Методика поверки «Аппаратура геодезическая спутниковая Trimble Geo7X» ( МП АПМ 43-17)
УТВЕРЖДАЮ
Генеральный директор ООО «Автопрогресс-М»

Аппаратура геодезическая спутниковая Trimble Geo7X
Методика поверки
МП АПМ 43-17 г. Москва,
2017 г.
Настоящая методика поверки распространяется на аппаратуру геодезическую спутниковую Trimble Geo 7Х (далее - аппаратура), производства «Trimble Inc.», США и устанавливает методику её первичной и периодической поверки.
Интервал между поверками - 1 год.
1. Операции поверкиПри проведении поверки должны выполняться операции, указанные в таблице 1.
Таблица 1.
№№ пункта |
Наименование операции |
Проведение операций при | |
первичной поверке |
периодической поверке | ||
7.1 |
Внешний осмотр |
Да |
Да |
7.2 |
Опробование |
Да |
Да |
7.3 |
Определение абсолютной и средней квадратической погрешностей измерений длины базиса в режимах «Статика», «Быстрая статика» |
Да |
Да |
7.4 |
Определение абсолютной и средней квадратической погрешностей измерений длины базиса в режимах «Кинематика», «Кинематика в реальном времени (RTK)» |
Да |
Да |
7.5 |
Определение абсолютной и средней квадратической погрешностей измерений длины базиса в режиме «Дифференциальные кодовые измерения (dGNSS)» |
Да |
Да |
7.6 |
Определение абсолютной и средней квадратической погрешностей определения координат в режиме «Навигационный » |
Да |
Да |
7.7 |
Определение абсолютной и средней квадратической погрешностей измерений расстояний |
Да |
Да |
При проведении поверки должны применяться эталоны, приведённые в таблице 2.
Таблица 2.
№ пункта документа по поверке |
Наименование эталонов и их основные метрологические и технические характеристики |
7.1 |
Эталоны не применяются |
7.2 |
Эталоны не применяются |
7.3-7.5, 7,7 |
Тахеометр электронный 1-го разряда по ГОСТ Р 8.750-2011; Эталонный линейный базис по ГОСТ 8.503; Рулетка РЗНЗК по ГОСТ 7502-98. |
7.6 |
Имитатор сигналов СН-3803М, Госреестр № 54309-13, пределы среднего квадратического отклонения случайной составляющей основной погрешности формирования беззапросной дальности до спутников глобальных навигационных систем ГЛОНАСС и GPS:
|
Допускается применять другие средства поверки, обеспечивающие определение метрологических характеристик с точностью, удовлетворяющей требованиям настоящей методики поверки.
3. Требования к квалификации поверителейК проведению поверки допускаются лица, изучившие эксплуатационные документы на аппаратуру, имеющие достаточные знания и опыт работы с ней.
4. Требования безопасностиПри проведении поверки, меры безопасности должны соответствовать требованиям по технике безопасности согласно эксплуатационной документации на аппаратуру, поверочное оборудование, правилам по технике безопасности, которые действуют на месте проведения поверки и правилам по технике безопасности при производстве топографо-геодезических работ ПТБ-88 (Утверждены коллегией ГУГК при СМ СССР 09.02.1989 г., № 2/21).
5. Условия проведения поверкиПри проведении поверки в должны соблюдаться следующие нормальные условия измерений:
-
- температура окружающей среды, °C......................................... (20±5)
-
- относительная влажность воздуха, %........................................ не более 80
-
- атмосферное давление, кПа (мм рт.ст.)..................................84,0..106,7 (630..800)
-
- изменение температуры окружающей среды во время измерений, °С/ч ....не более 2
Полевые измерения (измерения на открытом воздухе) должны проводиться при отсутствии осадков, порывов ветра и при температуре окружающей среды в диапазоне, указанном в приложении 1 к настоящей методике.
6. Подготовка к поверкеПеред проведением поверки должны быть выполнены следующие подготовительные работы:
-
- проверить наличие действующих свидетельств о поверке на средства поверки;
-
- аппаратуру и средства поверки привести в рабочее состояние в соответствии с их эксплуатационной документацией;
-
- аппаратура должна быть установлена на специальных основаниях (фундаментах) или штативах, не подвергающихся механическим (вибрация, деформация, сдвиги) и температурным воздействиям.
-
7. Проведение поверки
При внешнем осмотре должно быть установлено соответствие аппаратуры следующим требованиям:
-
- отсутствие коррозии, механических повреждений и других дефектов, влияющих на эксплуатационные и метрологические характеристики аппаратуры;
-
- наличие маркировки и комплектности согласно требованиям эксплуатационной документации на аппаратуру.
При опробовании должно быть установлено соответствие аппаратуры следующим требованиям:
-
- отсутствие качки и смещений неподвижно соединенных деталей и элементов аппаратуры;
-
- правильность взаимодействия с комплектом принадлежностей;
-
- работоспособность всех функциональных режимов;
-
- идентификационные данные программного обеспечения (далее - ПО) должны соответствовать данным, приведённым в таблицах 3 и 4.
Таблица 3 - Идентификационные данные программного обеспечения
Идентификационное наименование ПО |
МПО |
Trimble Access | |
Номер версии (идентификационный номер ПО), не ниже |
4.12.2° |
4.952) |
2015.22 |
Цифровой идентификатор ПО |
6B4C5CDB |
0E1FEEBA |
663АЕ71Е |
Алгоритм вычисления цифрового идентификатора ПО |
CRC32 |
CRC32 |
CRC32 |
- при работе с ПО «Trimble Access» 2) - при работе с ПО «Trimble Access» |
Таблица 4 - Идентификационные данные программного обеспечения
Идентификационное наименование ПО |
Trimble TerraSync |
Trimble Business Center |
Trimble GPS Pathfinder Office |
Номер версии (идентификационный номер ПО), не ниже |
5.80 |
3.61 |
5.80 |
Цифровой идентификатор ПО |
612D3FF4 |
25CE30E3 |
02246263 |
Алгоритм вычисления цифрового идентификатора ПО |
CRC-32 |
CRC32 |
CRC-32 |
Для идентификации МИО необходимо нажать экранную кнопку «Пуск» и последовательно нажав значки «Параметры», «Система» и «Сведения о системе».
Для идентификации ПО «Trimble Access», установленного в приемник, необходимо в полевом ПО Trimble Access, в модуле «Съемка», в меню «Инструмент» выбрать «Параметры приемника».
Для идентификации ПО «Trimble TerraSync», установленного на ПК или контроллере, следует запустить ПО - номер версии высвечивается при запуске программы. В качестве альтернативы, в главном меню программы выбрать раздел «Статус», затем выбрать пункт «О программе».
Для идентификации ПО «Trimble Business Center», установленного на ПК, необходимо запустить ПО - номер версии высвечивается при запуске программы. В качестве альтернативы, в главном экране «Trimble Business Center» выбрать вкладку «Поддержка», затем выбрать пункт «О программе Trimble Business Center».
Для идентификации ПО «Trimble GPS Pathfinder Office», установленного на ПК, необходимо запустить ПО - номер версии высвечивается при запуске программы. В качестве альтернативы, в главном меню программы выбрать раздел «Помощь», затем выбрать пункт «О программе».
7.3. Определение абсолютной и средней квадратической погрешностей измерений длины базиса в режимах «Статика», «Быстрая статика»Абсолютная и средняя квадратическая погрешности измерений длины базиса в режимах «Статика», «Быстрая статика» определяются путем многократных измерений (не менее 5) двух контрольных длин базиса, действительные значения которых расположены в диапазоне от 0,1 до 3,0 км и определены электронным тахеометром 1 разряда по ГОСТ Р 8.750-2011.
Установить поверяемую аппаратуру над центрами пунктов базиса и привести ее спутниковые антенны к горизонтальной плоскости.
Измерить высоту установки антенн аппаратуры с помощью рулетки.
Включить аппаратуру и настроить ее на сбор данных (измерений) в соответствующем режиме измерений согласно требованиям руководства по эксплуатации.
Убедиться в правильности функционирования и отсутствии помех приему сигнала со спутников.
Провести измерения на поверяемой аппаратуре при условиях, указанных в таблице 6 настоящей методики.
Выключить аппаратуру согласно требованиям руководства по эксплуатации и провести обработку данных с использованием штатного ПО к аппаратуре.
Ещё раз измерить эталонным тахеометром длину базиса. Результат измерений не должен отличаться от значения Lj , полученного до начала съёмки аппаратурой, более чем на величину погрешности, приписанную эталонном тахеометру. В случае если измеренная длина базиса отличается от значения Lj, полученного до начала съёмки аппаратурой, более чем на величину погрешности, приписанную эталонном тахеометру, повторить съёмку аппаратурой заново.
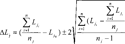
Абсолютная погрешность измерений каждой длины базиса (при доверительной вероятности 0,95) определяется как сумма систематической и случайной погрешностей по формуле:


где - погрешность измерений j длины базиса в плане/по высоте, мм;
LJa - эталонное значение j длины базиса в плане/по высоте, мм;
Lj - измеренное поверяемой аппаратурой значение j длины базиса i измерением в плане/по высоте, мм;
п} - число измерений j длины базиса.
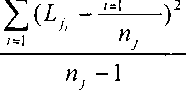
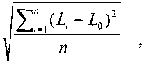
Средняя квадратическая погрешность измерений каждой длины базиса определяется по
формуле:
т

где т} - средняя квадратическая погрешность измерений j длины базиса.
Значения абсолютной погрешности (при доверительной вероятности 0,95) и средней квадратической погрешности измерений для каждой длины базиса в режимах «Статика», «Быстрая статика» должны соответствовать значениям, приведенным в Приложении 1 к настоящей методике поверки.
7.4. Определение абсолютной и средней квадратической погрешностей измерений длины базиса в режимах «Кинематика», «Кинематика в реальном времени (RTK)»Абсолютная и средняя квадратическая погрешности измерений длины базиса в режимах «Кинематика», «Кинематика в реальном времени (RTK)» определяются не менее чем 10-и кратным измерением контрольной длины базиса, действительное значения которой расположено в диапазоне от 0,1 до 3,0 км и определено электронным тахеометром 1 разряда по ГОСТ Р 8.750-2011.
Установить поверяемую аппаратуру над центрами пунктов базиса и привести ее спутниковые антенны к горизонтальной плоскости.
Измерить высоту установки антенн аппаратуры с помощью рулетки.
Включить аппаратуру и настроить ее на сбор данных (измерений) в соответствующем режиме измерений согласно требования руководства по эксплуатации.
Измерить высоту установки антенн аппаратуры с помощью рулетки.
Убедиться в правильности функционирования и отсутствии помех приему сигнала со спутников.
Провести измерения на поверяемой аппаратуре при условиях, указанных в таблице 6 настоящей методики.
Выключить аппаратуру согласно требованиям руководства по эксплуатации.
Ещё раз измерить эталонным тахеометром длину базиса. Результат измерений не должен отличаться от значения Zo, полученного до начала съёмки аппаратурой, более чем на величину погрешности, приписанную эталонном тахеометру. В случае если измеренная длина базиса отличается от значения Lo, полученного до начала съёмки аппаратурой, более чем на величину погрешности, приписанную эталонном тахеометру, повторить съёмку аппаратурой заново.
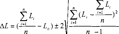
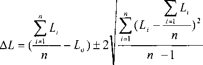
Абсолютная погрешность измерений длины базиса (при доверительной вероятности 0,95) определяется как сумма систематической и случайной погрешностей по формуле:
п

где AZ - погрешность измерений длины базиса в плане/по высоте, мм;
Ео - эталонное значение длины базиса в плане/по высоте, мм;
£, - измеренное аппаратурой значение длины базиса i измерением в плане/по высоте, мм;
п - число измерений длины базиса.
Средняя квадратическая погрешность измерений длины базиса определяется по формуле:
U п
где т - средняя квадратическая погрешность измерений длины базиса.
Значения абсолютной погрешности (при доверительной вероятности 0,95) и средней квадратической погрешности измерений длины базиса в режимах «Кинематика», «Кинематика в реальном времени (RTK)» должны соответствовать значениям, приведенным в Приложении 1 к настоящей методике поверки.
7.5. Определение абсолютной и средней квадратической погрешностей измерений длины базиса в режиме «Дифференциальные кодовые измерения (dGNSS)»Абсолютная и средняя квадратическая погрешности измерений длины базиса в режиме «Дифференциальные кодовые измерения (dGNSS)» определяется не менее чем 10-и кратным измерением контрольной длины базиса, действительное значения которой расположено в диапазоне от 0,1 до 3,0 км и определено электронным тахеометром 1 разряда по ГОСТ Р 8.750-2011.
Установить поверяемую аппаратуру над центрами пунктов базиса и привести ее спутниковые антенны к горизонтальной плоскости.
Измерить высоту установки антенн аппаратуры с помощью рулетки.
Включить аппаратуру и настроить ее на сбор данных (измерений) в соответствующем режиме измерений согласно требования руководства по эксплуатации.
Убедиться в правильности функционирования и отсутствии помех приему сигнала со спутников.
Провести измерения на поверяемой аппаратуре при условиях, указанных в таблице 6 настоящей методики.
Выключить аппаратуру согласно требованиям руководства по эксплуатации.
Ещё раз измерить эталонным тахеометром длину базиса. Результат измерений не должен отличаться от значения Zo, полученного до начала съёмки аппаратурой, более чем на величину погрешности, приписанную эталонному тахеометру. В случае если измеренная длина базиса отличается от значения Lo, полученного до начала съёмки аппаратурой, более чем на величину погрешности, приписанную эталонному тахеометру, повторить съёмку аппаратурой заново.
Абсолютная погрешность измерений длины базиса (при доверительной вероятности 0,95) определяется как сумма систематической и случайной погрешностей по формуле:
п

где |
АГ - погрешность измерений длины базиса в плане/по высоте, мм; £0 - эталонное значение длины базиса в плане/по высоте, мм; Г, - измеренное аппаратурой значение длины базиса i измерением в плане/по |
высоте, мм; |
п - число измерений длины базиса. |
Средняя квадратическая погрешность измерений длины базиса определяется по формуле:
т

Значения абсолютной погрешности (при доверительной вероятности 0,95) и средней квадратической погрешности измерений длины базиса в режиме «Дифференциальные кодовые измерения (dGNSS)» должны соответствовать значениям, приведенным в Приложении 1 к настоящей методике поверки.
7.6. Определение абсолютной и средней квадратической погрешностей определения координат в режиме «Навигационный»Абсолютная и средняя квадратическая погрешности определения координат в режиме «Навигационный» определяются с помощью имитатора сигналов космических навигационных систем ГЛОНАСС/GPS. Измерения следует выполнять в соответствии с руководством по эксплуатации при моделировании имитатором сигналов условий (сценария) неподвижности аппаратуры.
Собрать схему измерений с имитатором сигналов в соответствии с рисунком 1:

Рисунок 1 - Схема измерений
-
1 - переизлучающая антенна;
-
2 - экранированная камера (из состава имитатора сигналов)
Составить сценарий имитации с параметрами, приведенными в таблице 5. Отслеживать
значение геометрического фактора PDOP (не должно превышать 4).
Таблица 5 _____________________________________________
Наименование параметра имитации |
Значение параметра имитации |
Формируемые спутниковые навигационные сигналы |
ГЛОНАСС и GPS (код С/А без SA) |
Продолжительность |
120 мин. |
Количество каналов: ГЛОНАСС GPS |
8 8 |
Параметры среды распространения навигационных сигналов: тропосфера ионосфера |
отсутствует присутствует |
Координаты в системе координат WGS-84:
|
60°00'000000 N 030°00'000000 Е 100,00 18,00 |
Запустить сценарий имитации.
Включить образцы аппаратуры и настроить их на сбор данных (измерений) в режиме «Навигационный» согласно требованиям руководства по эксплуатации. Настроить образцы аппаратуры на выдачу результатов измерений в протоколе NMEA. Осуществить запись измерений в формате NMEA сообщений с частотой 1 Гц в течение 120 минут, при условиях, указанных в таблице 6.
Выключить аппаратуру согласно требованиям руководства по эксплуатации.
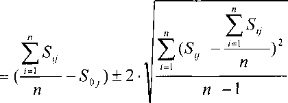
Провести постобработку собранных данных с помощью прикладного ПО на ПК. Абсолютная погрешность измерения вычисляется как сумма систематической и случайной погрешности по выражению:

где Av Y н - погрешность измерений координат X, Y, Н, мм;
Sox y н ' эталонные значения координат X, Y, Н задаваемые имитатором сигналов, мм;
St - измеренные аппаратурой значения координат X, Y, Н, мм;
пх у и " числ° измерений координат X, Y Н.
Примечание.
X,Y - прямоугольные координаты, полученные преобразованием сферических координат (широта, долгота,) по алгоритму ГОСТ Р 51794-2001 «Системы координат. Методы преобразований координат определяемых точек»
Значения абсолютной погрешности (при доверительной вероятности 0,95) и средней квадратической погрешности определения координат в режиме «Навигационный» должны соответствовать значениям, приведенным в Приложении 1 к настоящей методике поверки.
Таблица 6
Режим измерений |
Кол-во спутников, шт |
Время измерений, мин |
Интервал между эпохами, с |
Статика |
>6 |
30-60 |
1 |
Быстрая статика |
5-15 | ||
Кинематика |
0,05-0,20 | ||
Кинематика в реальном времени (RTK) | |||
Дифференциальные кодовые измерения (dGNSS)» | |||
«Навигационный » |
120 |
Поверка проводится при устойчивом закреплении аппаратуры над пунктами, открытом небосводе, отсутствии электромагнитных помех и многолучевого распространения сигналов спутников, а также при хорошей конфигурации спутниковых группировок.
7.6. Определение абсолютной и средней квадратической погрешностей измерений расстоянийАбсолютная и средняя квадратическая погрешности измерений расстояний определяется путем сличения с эталонным светдальномером (тахеометром) 1го разряда. Необходимо провести многократно, не менее 10 раз, измерения не менее 3 значений расстояний, действительные длины которых равномерно расположены в заявляемом диапазоне измерений расстояний, включая близкое к минимальному и максимальное значение измерений расстояний, поверяемого дальномера.
Измерения проводить в следующей последовательности:
- на одном уровне на двух штативах установить эталонный светодальномер (тахеометр) 1го разряда и пластину белого цвета (с коэффициентом диффузного отражения 0,90) и измерить расстояние;
-
- при помощи центрира тахеометра поставить метку на поверхности, на которой установлен штатив (например, для асфальта - вбить дюбель);
-
- измерить расстояние от поверхности, на которой установлен штатив, до начальной точки дальномера тахеометра (перекрестие на боковой панели тахеометра).
- на место штатива с тахеометром установить штатив с дальномером и отцентрировать его по оставленной ранее метке. Высота, на которой расположен дальномер, должна соответствовать ранее измеренной высоте тахеометра.
Вышеуказанные операции провести для всех значений расстояний.
Аналогичные измерения провести на пластину серого цвета (с коэффициентом диффузного отражения 0,18) и на отражающую пластину.
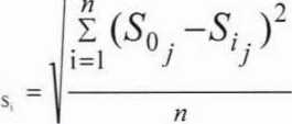
Абсолютная погрешность измерений расстояний (при доверительной вероятности 0,95) определяется по формуле:
AS

где AS - абсолютная погрешность измерений j-го расстояния при i-ом приеме, мм;
Soj - эталонное (действительное) значение j-го расстояния, мм; S z j - измеренное значение j-го расстояния i-м приемом, мм;
п - число приемов измерений j-ого расстояния.
СКП измерений расстояний вычисляется по формуле:

где msi - СКП измерений j-ого расстояния, мм.
Значения абсолютной погрешности (при доверительной вероятности 0,95) и средней квадратической погрешности измерений должны соответствовать значениям, приведенным в Приложении 1 к настоящей методике поверки.
8. Оформление результатов поверки-
8.1. Результаты поверки оформляются протоколом, составленным в виде сводной таблицы результатов поверки по каждому пункту раздела 8 настоящей методики поверки с указанием числовых значений результатов измерений и их оценки по сравнению с допускаемыми значениями.
Рекомендуемый образец протокола поверки приведен в Приложении 2.
-
8.2. При положительных результатах поверки аппаратура признается годной к применению, и на неё выдается свидетельство о поверке установленной формы с указанием фактических результатов определения метрологических характеристик. Знак поверки наносится на свидетельство о поверке в виде наклейки, и (или) оттиска поверительного клейма.
-
8.3. При отрицательных результатах поверки аппаратура признается непригодной к применению, и на неё выдается извещение о непригодности установленной формы с указанием основных причин.
Руководитель отдела ООО «Автопрогресс - М»

Приложение 1 (обязательное)
Метрологические характеристики
Наименование характеристики |
Значение |
Границы допускаемой абсолютной погрешности измерений длины базиса1) (при доверительной вероятности 0,95), мм, в режимах: - «Статика», «Быстрая статика»2)’4);
|
±2-(3,0+0,5-10'6-D) ±2-(5,0+0,5-10'6-D) |
- «Кинематика»2)’4):
|
±2-(10+ri0‘6-D) ±2-(15+ri0‘6-D) |
- «Кинематика в реальном времени (RTK)»2):
|
±2-(10+ri0‘6-D) ±2-(15+riO‘6-D) ±2-(15±2-10‘6-D) |
|
±2-(250+ri0'6-D) ±2-(750+ri0‘6-D) ±2-(500+ri0‘6-D), где D - измеряемое расстояние в мм |
Границы допускаемой абсолютной погрешности измерений координат (при доверительной вероятности 0,95), мм, в режиме - «Навигационный»3);
|
±9000 ±15000 |
Допускаемая средняя квадратическая погрешность измерений длины базиса1), мм, в режимах: - «Статика», «Быстрая статика»2)’4);
|
3,0±0,5-10'6-D 5,0±0,5-10‘6-D |
- «Кинематика»2)’4):
|
10±ri0‘6-D 15±l-10-6-D |
- «Кинематика в реальном времени (RTK)»2):
|
10±ri0’6-D 15±l-10-6-D 15±2-10‘6-D |
|
250±ri0‘6-D 750±ri0'6-D 500±ri0‘6-D, где D - измеряемое расстояние в мм |
Допускаемая средняя квадратическая погрешность измерений координат, мм, в режиме3); - «Навигационный»:
|
4500 7500 |
Наименование характеристики |
Значение |
Диапазон измерений расстояний с помощью встроенного лазерного дальномера, м
|
от 3,0 до 50,0 от 3,0 до 120,0 от 3,0 до 200,0 |
Границы допускаемой абсолютной погрешности измерений расстояний (при доверительной вероятности 0,95), мм |
±100 |
Допускаемая средняя квадратическая погрешность измерений расстояний, мм |
50 |
- при длине базиса от 0 до 30 км
|
Основные технические характеристики
Наименование характеристики |
Значение |
Тип приёмника |
Многочастотный, многосистемный |
Тип антенны |
Встроенная или внешняя, типа Trimble Tempest, Tornado, Zephyr мод. 2 и Zephyr мод. 3 |
Количество каналов |
142!)/2202) |
Класс опасности лазерного излучения по ГОСТ 31581-2012 |
2 |
Длина волны лазерного излучения, мкм |
0,655 |
Мощность лазерного излучения, мВт, не более |
0,7 |
Диапазон рабочих температур, °C |
от -20 до +60 |
Напряжение источника питания постоянного тока, В
|
15,0 11,1 |
Габаритные размеры (ВхШ*Г), мм, не более |
234x99x56 |
Масса, кг, не более |
1,08 |
при работе с ПО «Trimble Access» 2) - при работе с ПО «Trimble TerraSync» |
ПРОТОКОЛ№
Тип прибора: заводской номер Условия поверки: Методика поверки: Средства поверки______________________________________________________________________
Наименование средств поверки, основные метрологические характеристики
Внешний осмотр:
№ |
Наименование операции |
Результаты поверки |
1. |
Проверка наличия правильной маркировки на приборе и футляре | |
2. |
Проверка комплектности | |
3. |
Проверка отсутствия (наличия) механических повреждений | |
4. |
Проверка отсутствия (наличия) коррозии |
Опробование:
№ |
Наименование операции |
Результаты поверки |
1. |
отсутствие качки и смещений неподвижно соединенных деталей и элементов аппаратуры | |
2. |
правильность взаимодействия с комплектом принадлежностей | |
3. |
работоспособность всех функциональных режимов | |
4. |
наименование ПО, номер его версии |
Метрологические характеристики:
№ |
Наименование характеристики |
Базис |
Значение параметра |
Результаты поверки | |||
Определенное |
Допустимое | ||||||
план |
высота |
план |
высота | ||||
1. |
СКП измерений в режиме «статика», мм |
№1 | |||||
№2 | |||||||
2. |
СКП измерений в режиме «быстрая статика», мм |
№1 | |||||
№2 | |||||||
о J. |
СКП измерений в режиме «кинематика», мм |
№1 | |||||
4. |
СКП измерений в режиме «кинематика RTK», мм | ||||||
5. |
СКП измерений в режиме «Дифференциальные кодовые измерения (dGNSS)», мм | ||||||
6. |
СКП измерений в режиме «Навигационный», мм | ||||||
7. |
СКП измерений расстояний, мм
|
Результаты поверки в режиме «Статика»:
Измерение длины базиса № 1 | ||||||
№ изм. |
Значение длины базиса в плане, мм |
Результат измерений длины базиса в плане, мм |
Погрешность измерений длины базиса в плане, мм |
Значение длины базиса по высоте, мм |
Результат измерений длины базиса по высоте, мм |
Погрешность измерений длины базиса по высоте, мм |
1 | ||||||
2 | ||||||
3 | ||||||
4 | ||||||
5 | ||||||
Среднее значение |
- |
Среднее значение |
- | |||
Сист. составляющая |
- |
Сист. составляющая |
- | |||
Случ. составляющая (2о) |
- |
Случ. составляющая (2о) |
- | |||
Абсолютная погрешность, мм |
- |
Абсолютная погрешность, мм |
- | |||
Заявляемое значение абс. погреш., не более, мм |
- |
Заявляемое значение абс. погреш., не более, мм |
- | |||
СКП, мм |
- |
СКП, мм |
- | |||
Заявляемое значение СКП, не более, мм |
- |
Заявляемое значение СКП, не более, мм |
- |
Измерение длины базиса № 2 | ||||||
№ изм. |
Значение длины базиса в плане, мм |
Результат измерений длины базиса в плане, мм |
Погрешность измерений длины базиса в плане, мм |
Значение длины базиса по высоте, мм |
Результат измерений длины базиса по высоте, мм |
Погрешность измерений длины базиса по высоте, мм |
1 | ||||||
2 | ||||||
3 | ||||||
4 | ||||||
5 | ||||||
Среднее значение |
- |
Среднее значение |
- | |||
Сист. составляющая |
- |
Сист.составляющая |
- | |||
Случ. составляющая (2сг) |
- |
Случ. составляющая (2о) |
- | |||
Абсолютная погрешность, мм |
- |
Абсолютная погрешность, мм |
- | |||
Заявляемое значение абс. погреш., не более, мм |
- |
Заявляемое значение абс. погреш., не более, мм |
- | |||
СКП, мм |
- |
СКП, мм |
- | |||
Заявляемое значение СКП, не более, мм |
- |
Заявляемое значение СКП, не более, мм |
- |
Результаты поверки в режиме «Быстрая статика»:
Измерение длины базиса | ||||||
№ изм. |
Значение длины базиса в плане, мм |
Результат измерений длины базиса в плане, мм |
Погрешность измерений длины базиса в плане, мм |
Значение длины базиса по высоте, мм |
Результат измерений длины базиса по высоте, мм |
Погрешность измерений длины базиса по высоте, мм |
1 | ||||||
2 | ||||||
3 | ||||||
4 | ||||||
5 | ||||||
Среднее значение |
- |
Среднее значение |
- | |||
Сист.составляющая |
- |
Сист. составляющая |
- | |||
Случ. составляющая (2о) |
- |
Случ. составляющая (2о) |
- | |||
Абсолютная погрешность, мм |
- |
Абсолютная погрешность, мм |
- | |||
Заявляемое значение абс. погреш., не более, мм |
- |
Заявляемое значение абс. погреш., не более, мм |
- | |||
СКП, мм |
- |
СКП, мм |
- | |||
Заявляемое значение СКП, не более, мм |
- |
Заявляемое значение СКП, не более, мм |
- |
Измерение длины базиса № 2 | ||||||
№ изм. |
Значение длины базиса в плане, мм |
Результат измерений длины базиса в плане, мм |
Погрешность измерений длины базиса в плане, мм |
Значение длины базиса по высоте, мм |
Результат измерений длины базиса по высоте, мм |
Погрешность измерений длины базиса по высоте, мм |
1 | ||||||
2 | ||||||
3 | ||||||
4 | ||||||
5 | ||||||
Среднее значение |
- |
Среднее значение |
- | |||
Сист.составляющая |
- |
Сист.составляющая |
- | |||
Случ. составляющая (2о) |
- |
Случ. составляющая (2о) |
- | |||
Абсолютная погрешность, мм |
- |
Абсолютная погрешность, мм |
- | |||
Заявляемое значение абс. погреш., не более, мм |
- |
Заявляемое значение абс. погреш., не более, мм |
- | |||
СКП, мм |
- |
СКП, мм |
- | |||
Заявляемое значение СКП, не более, мм |
- |
Заявляемое значение СКП, не более, мм |
- |
Результаты поверки в режиме «Кинематика»:
Измерение длины базиса | ||||||
№ изм. |
Значение длины базиса в плане, мм |
Результат измерений длины базиса в плане, мм |
Погрешность измерений длины базиса в плане, мм |
Значение длины базиса по высоте, мм |
Результат измерений длины базиса по высоте, мм |
Погрешность измерений длины базиса по высоте, мм |
1 | ||||||
2 | ||||||
3 | ||||||
4 | ||||||
5 | ||||||
6 | ||||||
7 | ||||||
8 | ||||||
9 | ||||||
10 | ||||||
Среднее значение |
- |
Среднее значение |
- | |||
Сист. составляющая |
- |
Сист.составляющая |
- | |||
Случ. составляющая (2о) |
- |
Случ. составляющая (2о) |
- | |||
Абсолютная погрешность, мм |
- |
Абсолютная погрешность, мм |
- | |||
Заявляемое значение абс. погреш., не более, мм |
- |
Заявляемое значение абс. погреш., не более, мм |
- | |||
СКП, мм |
- |
СКП, мм |
- | |||
Заявляемое значение СКП, не более, мм |
- |
Заявляемое значение СКП, не более, мм |
- |
Результаты поверки в режиме «Кинематика в реальном времени (RTK)»:
Измерение длины базиса | ||||||
№ изм. |
Значение длины базиса в плане, мм |
Результат измерений длины базиса в плане, мм |
Погрешность измерений длины базиса в плане, мм |
Значение длины базиса по высоте, мм |
Результат измерений длины базиса по высоте, мм |
Погрешность измерений длины базиса по высоте, мм |
1 | ||||||
2 | ||||||
3 | ||||||
4 | ||||||
5 | ||||||
6 | ||||||
7 | ||||||
8 | ||||||
9 | ||||||
10 | ||||||
Среднее значение |
- |
Среднее значение |
- | |||
Сист. составляющая |
- |
Сист.составляющая |
- | |||
Случ. составляющая (2о) |
- |
Случ. составляющая (2о) |
- | |||
Абсолютная погрешность, мм |
- |
Абсолютная погрешность, мм |
- | |||
Заявляемое значение абс. погреш., не более, мм |
- |
Заявляемое значение абс. погреш., не более, мм |
- | |||
СКП, мм |
- |
СКП, мм |
- | |||
Заявляемое значение СКП, не более, мм |
- |
Заявляемое значение СКП, не более, мм |
- |
Измерение длины базиса | ||
№ изм. |
Значение контрольного базиса в плане, мм |
Результат измерения, мм |
1 | ||
2 | ||
3 | ||
4 | ||
5 | ||
6 | ||
7 | ||
8 | ||
9 | ||
10 | ||
Среднее значение | ||
С ист. составляющая | ||
Случ. составляющая (2о) | ||
Абсолютная погрешность | ||
Заявляемое значение, не более, мм | ||
СКП, мм | ||
Заявляемое значение, не более, мм |
Результаты поверки в режиме «Навигационный» предоставляются в форме отчёта, выдаваемого программным обеспечением имитатора сигналов космических навигационных систем ГЛОНАСС/GPS
Результаты поверки в режиме лазерного дальномера
№ изм. |
для поверхностей с коэффициентом диффузного отражения 0,18 |
для поверхностей с коэффициентом диффузного отражения 0,9 |
с использованием отражающей пластины | ||||||
Si |
S2 |
S3 |
Si |
S2 |
S3 |
S1 |
S2 |
S3 | |
Результат измерения, мм |
Результат измерения, мм: |
Результат измерения, мм: |
Результат измерения, мм: |
Результат измерения, мм: |
Результат измерения, мм: |
Результат измерения, мм: |
Результат измерения, мм: |
Результат измерения, мм: | |
1 | |||||||||
2 | |||||||||
3 | |||||||||
4 | |||||||||
5 | |||||||||
6 | |||||||||
7 | |||||||||
8 | |||||||||
9 | |||||||||
10 | |||||||||
Ср. значение | |||||||||
Сист.сост. | |||||||||
Случ. Сост.я | |||||||||
Погрешность измерения | |||||||||
Доп. значение |
(должность)
(подпись)
(расшифровка подписи)