Методика поверки «Датчики перемещений волоконно-оптические серии Т40» (МП АПМ 57-17)
УТВЕРЖДАЮ
Генеральный директор ООО «Автопрогресс-М»
ДАТЧИКИ ПЕРЕМЕЩЕНИЙ ВОЛОКОННО-ОПТИЧЕСКИЕ СЕРИИ Т40
Методика поверки
МП АПМ 57-17 г. Москва
2017 г.
Настоящая методика распространяется на датчики перемещений волоконно-оптические серии Т40 (далее - датчики), производства ООО «НПП «МСТД», г. Москва, г. Зеленоград и устанавливает методику их первичной и периодической поверки.
Интервал между поверками -1 год.
-
1 Операции поверки
При проведении поверки должны выполняться операции, указанные в таблице 1. Таблица 1.
|
Наименование этапа поверки |
№ пункта документа по поверке |
Обязательность проведения операции при проведении поверки: | ||
|
первичной |
периодической | |||
|
1 |
Внешний осмотр, проверка маркировки и комплектности |
7.1 |
Да |
Да |
|
2 |
Опробование, проверка работоспособности |
7.2 |
Да |
Да |
|
3 |
Определение метрологических характеристик |
7.3 | ||
|
3.1 |
Определение приведённой к полному диапазону измерений погрешности измерений перемещений |
7.3.1 |
Да |
Да |
При проведении поверки должны применяться эталоны:
-
- рабочий эталон 4-го разряда по ГОСТ Р 8.763-2011 - меры длины концевые плоскопараллельные.
А также вспомогательные средства:
-
- система измерительная волоконно-оптическая SM/SI (NTM/NTI) (per. № 64552-16).
Допускается применять аналогичные средства поверки, обеспечивающие определение метрологических характеристик с точностью, удовлетворяющей требованиям настоящей методики поверки.
3 Требования к квалификации поверителейК проведению поверки допускаются лица, изучившие эксплуатационные документы на поверяемые датчики, эталоны и вспомогательные средства поверки, имеющие достаточные знания и опыт работы с ними.
4 Требования безопасности-
4.1. Перед проведением поверки следует изучить эксплуатационные документы на поверяемые датчики и приборы, применяемые при поверке.
-
4.2. К поверке допускаются лица, прошедшие инструктаж по технике безопасности при работе на электроустановках.
-
5.1 При проведении поверки должны соблюдаться следующие нормальные условия измерений:
-
- температура окружающей среды, °C 20±5;
-
- относительная влажность воздуха, % не более (70+20);
-
- атмосферное давление, кПа (мм рт. ст.) 84,0..106,7(630..800).
-
5.2 Внешние электрические и магнитные поля должны отсутствовать, либо находиться в пределах, не влияющих на работу приборов.
-
5.3 Не допускаются удары, тряска, вибрация.
5.4. Поверяемый датчик и средства поверки должны быть выдержаны при температуре, указанной в п.5.1 не менее 3 часов.
6 Подготовка к поверкеПеред проведением поверки должны быть выполнены следующие подготовительные работы:
-
- проверить наличие действующих свидетельств о поверке на средства поверки;
-
- подключить датчик к системе измерительной волоконно-оптической SM/SI (NTM/NTI) (далее - измерительная система);
-
- выдержать поверяемые датчики, эталонные средства поверки и вспомогательное оборудование в помещении, где будет проводится поверка, не менее 3-х часов.
-
7 Проведение поверки
При внешнем осмотре должно быть установлено соответствие датчиков следующим требованиям:
наличие маркировки (наименование или товарный знак изготовителя, тип и заводской номер);
комплектность датчиков должна соответствовать эксплуатационной документации.
В случае обнаружения несоответствия датчиков перечисленным требованиям они к поверке не допускаются.
7.2 Определение метрологических характеристик-
7.2.1 Определение приведённой к полному диапазону измерений погрешности измерений перемещений
Приведенная погрешность определяется в точках 20, 40, 60, 80 и 100 % от верхнего предела измерения датчика при увеличении (прямой ход) и уменьшении перемещения штока датчика (обратный ход) Перед определением погрешности при обратном ходе датчик выдерживают на верхнем пределе измерений в течение 5 минут.
Определение приведенной погрешности измерений датчика в каждой точке диапазона измерений проводится в следующей последовательности:
прочно закрепить неподвижную часть датчика, уперев щуп датчика в неподвижный упор. Важно, чтобы при этом щуп датчика был полностью выдвинут;
- убедиться, что поверяемый датчик присоединён к измерительной системе;
подключить к сети и включить измерительную систему, если этого не было сделано ранее;
задать необходимое перемещение, поместив между упором и штоком датчика конце-вую(-ые) меру;
снять показания изменения длины волны чувствительного элемента датчика по измерительной системе и рассчитать перемещение согласно РЭ и паспорта на датчик. В случае если в измерительной системе уже введены необходимые параметры и на экране выводятся значения перемещения, то необходимо снять и занести в протокол поверки их.
-
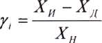
7.2.2 Определить в каждой точке диапазона приведенную погрешность измерений перемещений по формуле:

где Хи - значение перемещения, измеренное датчиком в данной точке, мм; Хд - значение перемещения, заданное рабочим эталоном, мм;
Хн - верхний предел измерений датчика, мм.
Результаты поверки по данному пункту методики поверки считать положительными, если полученные значения приведённой к полному диапазону измерений погрешности измерений перемещений датчика не выходят за пределы:
-
- для датчиков модификаций Т4050К, Т4050МК - ±1%,
-
- для датчиков модификаций Т4050НК - ±0,25%.
-
8.1. Результаты поверки оформляются протоколом, составленным в виде сводной таблицы результатов поверки по каждому пункту раздела 7 настоящей методики поверки с указанием предельных числовых значений результатов измерений и их оценки по сравнению с предъявленными требованиями.
-
8.2. При положительных результатах поверки датчик признается годными к применению и на него выдаётся свидетельство о поверке установленной формы. Знак поверки наносится на свидетельство о поверке в виде наклейки и (или) поверительного клейма.
-
8.3. При отрицательных результатах поверки датчик признаётся непригодными к примене
нию и на него выдается извещение о непригодности установленной формы с указанием основных причин. .

Руководитель отдела ООО «Автопрогресс-М»
М.В. Максимов
