значение тока для соответствующей температуры с дисплея контроллера или с экрана ПЭВМ.
По результатам измерений в каждой реперной точке вычисляют абсолютной погрешности преобразования входных аналоговых сигналов по формуле (1).
Результаты поверки считаются положительными, если пределы абсолютной погрешности не превышают ±0,015 мА.
-
6.4.5 Определение абсолютной погрешности преобразования входных аналоговых сигналов по каналу измерения расхода.
Проверяют передачу информации на участке линии связи: расходомер - контроллер. Для этого отключают расходомер и и с помощью калибратора подают на вход контроллера с учетом линии связи аналоговые сигналы (для аналогового сигнала 4-20 мА это: 4 мА, 8 мА, 12 мА, 16 мА, 20 мА) и считывают значение тока для соответствующего расхода с дисплея контроллера или с экрана ПЭВМ.
По результатам измерений в каждой реперной точке вычисляют абсолютную погрешность по формуле (1).
Результаты поверки считаются положительными, если пределы абсолютной погрешности не превышают ±0,015 мА.
-
6.4.6 Определение относительной погрешности измерений объемного расхода и объема газа, приведенных к стандартным условиям.
По метрологическим характеристикам применяемых средств измерений рассчитывают общую результирующую погрешность определения расхода и объема газа, приведенных к стандартным условиям.
Расчет относительной погрешности измерений объемного расхода и объема газа, приведенных к стандартным условиям для УУ СНГ на КС, УУ СНГ на ГКС, УУ СНГ на ФВД, УУ СНГ на ФНД, УУ СНГ на котельную, УУ СНГ на печи, УУ СНГ на ФС осуществляется по следующим формулам:
-
6.4.6.1 Относительную погрешность измерений объемного расхода СНГ, приведенного к стандартным условиям , %, при применении расходомера вихревого Prowirl и расходомера газа ультразвукового Flowsic 100 определяют по формуле:
+ &2P52P+32K + д2ивк , (2)
где 3 - пределы допускаемой относительной погрешности при измерении объемного
расхода СНГ в рабочих условиях, %;
Зт - коэффициент влияния температуры на коэффициент сжимаемости СНГ;
Зр - коэффициент влияния давления на коэффициент сжимаемости СНГ;
3 - пределы допускаемой относительной погрешности измерения абсолютного
давления, %;
дт - пределы допускаемой относительной погрешности измерения температуры, %;
Зк - пределы допускаемой относительной погрешности определения коэффициента сжимаемости СНГ, %;
Зивк ~ пределы допускаемой относительной погрешности ИВК при вычислении объемного расхода СНГ, приведенного к стандартным условиям, %.
-
6.4.6.2 Пределы допускаемой относительной погрешности при измерении объемного (массового) расхода СНГ в рабочих условиях определяются по формуле:
_ У&пр +$пРивк ’
где 3q - пределы допускаемой относительной погрешности при измерении объемного расхода СНГ в рабочих условиях, %;
ёпривк - пределы допускаемой относительной погрешности ИВК при преобразовании аналогового сигнала в цифровой код, %.
-
6.4.6.3 Пределы допускаемой относительной погрешности ИВК при преобразовании аналогового сигнала в цифровой код определяют по формуле:
где
Ib, Ih
^пРивк
(4)
верхнее и нижнее значения аналогового сигнала соответственно, мА; пределы допускаемой приведенной погрешности ИВК при преобразовании аналогового сигнала в цифровой код, %.
6.4.6.4 Коэффициент влияния температуры на коэффициент сжимаемости СНГ
определяют по формуле:
□ 5f Т
9т~дт*р ()
6.4.6.5 Коэффициент определяют по формуле:
влияния давления на коэффициент сжимаемости СНГ
9-дР*Р (6>
&р~8Р f ()
6.4.6.6 Пределы допускаемой относительной погрешности определения температуры определяют по формуле:
- при использовании в качестве СИ температуры термопреобразователя с унифицированным выходным сигналом Метран-270 (ТСМУ):
Ь.____у . Д
ktH +273,15 Tj
(7)
где te , t. ~ верхний и нижний пределы шкалы СИ температуры, °C;
у( - основная приведенная погрешность СИ температуры, %;
у - дополнительная приведенная погрешность СИ температуры при изменении температуры окружающего воздуха на каждые 10 °C, %/ °C;
Аг - максимальная разница между температурой окружающего воздуха и температурой при калибровке, °C.
- при использовании в качестве СИ температуры термопреобразователя с унифицированным выходным сигналом ТСПУ 902820:
\2
+ $пРивк ’
^902820
(8)
Дзм + 273,15 j
где Л9О282о ~ пРеДелы допускаемой абсолютной погрешности СИ температуры, °C;
при этом значение переменной tH3M не выходит за пределы настроенного диапазона измерений используемого термопреобразователя.
6.4.6.7 Пределы допускаемой относительной погрешности определения давления определяют по формуле:
где <5Р
“абс


(9)
- пределы допускаемой относительной погрешности измерений абсолютного давления, %.
6.4.6.8 Пределы допускаемой относительной погрешности абсолютного давления определяют по формуле:

определения
(Ю)
где др
госн
- пределы допускаемой основной относительной погрешности измерений абсолютного давления, %;
Зр - пределы допускаемой дополнительной приведенной погрешности доп измерений абсолютного давления от изменения температуры окружающей среды на каждые 10 °C, %.
6.4.6.9 Пределы допускаемой относительной погрешности определения коэффициента сжимаемости СНГ определяется по формуле: 3K = ^Ki+3K^ + 3K2uc,
(П)
гд: Жм - методическая погрешность определения коэффициента сжимаемости, %;
Ж - относительная погрешность определения коэффициента сжимаемости, связанная с погрешностью измерения исходных данных, %;
Жнс - относительное изменение значения коэффициента сжимаемости, %.
6.4.6.10 Относительная погрешность определения коэффициента сжимаемости, связанная с погрешностью измерения исходных данных определяется по формуле:

где: 3xi - относительная погрешность определения z-ro компонента в газовой смеси, %;
5Ц - коэффициенты влияния z-ro компонента в газовой смеси на коэффициент сжимаемости.
-
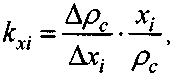
6.4.6.11 Коэффициенты влияния z-ro компонента в газовой смеси на коэффициент сжимаемости определяются по формуле:
Лс; =
(13)
где: КК - изменение значения коэффициента сжимаемости Л?при изменении содержания z-ro компонента в газовой смеси х, на величину Лх,
-
6.4.6.12 Предел относительной погрешности измерений объема газа, приведенного к стандартным условиям 8VC, %, определяют по формуле:
$VC ’ (14)
где: 3 - относительная погрешность измерений объемного расхода газа, приведенного
к стандартным условиям, %;
Зт - относительная погрешность ИВК определения интервала времени (измерения текущего времени), %.
-
6.4.6.13 Пределы относительной погрешности измерений объемного расхода газа, приведенного к стандартным условиям 6qc, % при применении расходомера-счетчика теплового t-mass определяют по формуле:
$qc - М + 4<^О + $пр ИВК + $q ИВК + ^рс ’ (I5)
где 3^м - предел относительной погрешности измерений среднерасходной массовой
скорости газа расходомером t-mass 651, %;
3D - относительная погрешность определения внутреннего диаметра ИТ, %;
8 - методическая относительная погрешность определения плотности газа при
стандартных условиях, %.
-
6.4.6.14 Пределы относительной погрешности измерений среднерасходной массовой скорости газа расходомером t-mass 651 определяют по формуле:
м ~ 5 • +1, (16)
Q,t
где Q - верхнее значение шкалы по массовому расходу, кг/ч;
QT - измерение значение массового расхода, кг/ч.
-
6.4.6.15 Пределы относительной погрешности определения внутреннего диаметра
ИТ вычисляют с учетом дополнительной погрешности и определяют по формуле:
$D = И + ^Dt ’ (17)
где 8а |
- дополнительная погрешность определения внутреннего диаметра ИТ при рабочей температуре, %; |
- относительная погрешность измерения внутреннего диаметра ИТ, %. |
-
6.4.6.16 Пределы относительной погрешности ИВК при преобразовании аналогового сигнала в цифровой код определяют по формуле (4).
-
6.4.6.17 Пределы относительной погрешности определения плотности газа при стандартных условиях Зрс определяют по формуле:
^рс=^рсм+^р8х > (18)
где ^Рсм ~ методическая абсолютная погрешность определения плотности газа при стандартных условиях;
8pSx ~ Д°полнительная погрешность плотности газа при стандартных условиях, связанная с погрешностью определения содержания компонентов.

(19)

(20)
где kxi - коэффициент влияния содержания компонента газа х, на рс;
п - общие число компонентов газа;
8 - относительные погрешности определения условно-постоянных значений
содержания компонентов газа, %;
х - содержание i-ro компонентного газа в молярных долях;
8рс - изменение величины рс при изменении х(. на Ах.;
Ах, - изменение величины х,;
р - плотность газа при стандартных условиях, кг/м3.

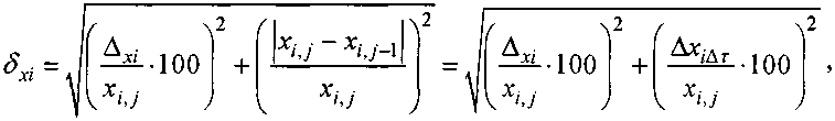
(21)
где Дх - абсолютная погрешность определения содержания i-ro компонента СИ (хроматографа), % объема;
х,. - содержание i-го компонента, текущего j-ro и предыдущего (j-l)-ro
определения х, _] соответственно, % объема;
Дх(. - допускаемое изменение содержания i-ro компонента в течении интервала времени между двумя определениями компонентного состава газа.
-
6.4.7 Результаты поверки считаются положительными, если пределы относительной погрешности измерений объемного расхода и объема газа, приведенных к стандартным условиям, по формуле (2) не превышают:
±2,0 % для УУ СНГ на КС, УУ СНГ на ГКС, УУ СНГ на ФВД, УУ СНГ на ФНД;
±2,5 % для УУ СНГ на котельную, УУ СНГ на печи, УУ СНГ на ФС.
7 Оформление результатов поверки
-
7.1. Результаты поверки заносят в протокол произвольной формы.
-
7.2. Положительные результаты поверки оформляют свидетельством по Приказу Минпромторга России от 02.07.2015 № 1815 «Об утверждении Порядка проведения поверки средств измерений, требования к знаку поверки и содержанию свидетельства о поверке». Знак поверки наносится на свидетельство о поверке или паспорт.
-
7.3. При отрицательных результатах поверки систему измерений не допускают к применению, свидетельство о поверке аннулируется и выписывается извещение о непригодности к применению.
Приложение А
(обязательное)
Список нормативных документов на поверку СИ, входящих в состав системы
измерений.
Наименование СИ |
Нормативный документ |
Расходомер счетчик тепловой t-mass |
«ГСИ. Расходомеры счетчики тепловые t-mass. Методика поверки», утвержденный ВНИИМС в 2008 г. |
Счетчик газа КТМ100 РУС |
МП 0239-13-2015 «Инструкция. ГСИ. Счетчики газа КТМ100 РУС. Методика поверки», утвержденной ФГУП «ВНИИР» 25 января 2015 г. |
Расходомер вихревой Prowirl |
МП 15202-14 «ГСИ. Расходомеры вихревые Prowirl. Методика поверки», утвержденным ФГУП «ВНИИМС» в июне 2014 г. |
Датчик давления Метран-150ТА |
МП 4212-012-2013 «Датчики давления Метран-150. Методика поверки», утвержденным ГЦИ СИ ФБУ «Челябинский ЦСМ» в ноябре 2013 г. |
Термопреобразователь с унифицированным выходным сигналом тему |
Раздел 2.5 «Методика поверки» Руководства по эксплуатации 2.821.071 РЭ, утвержденным ФГУП «ВНИИМС» 09.10.2014 г. |
Термопреобразователь с унифицированным выходным сигналом ТСПУ 902820 |
«Термопреобразователи с унифицированным выходным сигналом ТСПУ 902820. Методика поверки», утвержденным ГЦИ СИ «ВНИИМ им. Д.И. Менделеева» в январе 2006 г. |
Комплекс измерительно вычислительный «ОКТОПУС-Л» |
МП 0177-2-2014 «Инструкция. ГСИ. Комплексы измерительно-вычислительные «ОКТОПУ С-Л («OCTOPUS-L»). Методика поверки», утвержденным ГЦИ СИ ФГУП «ВНИИР» 09 сентября 2014 г. |