Методика поверки «Газоанализаторы портативные многокомпонентные Ventis Pro 4, Ventis Pro 5» (Код не указан!)
УТВЕРЖДАЮ
ря 2017 г.
ильный директор
^рохимсерт"
Ж.И. Панов
Г азоанализаторы портативные многокомпонентные моделей Ventis Pro 4, Ventis Pro 5
МЕТОДИКА ПОВЕРКИ
Москва 2017 г.
Настоящая методика поверки распространяется на газоанализаторы портативные многокомпонентные моделей Ventis Pro 4 и Ventis Pro 5, выпускаемые фирмой "Industrial Scientific Corporation", США, и устанавливает методы их первичной поверки при вводе в эксплуатацию и после ремонта и периодической поверки в процессе эксплуатации.
Интервал между поверками - один год.
1 Операции поверки-
1.1 При проведении поверки должны быть выполнены операции, указанные в таблице 1.
Таблица 1 - Операции поверки
|
Наименование операции |
Номер пункта методики поверки |
Обязательность проведения | |
|
при первичной поверке |
в процессе эксплуатации | ||
|
1 Внешний осмотр |
6.1 |
да |
да |
|
2 Опробование |
6.2 |
да |
да |
|
3 Подтверждение соответствия программного обеспечения |
6.3 |
да |
да |
|
4 Определение метрологических характеристик |
6.4 | ||
|
4.1 Определение основной погрешности |
6.4.1 |
да |
да |
|
4.2 Определение вариации показаний |
6.4.2 |
да |
нет |
|
4.3 Определение времени установления показаний |
6.4.3 |
да |
да |
-
1.2 Если при проведении той или иной операции получен отрицательный результат, дальнейшая поверка прекращается.
-
2.1 При проведении поверки применяют средства, указанные в таблице 2.
Таблица 2 - Средства поверки
|
Номер пункта методики поверки |
Наименование эталонного средства измерений или вспомогательного средства поверки, номер документа, регламентирующего технические требования к средству, основные метрологические и технические характеристики |
|
6 |
Термометр ртутный стеклянный лабораторный ТЛ-4, ТУ 25-2021.003-88, ГОСТ 28498-90, диапазон измерений от 0 до 55 °C, цена деления 0,1 °C, погрешность ± 0,2 °C |
|
Секундомер механический СОПпр, ТУ 25-1894.003-90, класс точности 2 | |
|
Барометр-анероид контрольный М-67 ТУ 2504-1797-75, диапазон измерений давления от 610 до 790 мм рт.ст., погрешность ±0,8 мм рт.ст. | |
|
Психрометр аспирационный М-34-М, ТУ 52.07-(ГРПИ.405 132.001)-92, диапазон относительной влажности от 10 до 100 % при температуре от 5 до 40°С | |
|
6.4 |
Ротаметр РМ-А-0,063Г УЗ, ГОСТ 13045-81, верхняя граница диапазона измерений объемного расхода 0,063 м3/ч, кл. точности 4 |
|
Вентиль точной регулировки ВТР-1 (или ВТР-1-М160), диапазон рабочего давления (0-150) кгс/см2, диаметр условного прохода 3 мм | |
|
Редуктор баллонный кислородный одноступенчатый БКО-50-4 | |
|
Трубка медицинская поливинилхлоридная (ПВХ) по ТУ6-01-2-120-73, 6х 1,5 мм | |
|
Трубка фторопластовая по ТУ 6-05-2059-87, диаметр условного прохода 5 мм, толщина стенки 1 мм | |
|
Поверочный нулевой газ (ПНГ) - воздух марки Б, в баллонах под давлением по ТУ 6-21-5-85 |
|
Номер пункта методики поверки |
Наименование эталонного средства измерений или вспомогательного средства поверки, номер документа, регламентирующего технические требования к средству, основные метрологические и технические характеристики |
|
6.4 |
Азот особой чистоты сорт 1,2 по ГОСТ 9293-74 в баллоне под давлением |
|
Баллоны с ПГС в соответствии с приложением А | |
|
Примечания:
| |
3 Требования безопасности
-
3.1 Помещение, в котором проводят поверку, должно быть оборудовано приточновытяжной вентиляцией.
-
3.2 Концентрации вредных компонентов в воздухе рабочей зоны должны соответствовать требованиям ГОСТ 12.1.005-88.
-
3.3 Должны выполняться требования техники безопасности для защиты персонала от поражения электрическим током согласно классу I ГОСТ 12.2.007.0-75.
-
3.4 Требования техники безопасности при эксплуатации ПГС в баллонах под давлением должны соответствовать “Правилам устройства и безопасной эксплуатации сосудов, работающих под давлением” (ПБ 03-576-03), утвержденным постановлением № 91 Госгортехнадзора России от 11.06.2003 г.
-
3.5 Не допускается сбрасывать ПГС в атмосферу рабочих помещений.
-
- температура окружающей среды, °C 20±5
-
- диапазон относительной влажности окружающей среды, % от 30 до 80
-
- атмосферное давление, кПа 101,3±4,0
мм рт.ст. 760±30
5 Подготовка к поверке-
5.1 Выполнить мероприятия по обеспечению условий безопасности.
-
5.2 Проверить наличие паспортов и сроки годности ПГС в баллонах под давлением.
-
5.3 Баллоны с ПГС выдержать при температуре поверки не менее 24 ч.
-
5.4 Выдержать газоанализатор и средства поверки при температуре поверки в течение не менее 2 ч.
-
5.5 Подготовить поверяемый газоанализатор и эталонные средства измерений к работе в соответствии с эксплуатационной документацией.
-
6.1 Внешний осмотр
-
6.1.1 При внешнем осмотре устанавливают соответствие газоанализатора следующим требованиям:
-
-
- соответствие комплектности (при первичной поверке) требованиям эксплуатационной документации
-
- соответствие маркировки требованиям эксплуатационной документации;
-
- газоанализатор не должен иметь повреждений, влияющих на работоспособность.
-
6.1.2 Газоанализатор считают выдержавшим внешний осмотр, если он соответствует указанным выше требованиям.
-
6.2 Опробование
-
6.2.1 При опробовании проверяют общее функционирование газоанализатора, для чего включают газоанализатор, после чего запускается процедура автотестирования.
-
В процессе прогрева на дисплее отображается версия программного обеспечения, установленные датчики, время, оставшееся до выхода в режим измерений и др.
По окончанию процедуры автотестирования газоанализатор переходит в режим измерений.
-
6.2.2 Результат опробования считают положительным, если:
-
- во время тестирования отсутствуют сообщения об отказах,
-
- после окончания времени прогрева газоанализатор переходит в режим измерений (на дисплее отображается измерительная информация),
-
- органы управления газоанализатора функционируют.
6.3 Подтверждение соответствия программного обеспечения
Для проверки соответствия ПО выполняют следующие операции:
-
- проводят визуализацию идентификационных данных ПО газоанализатора (номер версии встроенного ПО отображается при включении газоанализатора);
-
- сравнивают полученные данные с идентификационными данными, установленными при проведении испытаний в целях утверждения типа и указанными в Описании типа газоанализаторов.
-
6.4 Определение метрологических характеристик
-
6.4.1 Определение основной погрешности газоанализатора
-
6.4.1.1 Определение основной погрешности газоанализатора проводят по схеме рисунка Б.1 или Б.2 Приложения Б (в зависимости от исполнения) в следующем порядке:
-
1) собрать газовую схему, представленную в Приложении Б;
-
2) подать на вход газоанализатора ПГС (таблица А. 1 Приложения А, соответственно модели и определяемому компоненту) в последовательности: №№ 1-2-3-2-1-3;
Примечание - для газоанализаторов в исполнении для диффузионного отбора ГС подавать напрямую, с расходом 0,5 ± 0,1 дм3/мин, для газоанализаторов в исполнении для принудительного отбора через тройник, при этом расход ПГС установить таким образом, чтобы показания ротаметра 4 были в диапазоне от 50 до 150 см3/мин;
-
3) зафиксировать установившиеся показания газоанализатора при подаче каждой ПГС;
-
4) повторить операции по пп. 2) - 3) для всех ПГС (таблица А. 1 Приложения А).
-
5) Для датчиков с определяемым компонентом - пары нефтепродуктов подать на вход эквивалентные ГС пропан - воздух (таблица А.З Приложения А в соответствии с определяемым компонентом) с расходом в последовательности № 1 - 2 в течение не менее утроенного Тод;
-
6) Зафиксировать показания датчика в порядке, описанном в п. 2);
-
7) По значению выходного токового сигнала рассчитать значение довзрывоопасной концентрации определяемого компонента на входе датчика по формуле (1);
-
8) Рассчитать значение коэффициента пересчёта на при подаче эквивалентных смесей пропан - воздух по формуле
же
же

(5)
где С' жв - установившиеся показания поверяемого датчика при подаче ГС № 2, содержащей поверочный компонент (пропан), % НКПР;
Сд~экв - действительное значение содержания поверочного компонента в ГС № 2, % НКПР;
С°пр - установившиеся показания поверяемого измерительного канала при подаче ГС № 3 состава определяемый компонент (пары нефтепродукта - воздух, % НКПР;
С‘"р -действительное значение содержания определяемого компонента в ГС № 3, % НКПР.
Записать полученные значения коэффициентов пересчета в свидетельство о поверке.
-
6.4.1.2 Значение основной абсолютной погрешности газоанализатора в i-ой точке поверки
А, , % НКПР, % об.д. или млн’1, для диапазонов измерений, в которых нормированы пределы допускаемой основной абсолютной погрешности, находят по формуле

(1)
где С, - показания газоанализатора в i-ой точке поверки объемная доля определяемого компонента, % (млн'1), или довзрывоопасная концентрация, % НКПР;
Cf -действительное значение содержания определяемого компонента, объемная доля определяемого компонента, % (млн'1), или довзрывоопасная концентрация, % НКПР.
Значение основной относительной погрешности газоанализатора, , %, для диапазонов измерений, в которых нормированы пределы допускаемой основной относительной погрешности, находят по формуле
С -С
(2)
6, = ‘ <100.
Примечание - для газоанализаторов с диапазоном измерений довзрывоопасной концентрации определяемого компонента от 0 до 50 % НКПР и от 0 до 100 % НКПР пересчитать действительное значение объемной доли определяемого компонента, указанное в паспорте ГС, в единицы довзрывоопасной концентрации определяемого компонента (% НКПР) по формуле:
Сд
^%НКПР
Сд
v%(o6,d.)
•100
НКПР
(4)
где С%(об д ) - действительное значение объемной доли определяемого компонента, указанное
в паспорте ГС, %;
НКПР - значение нижнего концентрационного предела распространения пламени для определяемого компонента (по ГОСТ 30852.19-2002), % (об.д.).
-
6.4.1.3 Результаты определения основной погрешности считают положительными, если полученные значения основной погрешности не превышают значений, указанных в Приложении В.
6.4.2 Определение вариации показаний газоанализатора
Определение вариации показаний газоанализатора допускается проводить одновременно с определением основной погрешности по п. 6.4.1 при подаче ГС № 2 ((при поверке газоанализато-’ ров, для которых в Приложении А указаны 3 точки поверки) или № 3 ((при поверке газоанализаторов, для которых в Приложении А указаны 4 точки поверки).
Вариацию показаний, од, в долях от пределов допускаемой основной абсолютной погрешности, для диапазонов измерений, для которых нормированы пределы допускаемой основной абсолютной погрешности, рассчитывают по формуле

(5)
где С2Ь, С2 - результат измерений содержания определяемого компонента при подходе к
точке поверки 2 со стороны больших и меньших значений, объемная доля определяемого компонента, % (млн'1), или довзрывоопасная концентрация, % НКПР;
0 - пределы допускаемой основной абсолютной погрешности поверяемого газоанали
затора, объемная доля определяемого компонента, % (млн'1), или довзрывоопасная концентрация, % НКПР.
Вариацию показаний в долях от пределов допускаемой основной относительной погрешности, для диапазонов измерений, для которых нормированы пределы допускаемой основной относительной погрешности, рассчитывают по формуле
u3=^-^-100, (6)
где д0 - пределы допускаемой основной относительной погрешности поверяемого газоанализатора, %.
Результат считают положительным, если вариация показаний газоанализатора не превышает 0,5.
-
6.4.3 Определение времени установления показаний
Допускается проводить определение времени установления показаний одновременно с определением основной погрешности по 6.4.1.
При определении времени установления показаний с помощью насадки подают на сенсор ПГС соответствующую концу диапазона измерений, фиксируют установившиеся показания.
Вычисляют значение, равное 0,9 установившихся показаний;
Подают на вход датчика ПГС № 1, дожидаются установления показаний;
Подают на вход датчика ПГС, соответствующую концу диапазона измерений, (предварительно продув ею газовую линию не менее 3 мин при суммарной длине линии не более 2 м), включают секундомер и фиксируют время достижения значения, ранее вычисленного значения, равное 0,9 установившихся показаний.
Результаты определения времени установления показаний считают положительными, если время установления показаний не превышает значений, указанных в приложении В.
7 Оформление результатов поверки-
7.1 При проведении поверки оформляют протокол результатов поверки (форма протокола поверки приведена в Приложении В).
-
7.2 При положительных результатах поверки оформляют свидетельство о поверке установленной формы в соответствии с приказом Минпромторга России № 1815 от 02.07.0215 г.
-
7.3 При отрицательных результатах поверки газоанализатор к применению не допускают, свидетельство о поверке аннулируют и выдают извещение о непригодности установленной формы в соответствии с приказом Минпромторга России № 1815 от 02.07.0215 г.
Приложение А
(обязательное) Технические характеристики ГС, используемых при поверке газоанализаторов портативных многокомпонентных моделей Ventis Pro4, Ventis Рго5.
Таблица А.1 - Технические характеристики ГС, используемых для поверки газоанализаторов моделей Ventis Pro4, Ventis Рго5.
|
Определяемый компонент |
Диапазон измерений объемной доли определяемого компонента, % |
Номинальное значение объемной доли определяемого компонента в ГС и пределы допускаемого отклонения |
Пределы допускаемой погрешности |
Номер ГС по реестру ГСО или источник ГС | |||
|
ГС№ 1 |
ГС №2 |
ГС№3 |
ГС №4 | ||||
|
метан (СН4) |
от 0 до 2,2 (от 0 до 50 % НКПР) |
ПНГ - воздух |
- |
- |
- |
- |
Марка Б по ТУ 6-21-5-82 |
|
- |
1,1 % об.д.±5 % отн. |
2,09 % об.д.±5 % отн. |
- |
±1,5 % отн. |
ГСО 10257- 2013 | ||
|
метан (СН4) |
от 0 до 2,5 % об.д. |
ПНГ - воздух |
- |
- |
- |
- |
Марка Б по ТУ 6-21-5-82 |
|
- |
1,25 % об.д.±5 % отн. |
2,38 % об.д.±5 % отн. |
- |
±1,5 % отн. |
ГСО 10257- 2013 | ||
|
этан (С2Н6) |
от 0 до 1,25 (от 0 до 50 % НКПР) |
ПНГ -воздух |
- |
- |
- |
- |
Марка Б по ТУ 6-21-5-82 |
|
- |
0,63 % об.д.±5 % отн. |
1,2% об.д.±5 % отн. |
- |
±1,5 % отн. |
ГСО 10244- 2013 | ||
|
пропан (СзНз) |
от 0 до 0,85 (от 0 до 50 % НКПР) |
ПНГ - воздух |
- |
- |
- |
- |
Марка Б по ТУ 6-21-5-82 |
|
- |
0,43 % об.д±5 % отн. |
- |
- |
±(-2,5-Х+2,75) % отн. |
ГСО 10263- 2013 | ||
|
- |
- |
0,8 % об.д.±5 % отн. |
- |
±1,5 % отн. |
ГСО 10263- 2013 | ||
|
н-бутан (СдНю) |
от 0 до 0,7 (от 0 до 50 % НКПР) |
ПНГ - воздух |
- |
- |
- |
- |
Марка Б по ТУ 6-21-5-82 |
|
- |
0,35 % об.д.±10 % отн. |
0,63 % об.д.±10 % отн. |
- |
±(-1,667 Х±2,667) % отн. |
ГСО 10246- 2013 | ||
|
Определяемый компонент |
Диапазон измерений объемной доли определяемого компонента, % |
Номинальное значение объемной доли определяемого компонента в ГС и пределы допускаемого отклонения |
Пределы допускаемой погрешности |
Номер ГС по реестру ГСО или источник ГС | |||
|
ГС№ 1 |
ГС №2 |
ГС№3 |
ГС №4 | ||||
|
н-пентан (С5Н12) |
от 0 до 0,7 (от 0 до 50 % НКПР) |
ПНГ - воздух |
- |
- |
- |
Марка Б по ТУ 6-21-5-82 | |
|
- |
0,35 % об.д.±10 % отн. |
0,63 % об.д.±10 % отн. |
±(-1,667-Х+2,667) % отн. |
ГСО 10365- 2013 | |||
|
гексан (СбН^) |
от 0 до 0,5 (от 0 до 50 % НКПР) |
ПНГ - воздух |
- |
- |
- |
Марка Б по ТУ 6-21-5-82 | |
|
- |
(0,250±0,025) % |
(0,475±0,025) % |
±(-8,9-Х+6,2) % отн. |
ГСО 9766-2011 | |||
|
этилен (С2Н4) |
от 0 до 1,15 (от 0 до 50 % НКПР) |
ПНГ - воздух |
- |
- |
- |
Марка Б по ТУ 6-21-5-82 | |
|
- |
0,55 % об.д.±5 % отн. |
1,09 % об.д.±5 % отн. |
±1,5 % отн. |
ГСО 10248- 2013 | |||
|
ацетилен (С2Н2) |
от 0 до 1,15 (от 0 до 50 % НКПР) |
ПНГ -воздух |
- |
- |
- |
Марка Б по ТУ 6-21-5-82 | |
|
- |
0,55 % об.д.±5 % отн. |
1,09 % об.д.±5 % отн. |
±1,5 % отн. |
ГСО 10386- 2013 | |||
|
водород (Н2) |
от 0 до 2,0 (от 0 до 50 % НКПР) |
ПНГ -воздух |
- |
- |
- |
Марка Б по ТУ 6-21-5-82 | |
|
- |
1,00 % об.д.±5 % отн. |
1,90% об.д.±5 % отн. |
±1,5 % отн. |
ГСО 10325- 2013 | |||
|
пропилен (СзНб) |
от 0 до 1,0 (от 0 до 50 % НКПР) |
ПНГ - воздух |
- |
- |
- |
Марка Б по ТУ 6-21-5-82 | |
|
- |
0,50 % об.д.±5 % отн. |
0,95 % об.д.±5 % отн. |
±1,5 % отн. |
ГСО 10250- 2013 | |||
|
бензол (СбНб) |
от 0 до 0,6 (от 0 до 50 % НКПР) |
ПНГ -воздух |
- |
- |
- |
Марка Б по ТУ 6-21-5-82 | |
|
0,30 % об.д.±10 % отн. |
0,55 % об.д.±10 % отн. |
±(-2,0-Х+2,7) % отн. |
ГСО 10366- 2013 | ||||
|
Определяемый компонент |
Диапазон измерений объемной доли определяемого компонента, % |
Номинальное значение объемной доли определяемого компонента в ГС и пределы допускаемого отклонения |
Пределы допускаемой погрешности |
Номер ГС по реестру ГСО или источник ГС | |||
|
ГС№ 1 |
ГС №2 |
ГС№3 |
ГС №4 | ||||
|
оксид этилена (СгНдО) |
от 0 до 1,3 (от 0 до 50 % НКПР) |
ПНГ - воздух |
- |
- |
- |
- |
Марка Б по ТУ 6-21-5-82 |
|
- |
0,6 % об.д.±5 % отн. |
1,24 % об.д.±5 % отн. |
- |
±1,5 % отн. |
ГСО 10387- 2013 | ||
|
метанол (СНзОН) |
от 0 до 2,75 (от 0 до 50 % НКПР) |
ПНГ -возду |
- |
- |
- |
- |
Марка Б по ТУ 6-21-5-82 |
|
- |
0,6 % об.д.±5 % отн. |
1,24 % об.д.±5 % отн. |
- |
±1,5 % отн. |
ГСО 10533- 2014 | ||
|
Этанол (С2Н5ОН) |
от 0 до 1,5 (от 0 до 50 % НКПР) |
ПНГ -возду |
- |
- |
- |
- |
Марка Б по ТУ 6-21-5-82 |
|
- |
0,75 % об.д.±5 % отн. |
1,45 % об.д.±5 % отн. |
- |
±1,5 % отн. |
ГСО 10533- 2014 | ||
|
2-пропанол (i-C3H7OH) |
от 0 до 1,0 (от 0 до 50 % НКПР) |
ПНГ - воздух |
- |
- |
- |
- |
Марка Б по ТУ 6-21-5-82 |
|
- |
0,50 % об.д.±5 % отн. |
0,95 % об.д.±5 % отн. |
- |
±1,5 % отн. |
ГСО 10533- 2014 | ||
|
изобутан (i-C4H10) |
от 0 до 1,0 (от 0 до 50 % НКПР) |
ПНГ - воздух |
- |
- |
- |
- |
Марка Б по ТУ 6-21-5-82 |
|
- |
0,50 % об.д.±5 % отн. |
0,95 % об.д.±5 % отн. |
- |
±1,5 % отн. |
ГСО 10540- 2014 | ||
|
гептан (С7Н16) |
от 0 до 1,0 (от 0 до 50 % НКПР) |
ПНГ - воздух |
- |
- |
- |
Марка Б по ТУ 6-21-5-82 | |
|
0,50 % об.д.±5 % отн. |
0,95 % об.д.±5 % отн. |
- |
±1,5 % отн. |
ГСО 10540- 2014 | |||
|
октан (С8Н18) |
от 0 до 1,0 (от 0 до 50 % НКПР) |
ПНГ - воздух |
- |
- |
- |
Марка Б по ТУ 6-21-5-82 | |
|
0,50 % об.д.±5 % отн. |
0,95 % об.д.±5 % отн. |
±1,5 % отн. |
ГСО 10540- 2014 | ||||
|
Определяемый компонент |
Диапазон измерений объемной доли определяемого компонента, % |
Номинальное значение объемной доли определяемого компонента в ГС и пределы допускаемого отклонения |
Пределы допускаемой погрешности |
Номер ГС по реестру ГСО или источник ГС | |||
|
ГС№ 1 |
ГС №2 |
ГС№3 |
ГС №4 | ||||
|
кислород (Ог) |
от 0 до 30 % |
азот |
О.ч., сорт 2-й по ГОСТ 9293-74 | ||||
|
- |
15 % об.д.±5 % отн. |
28,5 % об.д.±5 % отн. |
- |
±(-0,008-Х+0,76) % отн. |
ГСО 10253- 2013 | ||
|
от 10 до 30 % |
10,5 % об.д. ± 5 % отн. |
20 % об.д.±5 % отн. |
±(-0,046-Х+1,523) % отн. |
ГСО 10253- 2013 | |||
|
- |
- |
28,5 % об.д.±5 % отн. |
- |
±(-0,008 Х+0,76) % отн. |
ГСО 10253- 2013 | ||
|
оксид углерода (СО) |
от 0 до 1000 млн'1 (0 до 1166 мг/м3) |
пнг - воздух |
- |
- |
- |
- |
Марка Б по ТУ 6-21-5-82 |
|
0,00227 % об.д. (25 мг/м3)±10 % отн. |
0,05 % об.д. (550 мг/м3)±10 % отн. |
0,091 % об.д. (1050 мг/м3)±10 % отн. |
±(-15,15 Х+4,01) % отн. |
ГСО 10260- 2013 | |||
|
от 0 до 2000 млн'1 (от 0 до 2333 мг/м3) |
ПНГ - воздух |
- |
- |
- |
- |
Марка Б по ТУ 6-21-5-82 | |
|
0,00227 % об.д. (25 мг/м3)±10 % отн. |
0,091 % об.д. (1050 мг/м3)±10 % отн. |
0,18 % об.д. (2090 мг/м3)±10 % отн. |
±(-15,15 Х+4,01) % отн. |
ГСО 10260- 2013 | |||
|
оксид углерода (СО) |
от 0 до 40 млн'1 (от 0 до 44 мг/м3) |
ПНГ - воздух |
- |
- |
- |
- |
Марка Б по ТУ 6-21-5-82 |
|
0,0018 % об.д. (20мг/м3)±10 % отн. |
0,0035 % об.д. (40 мг/м3)±10 % отн. |
±(-15,15 Х+4,01) % отн. |
ГСО 10260- 2013 | ||||
|
Определяемый компонент |
Диапазон измерений объемной доли определяемого компонента, % |
Номинальное значение объемной доли определяемого компонента в ГС и пределы допускаемого отклонения |
Пределы допускаемой погрешности |
Номер ГС по реестру ГСО или источник ГС | |||
|
ГС№ 1 |
ГС №2 |
ГС № 3 |
ГС №4 | ||||
|
сероводород (H2S) |
от 0 до 500 млн’1 (от Одо 708 мг/м3) |
ПНГ - воздух |
- |
- |
- |
- |
Марка Б по ТУ 6-21-5-82 |
|
0,00077 % об.д. (11 мг/м3)±30 % отн. |
±(-1111,1X4-5,11) % отн. |
ГСО 10329- 2013 | |||||
|
0,025% об.д. (350 мг/м3)±20 % отн. |
0,045 % об.д. (630 мг/м3)±20 % отн. |
±(-15,15-Х+4,015) % отн. |
ГСО 10329- 2013 | ||||
|
от 0 до 15 млн’1 (от 0 до 20 мг/м3) |
ПНГ -воздух |
- |
- |
- |
- |
Марка Б по ТУ 6-21-5-82 | |
|
0,0007 % об.д. (10 мг/м3)±30 % отн. |
±(-1111,ГХ+5,11) % отн. |
ГСО 10329- 2013 | |||||
|
0,0014% об.д. (20 мг/м3)±20 % отн. |
±(-15,15-Х+4,015) % отн. |
ГСО 10329- 2013 | |||||
|
Определяемый компонент |
Диапазон измерений объемной доли определяемого компонента, % |
Номинальное значение объемной доли определяемого компонента в ГС и пределы допускаемого отклонения |
Пределы допускаемой погрешности |
Номер ГС по реестру ГСО или источник ГС | |||
|
ГС № 1 |
ГС №2 |
ГС№3 |
ГС №4 | ||||
|
диоксид азота (NO2) |
от 0 до 150 млн'1 (от Одо 290 мг/м3) |
ПНГ - воздух |
- |
- |
- |
- |
Марка Б по ТУ 6-21-5-82 |
|
0,00015 % об.д. (3 мг/м3)±30 % отн. |
±(-1111,ГХ±5,11) % отн. |
ГСО 10331- 2013 | |||||
|
0,0075 % об.д. (15 мг/м3)±20 % отн. |
0,0125 % об.д. (25мг/м3)±20 % отн. |
±(-15,15-Х±4,015) % отн. |
ГСО 10331- 2013 | ||||
|
от 0 до 2,0 млн'1 (от 0 до 3,8 мг/м3)0 |
ПНГ - воздух |
- |
- |
- |
- |
Марка Б по ТУ 6-21-5-82 | |
|
- |
0,0001 % об.д. ±30 % отн. |
0,00015 % об.д. ±30 % отн. |
- |
±(-1111,ГХ±5,11) % отн. |
ГСО 10331- 2013 | ||
|
диоксид серы (SO2) |
от 0 до 150 млн'1 (от Одо 400 мг/м3) |
ПНГ - воздух |
- |
- |
- |
- |
Марка Б по ТУ 6-21-5-82 |
|
0,00046% об.д. (13 мг/м3)±30 % отн. |
±(-1111,ГХ±5,11) % отн. |
ГСО 10342- 2013 | |||||
|
0,0075 % об.д. (200 мг/м3)±20 % отн. |
0,0125 % об.д. (330 мг/м3)±20 % отн. |
±(-15,15-Х±4,015) % отн. |
ГСО 10342- 2013 | ||||
|
от 0 до 6,0 млн'1 (от 0 до 16 мг/м3) |
ПНГ - воздух |
- |
- |
- |
- |
Марка Б по ТУ 6-21-5-82 | |
|
0,00025% об.д. (6 мг/м3)±30 % отн. |
0,00046% об.д. (13 мг/м3)±30 % отн. |
±(-1111,ГХ±5,11) % отн. |
ГСО 10342- 2013 | ||||
|
Определяемый компонент |
Диапазон измерений объемной доли определяемого компонента, % |
Номинальное значение объемной доли определяемого компонента в ГС и пределы допускаемого отклонения |
Пределы допускаемой погрешности |
Номер ГС по реестру ГСО или источник ГС | |||
|
ГС № 1 |
ГС №2 |
ГС№3 |
ГС №4 | ||||
|
синильная ки слота (HCN) |
от 0 до 30 млн'1 (от Одо 34 мг/м3) |
азот |
О.ч., сорт 1-й по ГОСТ 9293-74 | ||||
|
0,00012% об.д. (13 мг/м3)±20 % отн. |
±8 % отн. |
ГСО 10547- 2014 | |||||
|
от 0 до 2,0 млн'1 (от 0 до 2,3 мг/м3) |
азот |
О.ч., сорт 1-й по ГОСТ 9293-74 | |||||
|
0,0008 % об.д. (9 мг/м3)±30 % отн. |
0,00015 % об.д. (17 мг/м3)±30 % отн. |
±8 % отн. |
ГСО 10547- 2014 | ||||
Примечания:
-
- изготовители и поставщики ГС - предприятия-производители стандартных образцов состава газовых смесей, прослеживаемых к государственному первичному эталону единиц молярной доли и массовой концентрации компонентов в газовых средах ГЭТ 154-2011;
-
- НКПР для определяемых компонентов в соответствии с ГОСТ 30852.19-2002;
-
- "X" в формуле расчета пределов допускаемой относительной погрешности — значение объемной доли определяемого компонента, указанное в паспорте ГС;
-
- поверочный нулевой газ (ПНГ) - воздух марки Б в баллонах под давлением, выпускаемый по ТУ 6-21-5-82.
Таблица А.2 — Технические характеристики ГС для поверки газоанализаторов только модели Ventis Рго5.
|
Определяемый компонент |
Диапазон измерений объемной до-ли определяемого компонента, % |
Номинальное значение объемной доли определяемого компонента в ГС и пределы допускаемого отклонения |
Пределы допускаемой погрешности |
Номер ГС по реестру ГСО или источник ГС | |||
|
ГС№ 1 |
ГС №2 |
ГС№3 |
ГС №4 | ||||
|
метан (СНд) |
от 0 до 4,4 (от 0 до 100 % НКПР) |
азот |
- |
- |
- |
- |
О.ч., сорт 2-й по ГОСТ 9293-74 |
|
- |
2,20 %±0,25 % |
4,15 %±0,25 % |
- |
±0,8 % отн. |
ГСО 9750-2011 | ||
|
от 0 до 100 % об.д. |
азот |
- |
- |
- |
- |
О.ч., сорт 2-й по ГОСТ 9293-74 | |
|
- |
50 % об.д.±5 % отн. |
- |
- |
±(-0,008Х±0,76) % отн. |
ГСО 10256-2013 | ||
|
- |
- |
97 % об.д.±1,5 % отн. |
- |
±(-,0037-Х±0,459) % отн. |
ГСО 10256-2013 | ||
|
этан (С2Нб) |
от 0 до 2,5 (от 0 до 100 % НКПР) |
азот |
- |
- |
- |
О.ч., сорт 2-й по ГОСТ 9293-74 | |
|
- |
1,25 % об.д.±5 % отн. |
2,4 % об.д.±5 % отн. |
- |
±1,5 % отн. |
ГСО 10540-2014 | ||
|
пропан (СзНз) |
от 0 до 1,7 (от 0 до 100 % НКПР) |
азот |
- |
- |
- |
- |
О.ч., сорт 2-й по ГОСТ 9293-74 |
|
- |
0,85 % об.д.±5 % отн. |
1,6 % об.д.±5 % отн. |
- |
±1,5 % отн. |
ГСО 10262-2013 | ||
|
н-бутан (С4Н10) |
от 0 до 1,4 (от 0 до 100 % НКПР) |
азот |
- |
- |
- |
- |
О.ч., сорт 2-й по ГОСТ 9293-74 |
|
0,7 % об.д.±5 % отн. |
1,3 % об.д.±5 % отн. |
±(-0,046Х±1,523) % отн. |
ГСО 10245-2013 | ||||
|
Определяемый компонент |
Диапазон измерений объемной до-ли определяемого компонента, % |
Номинальное значение объемной доли определяемого компонента в ГС и пределы допускаемого отклонения |
Пределы допускаемой погрешности |
Номер ГС по реестру ГСО или источник ГС | |||
|
ГС№ 1 |
ГС №2 |
ГС№3 |
ГС №4 | ||||
|
гексан (СвН14) |
от 0 до 1,0 (от 0 до 100 % НКПР) |
азот |
- |
- |
О.ч., сорт 2-й по ГОСТ 9293-74 | ||
|
- |
0,5 % об.д.±10 % отн. |
0,95 % об.д.±5 % отн. |
- |
±1,5 % отн. |
ГСО 10540-2014 | ||
|
н-пентан (С5Н12) |
от 0 до 1,4 (от 0 до 100 % НКПР) |
азот |
- |
- |
- |
О.ч., сорт 2-й по ГОСТ 9293-74 | |
|
- |
0,7 % об.д.±5 % отн. |
1,33 % об.д.±5 % отн. |
- |
±1,5 % отн. |
ГСО 10540-2014 | ||
|
н-бутан (СдНю) |
от 0 до 1,4 (от 0 до 100 % НКПР) |
азот |
- |
- |
О.ч., сорт 2-й по ГОСТ 9293-74 | ||
|
- |
0,7 % об.д.±5 % отн. |
1,33 % об.д.±5 % отн. |
- |
±1,5 % отн. |
ГСО 10540-2014 | ||
|
этилен (С2Н4) |
от 0 до 2,3 (от 0 до 100 % НКПР) |
азот |
- |
- |
- |
- |
О.ч., сорт 2-й по ГОСТ 9293-74 |
|
1,15 % об.д.±5 % отн. |
2,2 % об.д.±5 % отн. |
±1,5 % отн. |
ГСО 10540-2014 | ||||
|
изобутан (i-C4H10) |
от 0 до 1,4 (от 0 до 100 % НКПР) |
азот |
- |
- |
О.ч., сорт 2-й по ГОСТ 9293-74 | ||
|
0,7 % об.д.±5 % отн. |
1,33 % об.д.±5 % отн. |
±1,5 % отн. |
ГСО 10540-2014 | ||||
|
Определяемый компонент |
Диапазон измерений объемной до-ли определяемого компонента, % |
Номинальное значение объемной доли определяемого компонента в ГС и пределы допускаемого отклонения |
Пределы допускаемой погрешности |
Номер ГС по реестру ГСО или источник ГС | |||
|
ГС№ 1 |
ГС №2 |
ГС № 3 |
ГС №4 | ||||
|
диоксид углерода (СО2) |
от 0 до 5 % |
ПНГ -воздух |
- |
- |
- |
- |
Марка Б по ТУ 6- 21-5-82 |
|
- |
0,45 % об.д.±10 % отн. |
- |
- |
±(-2.5Х+2,75) % отн. |
ГСО 10241-2013 | ||
|
2,5 % об.д.±5 % отн. |
4,75 % об.д.± 5% отн. |
±(-0.046X4-1,523) % отн. |
ГСО 10241-2013 | ||||
|
оксид углерода (СО) |
от 0 до 1500 млн'1 (0 до 1750 мг/м3) |
ПНГ -воздух |
- |
- |
- |
- |
Марка Б по ТУ 6- 21-5-82 |
|
0,0036 % об.д. (42 мг/м3)±10 % отн. |
0,075 % об.д. (870 мг/м3)±10 % отн. |
±(-15,15-Х+4,01) % отн. |
ГСО 10260-2013 | ||||
|
0,143 % об.д. (1430 мг/м3) ± 5 % отн. |
±(-2,5-Х+2,75) % отн. |
ГСО 10260-2013 | |||||
|
аммиак (NH3) |
от 0 до 500 млн’1 (от 0 до 354 мг/м3) |
ПНГ - воздух |
- |
- |
- |
- |
Марка Б по ТУ 6- 21-5-82 |
|
0,0033 % об.д. (21 мг/м3)±20 % отн. |
0,025 % об.д. (175 мг/м3)±20 % отн. |
0,0415 % об.д. (305 мг/м3)± 20 % отн. |
±(-15,15X4-4,015) % отн. |
ГСО 10327-2013 | |||
|
от 0 до 40 млн'1 (от 0 до 28 мг/м3) |
ПНГ -воздух |
- |
- |
- |
- |
Марка Б по ТУ 6- 21-5-82 | |
|
0,002 % об.д. (14 мг/м3) ± 20 % отн. |
0,035 % об.д. (25 мг/м3) ± 20 % отн. |
±(-15,15Х+4,015) % отн. |
ГСО 10327-2013 | ||||
|
Определяемый компонент |
Диапазон измерений объемной до-ли определяемого компонента, % |
Номинальное значение объемной доли определяемого компонента в ГС и пределы допускаемого отклонения |
Пределы допускаемой погрешности |
Номер ГС по реестру ГСО или источник ГС | |||
|
ГС№ 1 |
ГС №2 |
ГС№3 |
ГС №4 | ||||
|
фосфин (РНз) |
от 0 до 10 млн’1 (от Одо 14 мг/м3) |
азот |
- |
- |
- |
- |
О.ч., сорт 1-й по ГОСТ 9293-74 |
|
0,000014% об.д. (0,2 мг/м3)±ЗО % отн. |
0,00038 % об.д. (6,0 мг/м3)±ЗО % отн. |
0,0007 % об.д. (10,1 мг/м3)± 30 % отн. |
±8 % отн. |
ГСО 10547-2014 | |||
|
от 0 до 1 млн'1 (от 0 до 1.4 мг/м3) |
азот |
- |
- |
- |
- |
О.ч., сорт 1-й по ГОСТ 9293-74 | |
|
0,00005 % об.д. (0,7 мг/м3) ±30 % отн. |
0,0001 % об.д. (1,2 мг/м3) ± 20 % отн. |
±8 % отн. |
ГСО 10547-2014 | ||||
|
Примечания:
| |||||||
Таблица А.З - Технические характеристики эквивалентных ГС пропан - воздух/азот, используемых при периодической поверке газоанализаторов горючих газов с оптическими сенсорами моделей Ventis Рго5.
|
Определяемый компонент |
Диапазон измерений объемной доли определяемого компонента, % |
Номинальное значение объемной доли определяемого компонента в ГС и пределы допускаемого отклонения |
Пределы допускаемой погреш-ности |
Номер ГС по реестру ГСО или источник ГС | |||
|
ГС№ 1 |
ГС №2 |
ГС№3 |
ГС №4 | ||||
|
этан (С2Н6) |
от 0 до 1,25 (от 0 до 50 % НКПР) |
ПНГ -воздух |
- |
- |
- |
- |
Марка Б по ТУ 6- 21-5-82 |
|
- |
0,5 % об.д.±Ю % отн. |
1,0 % об.д.±10 % отн. |
- |
±2 % отн. |
ГСО 10540-2014 | ||
|
н-бутан (С4Н10) |
от 0 до 0,7 (от 0 до 50 % НКПР) |
ПНГ -воздух |
- |
- |
- |
- |
Марка Б по ТУ 6- 21-5-82 |
|
- |
0,28 % об.д.±10 % отн. |
0,55% об.д.±10 % отн. |
- |
±2 % отн. |
ГСО 10540-2014 | ||
|
н-пентан (С5Н12) |
от 0 до 0,7 (от 0 до 50 % НКПР) |
ПНГ -воздух |
- |
- |
- |
- |
Марка Б по ТУ 6- 21-5-82 |
|
- |
0,3 % об.д.±10 % отн. |
0,6 % об.д.±10 % отн. |
- |
±2 % отн. |
ГСО 10540-2014 | ||
|
гексан (C6Hj4) |
от 0 до 0,5 (от 0 до 50 % НКПР) |
ПНГ -воздух |
- |
- |
- |
- |
Марка Б по ТУ 6- 21-5-82 |
|
- |
0,18 % об.д.±10 % отн. |
0,36 % об.д.±10 % отн. |
- |
±2 % отн. |
ГСО 10540-2014 | ||
|
пропилен (СзНб) |
от 0 до 1,0 (от 0 до 50 % НКПР) |
ПНГ -воздух |
- |
- |
- |
- |
Марка Б по ТУ 6- 21-5-82 |
|
- |
0,2 % об.д.±10 % отн. |
0,4 % об.д.±10 % отн. |
- |
±2 % отн. |
ГСО 10540-2014 | ||
|
Этанол (С2Н5ОН) |
от 0 до 1,5 (от 0 до 50 % НКПР) |
ПНГ -воздух |
- |
- |
- |
- |
Марка Б по ТУ 6- 21-5-82 |
|
0,43 % об.д.±10 % отн. |
0,85 % об.д.±10 % отн. |
±2 % отн. |
ГСО 10540-2014 | ||||
|
Определяемый компонент |
Диапазон измерений объемной доли определяемого компонента, % |
Номинальное значение объемной доли определяемого компонента в ГС и пределы допускаемого отклонения |
Пределы допускаемой погреш-ности |
Номер ГС по реестру ГСО или источник ГС | |||
|
ГС№ 1 |
ГС №2 |
ГС № 3 |
ГС №4 | ||||
|
2-пропанол (i-C3H7OH) |
от 0 до 1,0 (от 0 до 50 % НКПР) |
ПНГ - воздух |
- |
- |
- |
- |
Марка Б по ТУ 6- 21-5-82 |
|
- |
0,26 % об.д.±10 % отн. |
0,53 % об.д.±10 % отн. |
- |
±2 % отн. |
ГСО 10540-2014 | ||
|
метанол (СН3ОН) |
от 0 до 2,75 (от 0 до 50 % НКПР) |
ПНГ - воздух |
- |
- |
- |
- |
Марка Б по ТУ 6- 21-5-82 |
|
- |
0,5 % об.д.±10 % отн. |
1,0 % об.д.±10 % отн. |
- |
±2 % отн. |
ГСО 10540-2014 | ||
|
изобутан (i-C4H10) |
от 0 до 1,0 (от 0 до 50 % НКПР) |
ПНГ - воздух |
- |
- |
- |
- |
Марка Б по ТУ 6- 21-5-82 |
|
- |
0,43 % об.д.±10 % отн. |
0,8 % об.д.±10 % отн. |
- |
±2 % отн. |
ГСО 10540-2014 | ||
|
гептан (С7Н16) |
от 0 до 1,0 (от 0 до 50 % НКПР) |
ПНГ - воздух |
- |
- |
- |
- |
Марка Б по ТУ 6- 21-5-82 |
|
- |
0,27 % об.д.±10 % отн. |
0,55 % об.д.±10 % отн. |
- |
±2 % отн. |
ГСО 10540-2014 | ||
|
октан (С8Н18) |
от 0 до 1,0 (от 0 до 50 % НКПР) |
ПНГ - воздух |
- |
- |
- |
- |
Марка Б по ТУ 6- 21-5-82 |
|
- |
0,2 % об.д.±10 % отн. |
0,4% об.д.±10 % отн. |
- |
±2 % отн. |
ГСО 10540-2014 | ||
Примечания:
-
- изготовители и поставщики ГС - предприятия-производители стандартных образцов состава газовых смесей, прослеживаемых к государственному первичному эталону единиц молярной доли и массовой концентрации компонентов в газовых средах ГЭТ 154-2011;
-
- НКПР для определяемых компонентов в соответствии с ГОСТ 30852.19-2002;
-
- поверочный нулевой газ (ПНГ) - воздух марки Б в баллонах под давлением, выпускаемый по ТУ 6-21-5-82;
Приложение Б
(обязательное)
Схемы подачи ПГС на газоанализаторы портативные многокомпонентные моделей Ventis Pro 4, Ventis Pro 5

-
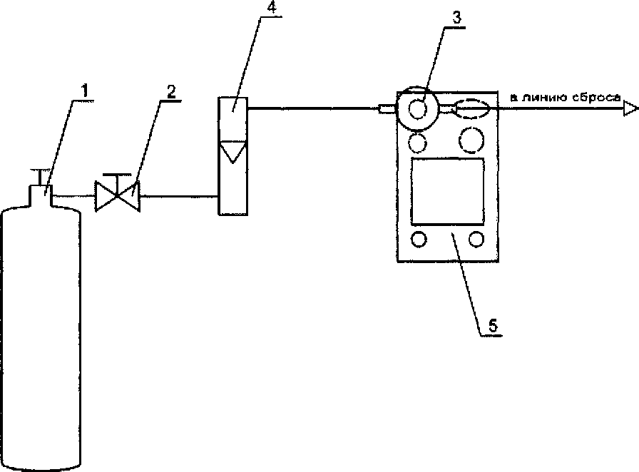
1 - источник ПГС (баллон, ГГС или д.р.);
-
2 - вентиль тонкой регулировки (только при подаче ПГС из баллонов под давлением);
-
3 - насадка;
-
4 - индикатор расхода;
-
5 - газоанализатор.
-
Рисунок Б. 1 - Схема подачи ПГС на газоанализаторы портативные многокомпонентные моделей Ventis Pro 4, Ventis Pro 5 в исполнении для диффузионного отбора
4

-
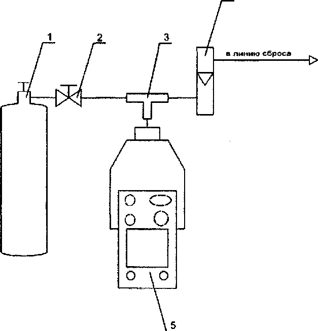
1 - источник ПГС (баллон, ГГС или д.р.);
-
2 - вентиль тонкой регулировки или автоматический вентиль с фиксированным расходом (только при подаче ГС из баллонов под давлением);
-
3 - тройник;
-
4 - индикатор расхода;
-
5 - газоанализатор.
-
Рисунок Б.2 - Схема подачи ГС на газоанализаторы портативные многокомпонентные моделей Ventis Pro 4, Ventis Pro 5 в исполнении для принудительного отбора
Приложение В
(обязательное)
Метрологические характеристики газоанализаторов
Таблица В.1 - Диапазоны измерений, пределы допускаемой основной погрешности и пределы допускаемого времени установления показаний газоанализаторов моделей Ventis Рго4 и Ventis Рго5
|
Определяемый компонент |
Диапазон показаний концентрации компонента |
Диапазон измерений концентрации компонента |
Пределы допускаемой основной погрешности |
Предел допускаемого вре-мени установления показаний СИ Тодд, с | |
|
абсолютной |
относительной, % | ||||
|
Горючие газы1) (термохимический сенсор) |
от 0 до 100 % НКПР2) |
от 0 до 50 % НКПР включ. св. 50 до 50 % НКПР |
±5% НКПР |
- |
15 |
|
Метан (CPU) (термохимический сенсор) |
от 0 до 5,0 % об.д. |
от 0 до 2,2 % об. д. включ. св. 2,2 до 5,0 % об.д. |
±0,2 % об.д. |
- |
15 |
|
Кислород (Ог) (стандарт и long life) |
от 0 до 30 % об.д. |
от 0 до 30 % об.д. |
±0,5 % об.д. |
15 | |
|
от 0 до 10 % об.д. включ. св. 10 до 30 % об.д. |
±0,5 % об.д. |
- | |||
|
Оксид углерода (СО) |
от 0 до 2000 млн'1 (от 0 до 2333 мг/м3) |
от 0 до 40 млн'1 включ. (от 0 до 44 мг/м3 включ.) |
±4 млн'1 (±4 мг/м3) |
- |
20 |
|
св. 40 до 2000 млн' 1 (св. 44 до 2333 мг/м3) |
- |
±10 | |||
|
Оксид углерода (СО), сенсор СО/Нг (с компенсацией чувствительности к водороду) |
от 0 до 1000 млн 1 (от 0 до 1166 мг/м3) |
от 0 до 40 млн'1 включ. (от 0 до 44 мг/м3 включ.) |
±4 млн'1 (±4 мг/м3) |
- |
12 |
|
св. 40 до 1000 млн'1, (св. 44 до 1166 мг/м3) |
- |
±10 | |||
|
Сероводород (H2S) |
от 0 до 500 млн'1 (от 0 до 708 мг/м3) |
от 0 до 15 млн’1 включ. (от 0 до 20 мг/м3 включ.) |
±1,5 млн'1 (±2 мг/м3) |
- |
25 |
|
Определяемый компонент |
Диапазон показаний концентрации компонента |
Диапазон измерений концентрации компонента |
Пределы допускаемой основной погрешности |
Предел допускаемого времени установления показаний СИ Тодд, с | |
|
абсолютной |
относительной, % | ||||
|
св. 15 до 500 млн'1, (св. 20 до 708 мг/м3) |
- |
±10 | |||
|
Диоксид азота (NO2) |
от 0 до 150 млн 1 (от 0 до 290 мг/м3) |
от 0 до 2 млн'1 включ. (от 0 до 3,8 мг/м3 включ.) |
±0,3 млн'1 (±0,6 мг/м3) |
- |
20 |
|
св. 2,0 до 150 млн'1, (св. 3,8 до 290 мг/м3) |
- |
±15 | |||
|
Диоксид серы (SO2) |
от 0 до 150 млн’1 (от 0 до 400 мг/м3) |
от 0 до 6 млн’1 включ. (от 0 до 16 мг/м3 включ.) |
±0,6 млн'1 (±1,6 мг/м3) |
- |
25 |
|
св. 6 до 150 млн’1 включ. (св. 16 до 400 мг/м3 включ.) |
- |
±10 | |||
|
Синильная кислота (HCN)3) |
от 0 до 30 млн'1 (от 0 до 34 мг/м3) |
от 0 до 2 млн'1 включ. (от 0 до 2,3 мг/м3 включ.) |
±0,3 млн’1 (+0,3 мг/м3) |
- |
65 |
|
св. 2 до 30 млн'1 включ. (св. 2,3 до 34 мг/м3 включ.) |
- |
±15 | |||
|
Примечания: Поверочным компонентом является один из следующих определяемых компонентов: ме тан (СН4), метанол (СН3ОН), этан(С2Нб), этанол(С2Н5ОН), пропан (СзНв), 2-пропанол (i-С3Н7ОН), бутан (СдНю), изобутан (С4Н10), пентан (C5Hi2), гексан (СбНи), гептан (С7Н1б), октан (CgHig), водород (Н2), ацетилен (С2Н2), этилен (С2Н4), пропилен (СзНб), бензол (СбНб), оксид этилена (СгЬЦО).
| |||||
Таблица В.2 - Диапазоны измерений, пределы допускаемой основной погрешности и пределы допускаемого времени установления показаний газоанализаторов моделей Ventis Рго5
|
Определяемый компонент |
Диапазон показаний |
Диапазон измерений |
Пределы допускаемой основной погрешности |
Предел допускаемого времени установления показаний СИ Тодд,с | |
|
абсолютной |
относительной, % | ||||
|
Метан (СН4) (оптический сен- |
от 0 до |
от 0 до 2,2 % об. д. включ. |
±0,2 % об. д. |
- |
20 |
|
сор СО2/СН4 или сн4) |
100% об. д. |
св. 2,2 до 100% об. д. |
- |
±9 | |
|
Горючие газы1) (оптический сен- |
от 0 до 100 % |
от 0 до 50 % НКПР включ. |
±5 % НКПР |
- |
20 |
|
сор СО2/СН, СН4 или СН) |
НКПР2 |
св. 50 до 100% НКПР3 |
- |
±10 | |
|
Г орючие газы |
от 0 до 100 % НКПР |
от 0 до 50 % НКПР включ. |
±5 % НКПР |
- | |
|
(оптический сенсор СН4) |
св. 50 до 100% НКПР |
- |
±10 |
20 | |
|
Диоксид углерода (СО2) |
от 0 до 5 % об. д. |
от 0 до 0,5 % об.д. включ. |
±0,05 % об.д. |
- | |
|
(оптический сенсор СО2/СН4 или СО2/СН) |
св. 0,5 до 5 % об. д. |
- |
±10 |
32 | |
|
Оксид углерода (СО) (сенсор COHS-CO и H2S в одном корпусе) |
от 0 до 1500 млн'1 |
от 0 до 40 млн'1 включ. (от 0 до 44 мг/м3 включ.) |
±4 млн'1 (±4 мг/м3) |
- |
35 |
|
(от 0 до 1750 мг/м3) |
св. 40 до 1500 млн'1, (св. 44 до 1750 мг/м3) |
- |
±10 | ||
|
Сероводород (H2S) (сенсор COHS-CO и H2S в одном корпусе) |
от 0 до 500 млн'1 |
от 0 до 15 млн'1 включ. (от 0 до 20 мг/м3 включ.) |
±1,5 млн'1 (±2 мг/м3) |
- |
20 |
|
(от 0 до 708 мг/м3) |
св. 15 до 500 млн'1, (св. 20 до 708 мг/м3) |
- |
±10 | ||
Продолжение таблицы В.2
|
Определяемый компонент |
Диапазон показаний |
Диапазон измерений |
Пределы допускаемой основной погрешности |
Предел допускаемого времени установления показаний СИ То.9Д, С | |
|
абсолютной |
относительной, % | ||||
|
Аммиак (NH3) |
от 0 до 500 млн'1 (от 0 до 354 мг/м3) |
от 0 до 40 млн'1 включ. (от 0 до 28 мг/м3 включ.) |
±6 млн'1 (±4 мг/м3) |
- |
84 |
|
св. 40 до 500 млн'1, (св. 28 до 354 мг/м3) |
- |
±15 | |||
|
Фосфин4) (РН3) |
от 0 до 10 млн'1 (от Одо 14 мг/м3) |
от 0 до 1 млн'1 включ. (от 0 до 1,4 мг/м3 включ.) |
±0,15 млн’1 (±0,21 мг/м3) |
- |
20 |
|
св. 1 до 10 млн'1, (св. 1,4 до 14 мг/м3) |
- |
±15 | |||
|
Примечания: Поверочным компонентом является один из следующих определяемых компонентов: метанол (СН3ОН), этан(СгНб), этанол (С2Н5ОН), пропан (СзНв), 2-пропанол (ГСз^ОН), бутан (С4Ню), изобутан (С4Н10), пентан (С5Н12), гексан (СбНм), гептан (С7Н16), октан (CgHjg), этилен (С2Н4).
| |||||
Приложение Г
(обязательное)
Форма протокола поверки газоанализатора портативного многокомпонентного моделей Ventis Pro 4, Ventis Pro 5
ПРОТОКОЛ
поверки газоанализатора портативного многокомпонентного моделей Ventis Pro 4, Ventis Pro 5
Дата поверки: «____»_____________20___г.
Заводской номер:______________
Температура окружающей среды:_______°C.
Относительная влажность воздуха:_______%.
Атмосферное давление:_______мм рт. ст.
Результаты поверки
Результаты внешнего осмотра___________________________________
Результаты опробования_________________________________________
Результаты определения метрологических характеристик:
|
Состав и номер ПГС |
Номинальное значение содержания определяемого компонента |
Показания системы |
Пределы основной приведенной погрешности |
Пределы основной относительной погрешности |
Заключение о годности_______________________________________________________
Поверитель
Подпись
Ф.И.О.
27
