Методика поверки «Государственная система обеспечения единства измерений Аппаратура геодезическая спутниковая Spectra Precision SP20» (МП АПМ 45-20)
УТВЕРЖДАЮ
директор

. Никитин
июля 2020 г.
Государственная система обеспечения единства измерений
Аппаратура геодезическая спутниковая Spectra Precision SP20
МЕТОДИКА ПОВЕРКИ МП АПМ 45-20г. Москва,
2020 г.
Настоящая методика поверки распространяется на аппаратуру геодезическую спутниковую Spectra Precision SP20. производства «Trimble Europe B.V.». Нидерланды, производственная площадка «Kitron UAB». Литва, (далее - аппаратуру) и устанавливает методику ее первичной и периодической поверки.
Интервал между поверками - 1 год.
1 Операции поверки
При проведении поверки должны выполняться операции, указанные в таблице 1.
аблица 1 - Операции поверки
Наименование операции |
№ пункта документа по поверке |
Проведение операций при | |
первичной поверке |
периодической поверке | ||
Внешний осмотр |
7.1 |
Да |
Да |
Опробование |
7.2 |
Да |
Да |
Определение метрологических характеристик |
7.3 | ||
Определение абсолютной погрешности и средней квадратической погрешности измерений длины базиса в режимах «Статика». «Быстрая статика» |
7.3.1 |
Да |
Да* |
Определение абсолютной погрешности и средней квадратической погрешности измерений длины базиса в режимах «Кинематика». «Кинематика в реальном времени (RTK)» |
7.3.2 |
Да |
Да* |
Определение абсолютной погрешности и средней квадратической погрешности измерений в режиме «Дифференциальные кодовые измерения (dGNSS)» |
7.3.3 |
Да |
Да* |
Определение абсолютной и средней квадратической погрешностей определения координат в режиме «Автономный» |
7.3.4 |
Да |
Да* |
* - на основании письменного заявления владельца СИ |
2 Средства поверки
При проведении поверки должны применяться эталоны и вспомогательные средства поверки, приведенные в таблице 2.
аблица 2 - Средства поверки | |
№ пункта документа по поверке |
Наименование эталонов, вспомогательных средств поверки и их основные метрологические и технические характеристики |
7.1 |
Вспомогательное испытательное оборудование: Термогигрометр ИВА-6Н-Д (per. № 46434-11), зав. № 6255. отн. вл. (0 — 98) %. ПГ ±0.1 %. темп. (0 — 60)°С. ПГ ±0.3 °C. абс. давл. (70 — 110) кПа. ПГ ±0.25 кПа. (525 — 825) мм рт.ст., ПГ ± 1,9 мм рт. ст. Свидетельство о поверке № 2974853. действительно до 17.03.2021 г., выдано ФБУ «РОСТЕСТ-МОСКВА»; Аппаратура геодезическая спутниковая LEICA GS10 в комплекте с антенной AS 10. зав. №1335530 |
7.2 | |
7.3.1 |
рабочий эталон 2 разряда в соответствии с Государственной поверочной схемой для координатно-временных средств измерений, утверждённой Приказом Росстандарта от 29.12.2018 г. № 2831 -фазовый светодальномер (тахеометр) Вспомогательное испытательное оборудование: |
7.3.2 | |
7.3.3 |
№ пункта документа по поверке |
Наименование эталонов, вспомогательных средств поверки и их основные метрологические и технические характеристики |
Средство фазовых измерений приращения координат по сигналам ГНСС в диапазоне от 1,0 до 50,0 км с погрешностью измерений приращений координат не более: в режиме «статика»:
в режиме «кинематика»:
в режиме «dGNSS»
где D - измеряемое расстояние в мм. | |
7.3.4 |
Имитатор сигналов СН-3803М. Госреестр№ 54309-13. пределы среднего квадратического отклонения случайной составляющей основной погрешности формирования беззапросной дальности до спутников глобальных навигационных систем ГЛОНАСС и GPS:
или рабочий эталон координат местоположения, предел допускаемой погрешности хранения абсолютных координат не более 0.02 м |
Допускается применять другие средства поверки, обеспечивающие определение метрологических характеристик с точностью, удовлетворяющей требованиям настоящей методики поверки.
3 Требования к квалификации поверителей
К проведению поверки допускаются лица, изучившие эксплуатационную документацию на приборы и средства поверки, и аттестованные в качестве поверителя средств измерений в установленном порядке.
4 Требования безопасности
При проведении поверки должны соблюдаться требования по технике безопасности согласно эксплуатационной документации на приборы и поверочное оборудование, правила по технике безопасности, которые действуют на месте проведения поверки, а также правила по технике безопасности при производстве топографо-геодезических работ ПТБ-88. (Утверждены коллегией ГУГК при СМ СССР 09.02.1989 г., № 2/21).
5 Условия поверки
При проведении поверки должны соблюдаться следующие условия измерений:
- температура окружающей среды. °C от -20 до +60.
6 Подготовка к поверке
Перед проведением поверки должны быть выполнены следующие подготовительные работы:
-
- проверить наличие действующих свидетельств о поверке на эталонные средства измерений;
-
- аппаратуру и средства поверки привести в рабочее состояние в соответствии с их эксплуатационной документацией.
-
- аппаратура должна быть установлена на специальных основаниях (фундаментах) или штативах, не подвергающихся механическим (вибрация, деформация, сдвиги) и температурным воздействиям.
-
7 Проведение поверки
7.1 Внешний осмотр
При внешнем осмотре должно быть установлено соответствие аппаратуры следующим требованиям:
-
- отсутствие механических повреждений и других дефектов, влияющих на эксплуатационные и метрологические характеристики аппаратуры;
-
- наличие маркировки и комплектности, необходимой для проведения измерений, согласно требованиям эксплуатационной документации на аппаратуру.
Если хотя бы одно из перечисленных требований не выполняется, прибор признают непригодным к применению, дальнейшие операции поверки не производят.
7.2 Опробование
-
7.2.1 При опробовании должно быть установлено соответствие аппаратуры следующим требованиям:
-
- отсутствие качки и смещений неподвижно соединенных деталей и элементов аппаратуры:
-
- правильность взаимодействия с комплектом принадлежностей:
-
- работоспособность всех функциональных режимов.
-
7.2.2 Для идентификации номера версии МПО. установленного в аппаратуру, необходимо включить приемник, запустить ПО Survey Mobile вызвать меню «Приемник» касанием значка «ПРМ» в правой нижней части экрана. Номер версии МПО указан в третьей строке раздела «Общие» вкладки «Свойства»
Для идентификации номера версии:
-
- полевого ПО Survey Mobile - в главном меню программы выбрать пункт «О программе»;
-
- полевого ПО MobileMapper Field - в главном меню программы выбрать пункт «О программе»;
-
- офисного ПО Survey Office - во вкладке «Поддержка» выбрать пункт «О программе».
Номер версии и наименование программного обеспечения должны соответствовать данным, приведенным в таблице 3.
Таблица 3 - Идентификационные данные программного обеспечения
Идентификационные данные (признаки) |
Значение | |||
Наименование программного обеспечения |
МПО SP20 |
Survey Mobile |
MobileMapper Field |
Survey Office |
Идентификационное наименование ПО |
sp20_upgrade v3.67.tar |
Survey Mobil е- V2.3.0.1667.apk |
MobileMapper Field-3.1.9.apk |
SPSO_4_10 3 Full.exe |
Номер версии ПО. не ниже |
3.67 |
2.3 |
3.1.9 |
4.10 |
Цифровой идентификатор ПО |
4DB71F6B |
51A2B101 |
7F30B203 |
70E19264 |
Алгоритм вычисления цифрового идентификатора ПО |
CRC-32 |
Если хотя бы одно из перечисленных требований не выполняется, прибор признают непригодным к применению, дальнейшие операции поверки не производят.
7.3 Определение метрологических характеристик
7.3.1 Определение абсолютной погрешности и средней квадратической погрешности измерений длины базиса в режимах «Статика», «Быстрая статика»
Абсолютная и средняя квадратическая погрешности измерений длины базиса в режимах «Статика», «Быстрая статика» определяются путем многократных измерений (не менее 5) двух интервалов эталонного базисного комплекса или двух контрольных длин базиса, определённых фазовым светодальномером (тахеометром). 2 разряда в соответствии с Государственной поверочной схемой для координатно-временных средств измерений, утверждённой Приказом Госстандарта от 29.12.2018 г. № 2831 и действительные значения которых расположены в диапазоне от 0 до 30,0 км.
Установить аппаратуру над центрами пунктов базиса и привести спутниковые антенны к горизонтальной плоскости.
В качестве базовой станции использовать средство фазовых измерений приращения координат по сигналам ГНСС в диапазоне от 1,0 до 30,0 км с погрешностью измерений приращений координат в режиме «статика» не более:
-
- в плане (3+0.5-10'6D) мм;
-
- по высоте (5+0.5-lO^-D) мм,
где D - измеряемое расстояние в мм.
Измерить высоту' установки антенн аппаратуры с помощью рулетки.
Включить аппаратуру и настроить ее на сбор данных (измерений) в соответствующем режиме измерений согласно требованиям руководства по эксплуатации.
Убедиться в правильности функционирования и отсутствии помех приему сигнала со спутников.
Провести измерения на поверяемой аппаратуре при условиях, указанных в таблице 4 настоящей программы.
Выключить аппаратуру согласно требованиям руководства по эксплуатации.
При использовании контрольных длин базиса, ещё раз измерить эталонным дальномером их значения. Результат измерений не должен отличаться от значения Ljo, полученного до начала съёмки аппарату рой. более чем на величину погрешности, приписанную эталонному дальномеру. В случае если измеренная длина отличается от значения Ljo, полученного до начала съёмки аппаратурой, более чем на величину погрешности, необходимо повторить съёмку аппаратурой заново.
Провести обработку данных с использованием штатного ПО к аппаратуре.
Абсолютная погрешность измерений каждой длины базиса (при доверительной вероятности 0.95) определяется как сумма систематической и случайной погрешностей по формуле:

АС - погрешность измерений / длины базиса в плане/по высоте, мм:
L. - эталонное значение / длины базиса в плане/по высоте, мм:
Lj — измеренное поверяемой аппаратурой значение j длины базиса i измерением в плане/по высоте, мм;
nt - число измерений j длины базиса.
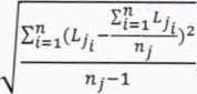
Средняя квадратическая погрешность измерений длины базиса определяется по формуле:
SiLjU'i Z-o)2

,где
in - средняя квадратическая погрешность измерений длины базиса.
Значения абсолютной (при доверительной вероятности 0.95) и средней квадратической погрешностей измерений для каждой длины базиса в режимах «Статика», «Быстрая статика» не должны превышать значений, приведенных в Приложении А к настоящей методике поверки.
Абсолютная погрешность измерений длины базиса для больших длин определяется по приращению координат замкнутой фигуры (треугольника), длины сторон которой находятся в диапазоне от 3,0 км до 30,0 км. в соответствии с п. 6.4. МИ 2408-97 «Аппаратура пользователей космических навигационных систем геодезическая. Методика поверки».
Следует последовательно устанавливать аппаратуру на пунктах, образующих треугольник и согласно руководству по эксплуатации выполнить измерения и вычислить приращения координат между пунктами.
Сумма приращений координат (невязка координат) не должна превышать значений, вычисленных по формуле:
ИбгJ(Д1ху.г)2 + (Д2ХУ,2)2 + (Дзх.у,2)2 ’
где WXiyiZ - невязка координат в плане/по высоте, мм:
^iXYZ - допустимые значения погрешности приращений координат для i стороны треугольника в плане/по высоте, мм. приведенных в Приложении А к настоящей методике поверки.
-
7.3.2 Определение абсолютной погрешности и средней квадратической погрешности измерений длины базиса в режимах «Кинематика», «Кинематика в реальном времени (RTK)»
Абсолютная и средняя квадратическая погрешности измерений длины базиса в режимах «Кинематика». «Кинематика в реальном времени (RTK)» определяются путем многократных измерений (не менее 10) интервала эталонного базисного комплекса или контрольной длины базиса, определённой фазовым светодальномером (тахеометром). 2 разряда в соответствии с Государственной поверочной схемой для координатно-временных средств измерений, утверждённой Приказом Госстандарта от 29.12.2018 г. № 2831 и действительное значение которого расположено в диапазоне от 0 до 30.0 км.
Установить аппаратуру над центрами пунктов базиса и привести спутниковые антенны к горизонтальной плоскости.
В качестве базовой станции использовать средство фазовых измерений приращения координат по сигналам ГНСС в диапазоне от 1.0 до 30,0 км с погрешностью измерений приращений координат в режиме «кинематика» не более:
-
- в плане (10+1 • 1 О’6D) мм;
-
- по высоте (15+110'6D) мм,
где D - измеряемое расстояние в мм.
Измерить высоту установки антенн аппаратуры с помощью рулетки.
Включить аппаратуру и настроить ее на сбор данных (измерений) в соответствующем режиме измерений согласно требованиям руководства по эксплуатации.
Убедиться в правильности функционирования и отсутствии помех приему сигнала со спутников.
Провести измерения на поверяемой аппаратуре при условиях, указанных в таблице 4 настоящей программы.
Выключить аппаратуру согласно требованиям руководства по эксплуатации.
При использовании контрольной длины базиса, ещё раз измерить эталонным дальномером её значения. Результат измерений не должен отличаться от значения LjQ. полученного до начала съёмки аппаратурой, более чем на величину погрешности, приписанную эталонному дальномеру. В случае если измеренная длина отличается от значения Ljq, полученного до начала съёмки аппаратурой, более чем на величину погрешности, необходимо повторить съёмку аппаратурой заново.
Провести обработку данных с использованием штатного ПО к аппаратуре.
Абсолютная погрешность измерений длины базиса (при доверительной вероятности 0.95) определяется как сумма систематической и случайной погрешностей по формуле:

АЛ, - погрешность измерений j длины базиса в плане/по высоте, мм:
L: - эталонное значение j длины базиса в плане/по высоте, мм;
L, - измеренное поверяемой аппаратурой значение j длины базиса / измерением в плане/по высоте, мм:
л, - число измерений j длины базиса.
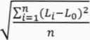
Средняя квадратическая погрешность измерений длины базиса определяется по формуле:

E?=1(Li-L0)2

т - средняя квадратическая погрешность измерений длины базиса.
Значения абсолютной (при доверительной вероятности 0.95) и средней квадратической погрешностей измерений длины базиса в режимах ««Кинематика». «Кинематика в реальном времени (RTK)» не должно превышать значения, приведенного в Приложении А к настоящей методике поверки.
Абсолютная погрешность измерений длины базиса для больших длин определяется по приращению координат замкнутой фигуры (треугольника), длины сторон которой находятся в диапазоне от 3 км до 30 км, в соответствии с п. 6.4. МИ 2408-97 «Аппаратура пользователей космических навигационных систем геодезическая. Методика поверки».
Следует последовательно устанавливать аппаратуру на пунктах, образующих треугольник и согласно руководству по эксплуатации выполнить измерения и вычислить приращения координат между пунктами.
Сумма приращений координат (невязка координат) не должна превышать значений, вычисленных по формуле:
WX.Y,Z - J(AlX.y.z)2 + (Д2Х,Г<2)2 + (Д3Х,У>2)2 >
где WX Y'Z ~ невязка координат в плане/по высоте, мм:
&iXYZ ‘ Допустимые значения погрешности приращений координат для i стороны треугольника в плане/по высоте, мм. приведенных в Приложении А к настоящей методике поверки.
7.3.3 Определение абсолютной погрешности и средней квадратической погрешности измерений длины базиса в режиме «Дифференциальные кодовые измерения (dGNSS)»
Абсолютная и средняя квадратическая погрешности измерений длины базиса в режиме «Дифференциальные кодовые измерения (dGNSS)» определяются путем многократных измерений (не менее 10) интервала эталонного базисного комплекса или контрольной длины базиса, определённой фазовым светодальномером (тахеометром), 2 разряда в соответствии с Государственной поверочной схемой для координатно-временных средств измерений, утверждённой Приказом Росстандарта от 29.12.2018 г. №2831 и действительное значение которого расположено в диапазоне от 0 до 30.0 км.
Установить аппаратуру над центрами пунктов базиса и привести спутниковые антенны к горизонтальной плоскости.
В качестве базовой станции использовать средство фазовых измерений приращения координат по сигналам ГНСС в диапазоне от 1,0 до 30,0 км с погрешностью измерений приращений координат в режиме «dGNSS» не более:
-
- в плане (250+Г10’6Э) мм;
-
- по высоте (500+1-10’6-D) мм.
где D - измеряемое расстояние в мм.
Измерить высоту установки антенн аппаратуры с помощью рулетки.
Включить аппаратуру’ и настроить ее на сбор данных (измерений) в соответствующем режиме измерений согласно требованиям руководства по эксплуатации.
Убедиться в правильности функционирования и отсутствии помех приему сигнала со спутников.
Провести измерения на поверяемой аппаратуре при условиях, указанных в таблице 4 настоящей программы.
Выключить аппаратуру согласно требованиям руководства по эксплуатации.
Ещё раз измерить эталонным тахеометром длину базиса. Результат измерений не должен отличаться от значения Lo, полученного до начала съёмки аппаратурой, более чем на величину погрешности, приписанную эталонному тахеометру. В случае если измеренная длина базиса отличается от значения Lo. полученного до начала съёмки аппарату рой. более чем на величину погрешности, приписанную эталонному тахеометру, повторить съёмку аппаратурой заново.
Провести обработку данных с использованием штатного ПО к аппаратуре.
Абсолютная погрешность измерений длины базиса (при доверительной вероятности 0.95) определяется как сумма систематической и случайной погрешностей по формуле:

ALj - погрешность измерений j длины базиса в плане/по высоте, мм:
LJo - эталонное значение j длины базиса в плане/по высоте, мм:
Lj. - измеренное поверяемой аппаратурой значение j длины базиса i измерением в плане/по высоте, мм:
Tij - число измерений / длины базиса.
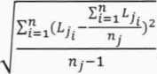
Средняя квадратическая погрешность измерений длины базиса определяется по формуле:
Ьо)2
п
где
т - средняя квадратическая погрешность измерений длины базисаЗначения абсолютной (при доверительной вероятности 0.95) и средней квадратической погрешностей измерений длины базиса в режиме «Дифференциальные кодовые измерения (dGNSS)» не должны превышать значений, указанных в Приложении А к настоящей методике поверки.
Абсолютная погрешность измерений длины базиса для больших длин определяется по приращению координат замкнутой фигуры (треугольника), длины сторон которой находятся в диапазоне от 3.0 км до 30.0 км. в соответствии с п. 6.4. МИ 2408-97 «Аппаратура пользователей космических навигационных систем геодезическая. Методика поверки».
Следует последовательно устанавливать аппаратуру на пунктах, образующих треугольник и согласно руководству по эксплуатации выполнить измерения и вычислить приращения координат между пунктами.
Сумма приращений координат (невязка координат) не должна превышать значений, вычисленных по формуле:
= J(A1X,^)2 + (W* + (Дзху.г)2 .
9
где WXiYiZ ~ невязка координат в плане/по высоте, мм:
AixYZ - допустимые значения погрешности приращений координат для i стороны треугольника в плане/по высоте, мм. приведенных в Приложении А к настоящей методике поверки.
7.3.4 Определение абсолютной и средней квадратической погрешностей определения координат в режиме «Автономный»
Определение абсолютной погрешности и средней квадратической погрешности определения координат режиме «Автономный» определяется с помощью имитатора сигналов космических навигационных систем ГЛОНАСС/GPS. Измерения следует выполнять в соответствии с руководством по эксплуатации при моделировании имитатором сигналов условий (сценария) неподвижности аппаратуры.
Собрать схему измерений с имитатором сигналов в соответствии с рисунком 1:

Рисунок 1 - Схема измерений
-
1 - переизлучающая антенна:
-
2 - экранированная камера (из состава имитатора сигналов)
Составить сценарий имитации с параметрами, приведенными в таблице 4. Отслеживать значение геометрического фактора PDOP (не должно превышать 4).
Таблица 4
Наименование параметра имитации |
Значение параметра имитации |
Формируемые спутниковые навигационные сигналы |
ГЛОНАСС и GPS (код С/А без SA) |
Продолжительность |
120 мин. |
Количество каналов: ГЛОНАСС GPS |
8 8 |
Параметры среды распространения навигационных сигналов: тропосфера ионосфера |
отсутствует присутствует |
Координаты в системе координат WGS-84:
|
60°00'000000 N 030°00'000000 Е 100.00 18,00 |
Запустить сценарий имитации.
Включить образцы аппаратуры и настроить их на сбор данных (измерений) в необходимом режиме согласно требованиям руководства по эксплуатации. Настроить образцы аппаратуры на выдачу результатов измерений в протоколе NMEA. Осуществить запись измерений в формате NMEA сообщений с частотой 1 Гц в течение 120 минут, при условиях, указанных в таблице 5.
Выключить аппаратуру согласно требованиям руководства по эксплуатации.
Провести постобработку’ собранных данных с помощью прикладного ПО на ПК. Абсолютная погрешность измерения вычисляется как сумма систематической и случайной погрешности по выражению:

A v} н - погрешность измерений координат X. Y. Н. мм:
50л., н - эталонные значения координат X, Y, Н задаваемые имитатором сигналов, мм:
Siv - измеренные аппаратурой значения координат X. Y. Н. мм:
пх; н - число измерений координат X, Y Н.
Примечание.
X,Y - прямоугольные координаты, полученные преобразованием сферических координат (широта, долгота.) по алгоритму ГОСТ Р 51~94-2008 «Системы координат. Методы преобразовании координат определяемых точек»
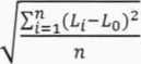
Средняя квадратическая погрешность определения координат на неподвижном основании определяется по формуле:

где т - средняя квадратическая погрешность измерений координат.
Значения абсолютной погрешности (при доверительной вероятности 0.95) и средней квадратической погрешности определения координат в режиме «Автономный» не должно превышать значений, указанных в Приложении А к настоящей методике поверки.
Таблица 5
Режим измерен и й |
Количество спутников, шт. |
Время измерений, мин |
Интервал между эпохами, с. |
Статика. Быстрая статика. Trimble CenterPoint RTX-PP |
>6 |
от 20 до 60 |
1 |
Кинематика. Кинематика в реальном времени (RTK), Дифференциальные кодовые измерения (dGNSS) |
от 0.05 до 0.20* | ||
Измерение координат на неподвижном основании (автономный режим) |
120 | ||
Поверка проводится при устойчивом закреплении поверяемой аппаратуры, открытом небосводе, отсутствии электромагнитных помех и многолучевого распространения сигнала спутников, а также при хорошей конфигурации спутниковых группировок. * - после выполнения инициализации или достижения сходимости |
8 Оформление результатов поверки
-
8.1. Результаты поверки оформляются протоколом, составленным в виде сводной таблицы результатов поверки по каждому пункту раздела 7 настоящей методики поверки с указанием числовых значений результатов измерений и их оценки по сравнению с допускаемыми значениями.
-
8.2. При положительных результатах поверки аппаратура признается годной к применению и оформляют свидетельство о поверке установленной формы. Знак поверки наносится на свидетельство о поверке в виде наклейки и (или) поверительного клейма.
-
8.3. При отрицательных результатах поверки аппаратура признается непригодной к применению и оформляют извещение о непригодности установленной формы с указанием основных причин.
-
8.4 В случае применения аппаратуры для работ, не требующих использования всех режимов измерений при периодической поверке по письменному заявлению владельца СИ допускается поверка аппаратуры по сокращенному числу режимов измерений с обязательным указанием в «Свидетельстве о поверке» информации об объеме проведенной поверки.
Руководитель отдела ООО «Автопрогресс - М»

К.А. Ревин
(Обязательное)
Метрологические характеристикиТаблица А.1 - Метрологические характеристики
Наименование характеристики |
Значение |
Диапазон измерений длин базисов, м Границы допускаемой абсолютной погрешности измерений длины |
от 0 до 30000 |
базис (при доверительной вероятности 0.95). мм. в режимах: - «Статика». «Быстрая статика»:
|
±2 (3,о+0.5-1 о-6-di ±2 ■ (5.0 + 0.5-10-6-D) ±2 • (10.0 + МО"6-D) ±2-(15,0+ 1-10-*’-D) ±2 • (250.0 + 1-Ю"6-D) ±2 • (500,0 + 1-10"6- D) |
Границы допускаемой абсолютной погрешности измерения |
координат (при доверительной вероятности 0.95). мм. в режиме - «Автономный»:
|
±9000 ±15000 |
Допускаемая средняя квадратическая погрешность измерений длины базиса, мм. в режимах:
- «Статика». «Быстрая статика»:
- «Кинематика». «Кинематика в реальном времени (RTK)»: |
3,0+ 0.5-1 О’6- D 5,0+ 0.5-1 О’6- D |
- «Дифференциальные кодовые измерения (dGNSS)»: |
10,0+ 1-Ю'6- D 15,0+ 1-10'6 - D |
|
250.0+ l-lO^-D 500.0+ 1-Ю’6- D |
Допускаемая средняя квадратическая погрешность измерения |
координат, мм. в режиме:
- «Автономный»:
|
4500 7500 |
где D - длина измеряемого базиса в мм
12