Методика поверки «Аппаратура поверки эталонов и средств измерений силы излучения и энергетической освещенности, освещенности и яркости непрерывного излучения» (МП 005.М4-18)
УТВЕРЖДАЮ
Заместитель директора

«15» января 2018 г.
«ВНИИОФИ»
/Р.А. Родин
Государственная система обеспечения единства измерений
Аппаратура поверки эталонов и средств измерений силы излучения и энергетической освещенности, освещенности и яркости непрерывного излучения
Методика поверки
МП 005.М4-18
Москва
2018 г
1 Введение
Настоящая методика распространяется на аппаратуру поверки эталонов и средств измерений силы излучения и энергетической освещенности, освещенности и яркости непрерывного излучения (далее - аппаратура), предназначенную для поверки эталонов и средств измерений силы излучения (далее - СИ) и энергетической освещенности (далее - ЭО), освещенности непрерывного излучения (далее - О) и яркости непрерывного излучения (далее -Я), и устанавливает операции при проведении их первичной и периодической поверок.
Производство единичное.
Аппаратура состоит из следующих составных частей:
-
- Прецизионного группового фотометра ПГФ-01;
-
- протяженного равномерного источника яркости КВФШ.418233.007;
-
- прецизионного группового радиометра ПГР КВФШ.203581.006 зав. № 01;
-
- прецизионного группового радиометра ПГР КВФШ.203581.006 зав. № 02.
Допускается проведение поверки отдельных составных частей в соответствии с письменным заявлением владельца аппаратуры с обязательным указанием информации об объеме проведенной поверки в перечне поверенных составных частей, являющемся неотъемленной частью свидетельства о поверке аппаратуры.
Составные части аппаратуры, прошедшие поверку с отрицательным результатом, выводятся из эксплуатации и не включаются в перечень поверенных составных частей, являющийся неотъемлемой частью свидетельства о поверке аппаратуры.
Интервал между поверками -1 год.
-
2 Операции поверки
2.1 При проведении первичной и периодической поверок выполняются операции, указанные в таблице 1.
Таблица 1
№ п/п |
Наименование операции |
Номер пункта НДпо поверке |
Обязательность выполнения операции | |
При первичной поверке |
При периодической поверке | |||
1 |
Внешний осмотр |
8.1 |
Да |
Да |
2 |
Опробование |
8.2 |
Да |
Да |
3 |
Подтверждение соответствия программного обеспечения |
8.3 | ||
4 |
Определение коэффициента преобразования фотометрических головок из состава прецизионного группового фотометра ПГФ-01 |
8.4 |
Да |
Да |
5 |
Определение диапазона измерений О |
8.5 |
Да |
Да |
6 |
Определение диапазона измерений Я |
8.6 |
Да |
Да |
7 |
Расчет суммарного среднего квадратического отклонения результата сличения с государственным первичным эталоном по О и Я |
8.7 |
Да |
Да |
8 |
Определение коэффициента преобразования теплоприемников из состава прецизионных групповых радиометров ПГР КВФШ.203581.006 |
8.8 |
Да |
Да |
9 |
Определение диапазона |
8.9 |
Да |
Да |
измерений СИ и ЭО | ||||
10 |
Расчет суммарного среднего квадратического отклонения результата сличения с государственным первичным эталоном по СИ и ЭО * |
8.10 |
Да |
Да |
и |
Расчет относительной погрешности измерений СИ и ЭО ** |
8.11 |
Да |
Да |
* - проводится при поверке прецизионного группового радиометра ПГР КВФШ.203581.006 в ранге вторичного эталона ** - проводится при поверке прецизионного группового радиометра ПГР КВФШ.203581.006 в ранге рабочего эталона 1-го разряда |
-
2.2 При получении отрицательных результатов при проведении хотя бы одной операции поверка прекращается.
-
2.3 Поверку средств измерений осуществляют аккредитованные в установленном порядке в области обеспечения единства измерений юридические лица и индивидуальные предприниматели.
-
3 Средства поверки
3.1 При проведении первичной и периодических поверок применяются средства поверки, указанные в таблице 2.
Таблица 2
Номер пункта методики |
Наименование и основного или вспомогательного средства поверки; обозначение НД, регламентирующего метрологические и основные технические характеристики средства поверки |
Основные технические и (или) метрологические характеристики |
8.4 - 8.7 |
1 Государственный первичный специальный эталон единицы силы света малых уровней в диапазоне от 10'6до 10 кд ГЭТ 214-2014. |
Диапазон значений освещенности непрерывного излучения, воспроизводимых эталоном, составляет от 10'6 до 10 лк; Среднее квадратическое отклонение (СКО): от 0,41 до 0,59 % в зависимости от диапазона; Неисключенная систематическая погрешность (НСП): от 0,51 до 0,89 % в зависимости от диапазона. |
2 Государственный первичный эталон по ГОСТ 8.023-2014 (ГЭТ по ГОСТ 8.023-2014) |
Диапазон значений силы света непрерывного излучения, воспроизводимых эталоном, составляет от 35 до 1000 кд; СКО не превышает 0,1 %; НСП не превышает 0,25 %. |
8.8-8.11 |
Государственный первичный эталон по ГОСТ 8.195-2013 (ГЭТ по ГОСТ 8.195-2013) |
Диапазон значений силы излучения, воспроизводимых эталоном в диапазоне длин волн от 0,2 до 25,0 мкм, составляет от 10 до 100 Вт/ср; Диапазон значений энергетической освещенности, воспроизводимых эталоном в диапазоне длин волн от 0,2 до 25,0 мкм, составляет от 10 до 2000 Вт/м2; СКО не превышает 0,1 %; НСП не превышает 0,1 %. |
Вторичный эталон по ГОСТ 8.195-2013 (ВЭТ по ГОСТ 8.195-2013) |
Диапазон измерений силы излучения в диапазоне длин волн от 0,3 до 4,5 мкм, составляет от 10 до 100 Вт/ср; Диапазон измерений энергетической освещенности в диапазоне длин волн 0,3 до 4,5 мкм составляет от 10 до 2000 Вт/м2; Суммарное СКО результата сличения с государственным первичным эталоном по силе излучения и энергетической освещенности не превышает 0,2 %. |
-
3.2 Средства поверки, указанные в таблице 2, должны быть поверены и аттестованы в установленном порядке.
4 Требования к квалификации поверителей
К проведению поверки допускаются лица, изучившие настоящую методику и Руководство по эксплуатации излучателей и средств поверки, имеющие квалификационную группу не ниже III в соответствии с правилами по охране труда при эксплуатации электроустановок, указанными в приложении к приказу Министерства труда и социальной защиты РФ от 24.07.13 № 328Н, прошедшие обучение на право проведения поверки по требуемому виду измерений, ученый хранитель, либо лица, допущенные к работе на ГПЭ.
5 Требования безопасности и охраны окружающей среды
-
5.1 При проведении поверки следует соблюдать требования, установленные ГОСТ Р 12.1.031-2010, ГОСТ 12.1.040-83, правилами по охране труда при эксплуатации электроустановок, указанными в приложении к приказу Министерства труда и социальной защиты РФ от 24.07.13 № 328Н. Оборудование, применяемое при поверке, должно соответствовать требованиям ГОСТ 12.2.003-91. Воздух рабочей зоны должен соответствовать ГОСТ 12.1.005-88 при температуре помещения, соответствующей условиям испытаний для легких физических работ.
-
5.2 При выполнении поверки должны соблюдаться требования Руководства по эксплуатации аппаратуры.
-
5.3 Помещение, в котором проводится поверка, должно соответствовать требованиям пожарной безопасности по ГОСТ 12.1.004-91 и иметь средства пожаротушения по ГОСТ 12.4.009-83.
-
5.4 Аппаратура не оказывает опасных воздействий на окружающую среду и не требует специальных мер по защите окружающей среды.
6 Условия поверки
-
6.1 При проведении поверки должны быть соблюдены следующие условия:
-
- температура окружающей среды, °C
-
- относительная влажность воздуха, %, не более
-
- атмосферное давление, мм рт.ст.
-
- напряжение питающей сети переменного тока, В
-
от +15 до +25;
80;
от 720 до 760;
от 198 до 242;
- частота питающей сети переменного тока, Гц от 49 до 51.
-
6.2 Помещение, в котором проводится поверка, должно быть чистым и сухим. В помещении не должно быть кислотных, щелочных и других газов, способных вызвать значительную коррозию металлов, а также газообразных органических растворителей (например, бензина и разбавителя), способных вызвать коррозию краски.
-
6.3 В помещении не допускаются посторонние источники оптического излучения, мощные постоянные и переменные электрические и магнитные поля.
7 Подготовка к поверке
-
7.1 Перед началом работы с аппаратурой необходимо внимательно изучить Руководства по эксплуатации на составные части аппаратуры (далее - РЭ), а также ознакомиться с правилами подключения составных частей аппаратуры.
-
7.2 Проверить наличие средств поверки по таблице 2, укомплектованность их документацией и необходимыми элементами соединений.
-
7.3 Если на приемной поверхности фотометрических головок (далее - ФГ) из состава прецизионного группового фотометра ПГФ-01 (далее - фотометра), теплоприемников ФОА-036 (далее - ТП) из состава прецизионного группового радиометра ПГР КВФШ.203581.006 (далее - радиометра), апертурной диафрагмы и колбах ламп КГМН 27-5, КГМ 12-35 и КГМ 24-100 (далее - ламп) протяженного равномерного источника яркости КВФШ.418233.007 (далее -ПРИЯ) имеются загрязнения, то следует удалить грязь с помощью чистой мягкой ткани.
-
7.4 Работа с лампами ПРИЯ проводится в хлопчатобумажных перчатках.
-
8 Проведение поверки
8.1 Внешний осмотр
-
8.1.1 При внешнем осмотре должно быть установлено соответствие комплектности составных частей аппаратуры РЭ.
Проверяют соответствие расположения органов управления, надписей и обозначений требованиям технической документации; отсутствие механических повреждений на наружных поверхностях составных частей аппаратуры, влияющих на их работоспособность; чистоту гнезд, разъемов и клемм; состояние соединительных кабелей.
Стекло колбы ламп ПРИЯ должно быть бесцветным и чистым (внутри и снаружи), должны отсутствовать царапины, трещины, пятна распыления тела накала. На колбе не должно быть свилей, пузырей и прочих неоднородностей, видимых невооруженным глазом. Цоколь должен быть прочно скреплен с колбой, на нем не должно быть повреждений.
-
8.1.2 Аппаратура считается прошедшей операцию поверки, если корпуса составных частей, внешние элементы, органы управления и индикации не повреждены, отсутствуют механические повреждения и ослабления элементов конструкции, на колбе и цоколе ламп ПРИЯ отсутствуют повреждения и цоколь прочно скреплен с колбой, а комплектность соответствует комплектности, приведенной в таблице 3.
Таблица 3
Наименование |
Обозначение |
Количество |
Прецизионный групповой радиометр ПГР в составе: Теплоприемник ФОА-036 Вольтметр универсальный В7-78/1 Пластина из сапфира WP-AL-63.5-3 |
КВФШ.203581.006 БЫ2.825.036 |
1 шт. 1 шт. |
Прецизионный групповой фотометр ПГФ-01 в составе: |
- |
1 шт. |
Фотометрическая головка |
3 шт. | |
Блок питания термостабилизации |
3 шт. | |
У силитель-преобразователь трехканальный |
1 шт. | |
Вольтметр универсальный В7-78/1 |
1 шт. | |
Оптический ослабитель |
1 шт. | |
Протяженный равномерный источник яркости в |
КВФШ.418233.007 |
1 шт. |
составе: | ||
Источник яркости на базе сферы 500 мм |
1 шт. | |
Лампа КГМН 27-5 |
2 шт. | |
Лампа КГМ 12-35 |
2 шт. | |
Лампа КГМ 24-100 |
1 шт. | |
Комплект ЗИП |
1 комплект | |
Программное обеспечение на CD диске |
643.КВФШ.00014-01 |
1 шт. |
Руководство по эксплуатации прецизионного |
КВФШ.203581.006РЭ |
1 экз. |
группового радиометра ПГР | ||
Руководство по эксплуатации прецизионного |
- |
1 экз. |
группового фотометра ПГФ-01 | ||
Руководство по эксплуатации протяженного |
КВФШ.418233.007РЭ |
1 экз. |
равномерного источника яркости | ||
Методика поверки |
МП 005.М4-18 |
1 экз. |
8.2 Опробование
-
8.2.1 Опробование радиометров
-
8.2.1.1 Установить ТП из состава радиометра в ранге вторичного эталона (рабочего эталона 1 -го разряда) на одной оптической оси с источником излучения из состава ГЭТ (ВЭТ) по ГОСТ 8.195-2013.
-
8.2.1.2 Включить источник излучения из состава ГЭТ (ВЭТ) по ГОСТ 8.195-2013 и вольтметр радиометра.
-
8.2.1.3 Повторить 8.2.1.1-8.2.1.2 для каждого ТП из состава радиометра.
-
8.2.1.4 Повторить 8.2.1.1-8.2.1.3 для каждого радиометра.
-
8.2.2 Опробование фотометра.
-
8.2.2.1 Установить ФГ из состава фотометра на одной оптической оси с источником излучения из состава ГЭТ по ГОСТ 8.023-2014. Приемная поверхность ФГ должна быть расположена в плоскости, перпендикулярной к оптической оси.
-
8.2.2.2 Включить усилитель-преобразователь, блок питания термостабилизации и вольтметр фотометра. Включить источник излучения.
-
8.2.2.3 Повторить 8.2.2.1-8.2.2.2 для каждой ФГ из состава фотометра.
-
8.2.3 Опробование ПРИЯ.
-
8.2.3.1 Установить ФГ из состава фотометра перед ПРИЯ.
-
8.2.3.2 Включить усилитель-преобразователь, блок питания термостабилизации и вольтметр фотометра. Включить ПРИЯ.
-
8.2.4 Аппаратура признается прошедшей операцию поверки, если включение прошло успешно, все органы управления работают исправно, на вольтметре радиометра появился сигнал от ТП, а на вольтметре фотометра появился сигнал от ФГ.
8.3 Подтверждение соответствия программного обеспечения
-
8.3.1 Проверяют соответствие заявленных идентификационных данных программного обеспечения, идентификационное наименование программного обеспечения, номер версии программного обеспечения.
-
8.3.2 Проводят проверку уровня защиты программного обеспечения от непреднамеренных и преднамеренных изменений (уровни низкий, средний или высокий).
-
8.3.3 Проводят оценку влияния программного обеспечения на метрологические характеристики аппаратуры.
-
8.3.4 Аппаратура признается прошедшей операцию поверки, если уровень защиты программного обеспечения от непреднамеренных и преднамеренных изменений соответствует уровню «средний» согласно Р 50.2.077-2014, а идентификационные данные программного обеспечения соответствуют значениям, приведенным в таблице 4.
Таблица 4
Идентификационные данные (признаки) |
Значение |
Идентификационное наименование ПО |
643.КВФШ.00014-01 |
Номер версии (идентификационный номер) ПО, не ниже |
1.0 |
Цифровой идентификатор ПО |
- |
8.4 Определение коэффициента преобразования фотометрических головок из состава прецизионного группового фотометра ПГФ-01
-
8.4.1 Коэффициент преобразования ФГ из состава фотометра определяют методом компарирования с первичным фотометром (далее - ПФ) из состава ТЭТ по ГОСТ 8.023-2014.
-
8.4.2 Установить ПФ из состава ТЭТ по ГОСТ 8.023-2014 на одной оптической оси со светоизмерительной лампой СИС 107-500 из состава ГЭТ по ГОСТ 8.023-2014 на расстоянии 1 м. Приемная поверхность ПФ из состава ГЭТ по ГОСТ 8.023-2014 и плоскость нитей накала светоизмерительной лампы СИС 107-500 из состава ГЭТ по ГОСТ 8.023-2014 должны быть расположены в плоскости, перпендикулярной к оптической оси.
-
8.4.3 Включить ПФ из состава ГЭТ по ГОСТ 8.023-2014 и светоизмерительную лампу СИС 107-500 из состава ГЭТ по ГОСТ 8.023-2014 с режимом электропитания, соответствующим источнику типа А (из свидетельства о поверке). Измерить О в плоскости ПФ из состава ГЭТ по ГОСТ 8.023-2014.
-
8.4.4 Установить к-ю ФГ из состава фотометра на место ПФ из состава ГЭТ по ГОСТ 8.023-2014.
-
8.4.5 Снять j-й сигнал с к-й ФГ из состава фотометра /фг^, нА.
-
8.4.6 Определить j-й коэффициент преобразования к-й ФГ из состава фотометра S^-kj , нА/лк по формуле 1:
(1)
где Z(j>rkj -j-й сигнал с к-й ФГ из состава фотометра, нА;
£упф - О, измеренная ПФ из состава ГЭТ по ГОСТ 8.023-2014, лк.
-
8.4.7 Повторить 8.4.5-8.4.6 десять раз.
-
8.4.8 Рассчитать среднее значение коэффициента преобразования к-й ФГ из состава фотометра 5фгк, нА/лк по формуле 2:
*^фг* = ^'Х'^фгА/ ’ (2)
где tS^rkj -j-й коэффициент преобразования к-й ФГ из состава фотометра, нА/лк; п - число наблюдений (п = 10).
-
8.4.9 Повторить 8.4.4-8.4.8 для остальных ФГ из состава фотометра (&=3).
-
8.4.10 Запустить программу управления работой аппаратуры 643.КВФШ.00014-01. В основном окне выбрать вкладку «Установки» (рисунок 1).
В окно «Параметры приемников» занести средние значения коэффициента преобразования всех ФГ из состава фотометра (ПГФ 1; ПГФ 2; ПГФ 3 соответственно).
СС И О. СИ и ЭО
; Измерения СС и О [ИамармшЭОиСИ j Измерения яркости
Подключение модуля заслонок
Порт СОМ5 ж Открыть/
,--------------------------------------------1 закрыть
I Диагностике и пожлочение j
Моиктсю лфвметрое электропитания ламп

Расстояние ©т лампы ж> ирие***к»

Лодкпочеиие линейки
{ Подключение !

Рисунок 1 - Вкладка «Установки» основного окна программы 643 .КВФШ.00014-01
-
8.4.11 Аппаратура считается прошедшей операцию поверки, если коэффициенты преобразования ФГ из состава фотометра установлены и внесены в программу управления работой аппаратуры 643 .КВФШ.00014-01.
8.5 Определение диапазона измерений О
-
8.5.1 Определение диапазона измерений О проводят на ГЭТ 214-2014 и ГЭТ по ГОСТ 8.023-2014.
-
8.5.2 Запустить программу 643.КВФШ.00014-01 и выбрать вкладку «Измерения СС и О» (рисунок 2).
-
8.5.3 Установить к-ю ФГ из состава фотометра на одной оптической оси с источником силы света малых уровней (далее - источник света) из состава ГЭТ 214-2014.
-
8.5.4 Включить источник света из состава ГЭТ 214-2014 и установить на нем силу света непрерывного излучения, соответствующую значению О в плоскости ФГ около 1 лк. Установить к-ю ФГ из состава фотометра на расстоянии, соответствующем значению О в
Рисунок 2 - Вкладка «Измерения СС и О» основного окна программы 643 .КВФШ.00014-01
-
8.5.5 Включить усилитель-преобразователь, блок питания термостабилизации и вольтметр фотометра.
-
8.5.6 Измерить к-й ФГ из состава фотометра z-e значение О Е^„ лк, запустив процесс измерений нажатием кнопки «Приступить к измерениям».
-
8.5.7 Повторить 8.5.3 - 8.5.6 поочередно для остальных ФГ из состава фотометра (к=3).
-
8.5.8 За z-й результат наблюдения О фотометром принимают среднее арифметическое результатов наблюдений О тремя ФГ из состава фотометра Ev„ лк, рассчитанное по формуле 3:
где Еу*,- -z-й результат наблюдения О к-й ФГ из состава фотометра, лк;
к - номер ФГ из состава фотометра.
-
8.5.9 Повторить 8.5.3 - 8.5.8 десять раз.
-
8.5.10 За результат измерения О фотометром принимают среднее арифметическое результатов наблюдений, рассчитанное по формуле 4:
и /=п
(4)
где Ev, - z-й результат наблюдения О фотометром, лк;
п - число наблюдений (п = 10).
-
8.5.11 Повторить 8.5.3 - 8.5.10 для значений О около 35, 500 лк (от эталонных светоизмерительных ламп накаливания из состава ГЭТ по ГОСТ 8.023-2014) и около 5000, 20000, 50000 и 100000 лк (от эталонного телецентрического осветителя "ЭТО-2" из состава ГЭТ по ГОСТ 8.023-2014).
-
8.5.12 Аппаратура считается прошедшей операцию поверки, если нижнее значение диапазона измерений О не более 1, а верхнее значение не менее 1 ■ 105 лк.
8.6 Определение диапазона измерений Я
-
8.6.1 Определение диапазона измерений Я проводят на ГЭТ 214-2014 и ГЭТ по ГОСТ 8.023-2014.
-
8.6.2 Запустить программу 643.КВФШ.00014-01 и выбрать вкладку «Измерения яркости»
Рисунок 3 - Вкладка «Измерения яркости» основного окна программы 643.КВФШ.00014-01
-
-
8.6.3 Установить ПРИЯ на одной оптической оси с ПФ из состава ГЭТ 214-2014.
-
8.6.4 Включить ПФ из состава ГЭТ 214-2014 и ПРИЯ. Установить на ПРИЯ значение Я, соответствующее около Г1 О'4 кд/м2.
-
8.6.5 Измерить ПФ из состава ГЭТ 214-2014 z-e значение Я Lv„ кд/м2.
-
8.6.6 Повторить 8.6.5 десять раз (z =10).
-
8.6.7 За результат измерения Я ПРИЯ принимают среднее арифметическое результатов наблюдений, рассчитанное по формуле 5:
и i=n
(5)
где Lv, - z-й результат наблюдения Я ПРИЯ, кд/м2;
п - число наблюдений (л = 10).
-
8.6.8 Повторить 8.6.5 - 8.6.7 для значений Я ПРИЯ около 10'2 и 10 кд/м2.
-
8.6.9 Повторить 8.6.3 - 8.6.7 для значений Я ПРИЯ около 102 и 104 кд/м2, установив ПРИЯ на одной оптической оси с ПФ из состава ГЭТ по ГОСТ 8.023-2014.
-
8.6.10 Аппаратура считается прошедшей операцию поверки, если нижнее значение диапазона измерений Я не более 1104,а верхнее значение не менее 1 • 104 кд/м2.
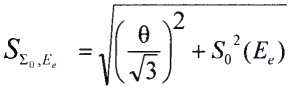
8.7 Расчет суммарного среднего квадратического отклонения результата сличения с государственным первичным эталоном по О и Я
-
8.7.1 Суммарное среднее квадратическое отклонение (далее - СКО) результатов сличений с ГЭТ по О, %, определяют по формуле 6:
= J^2 + s02(A) . (6)
где 0 - неисключенная систематическая погрешность (далее - НСП) результатов измерений при передаче единицы О, % (из паспорта на ГЭТ);
SO(EV) - СКО случайной относительной погрешности результатов измерений при передаче единицы О, %, рассчитывается по формуле 7:
Ev]]n(n-1) ft
где Evi - i-й результат наблюдения О фотометром, лк;
Ev - результат измерения (среднее арифметическое результатов наблюдений) О фотометром, лк;
п - число наблюдений (п = 10).
-
8.7.2 Суммарное СКО результатов сличений с ГЭТ по Я, %, определяют по формуле 8:
где 0 - НСП результатов измерений при передаче единицы Я, % (из паспорта на ГЭТ);
SO(LV) - СКО случайной относительной погрешности результатов измерений при передаче единицы Я, %, определяемое по формуле 9:
■100% |9) A V n(n-l)
где Lvi - i-й результат наблюдения Я ПРИЯ, кд/м2;
Д - результат измерения (среднее арифметическое результатов наблюдений) Я ПРИЯ, кд/м2;
п - число наблюдений (и = 10).
-
8.7.3 Аппаратура считается прошедшей операцию поверки, если суммарное среднеквадратическое отклонение результатов сличений с государственным первичным эталоном не превышает 0,3 % по О и составляет от 0,8 до 0,5 % по Я.
-
8.8 Определение коэффициента преобразования теплоприемников из состава прецизионных групповых радиометров ПГР КВФШ.203581.006
-
8.8.1 Коэффициент преобразования ТП из состава радиометра в ранге вторичного эталона определяют методом компарирования с первичным приемником (далее - ПП) из состава ГЭТ по ГОСТ 8.195-2013.
-
8.8.1.1 Установить ПП из состава ГЭТ по ГОСТ 8.195-2013 на одной оптической оси с источником излучения из состава ГЭТ по ГОСТ 8.195-2013.
-
8.8.1.2 Включить источник излучения и ПП из состава ГЭТ по ГОСТ 8.195-2013. Измерить ЭО в плоскости ПП из состава ГЭТ по ГОСТ 8.195-2013.
-
8.8.1.3 Установить к-й ТП из состава радиометра на место ПП из состава ГЭТ по ГОСТ 8.195-2013.
-
8.8.1.4 Снять j-й сигнал с k-го ТП из состава радиометра t/Tnkj, мкВ.
-
8.8.1.5 Определить j-й коэффициент преобразования k-го ТП из состава радиометра STnkj, мкВ/(Вт/м2) по формуле 10:
ОО) ^епп
где t/Tnkj -j-й сигнал с k-го ТП из состава радиометра, мкВ;
Еепп - ЭО, измеренная ПП из состава ГЭТ по ГОСТ 8.195-2013, Вт/м2.
-
8.8.1.6 Повторить 8.8.1.4 - 8.8.1.5 десять раз.
-
8.8.1.7 Рассчитать среднее значение коэффициента преобразования k-го ТП из состава радиометра STnk, мкВ/(Вт/м2) по формуле 11:
S,„, = , (11)
IU у=1
где *Synkj -/-й коэффициент преобразования k-го ТП из состава радиометра, мкВ/(Вт/м2); п - число наблюдений (и = 10).
-
8.8.1.8 Повторить 8.8.1.3 - 8.8.1.7 для остальных ТП из состава радиометра (£=3).
-
8.8.1.9 Запустить программу управления работой аппаратуры 643.КВФШ.00014-01. В основном окне выбрать вкладку «Установки» (рисунок 1).
В окно «Параметры приемников» занести средние значения коэффициента преобразования всех ТП из состава радиометра (ПГР 1; ПГР 2; ПГР 3 соответственно).
-
8.8.2 Коэффициент преобразования ТП из состава радиометра в ранге рабочего эталона 1-го разряда определяют методом компарирования с приемником из состава ВЭТ по ГОСТ 8.195-2013.
-
8.8.2.1 Повторить действия из 8.8.1.1 - 8.8.1.9 для ВЭТ.
-
8.8.3 Аппаратура считается прошедшей операцию поверки, если коэффициенты преобразования ТП из состава радиометров установлены и внесены в программу управления работой аппаратуры 643.КВФШ.00014-01.
8.9 Определение диапазона измерений СИ и ЭО
-
8.9.1 Определение диапазона измерений СИ и ЭО для радиометра в ранге вторичного эталона проводят на ГЭТ по ГОСТ 8.195-2013.
-
8.9.1.1 Запустить программу 643.КВФШ.00014-01 и выбрать вкладку «Измерения ЭО и СИ» (рисунок 4).
Рисунок 4 - Вкладка «Измерения ЭО и СИ» основного окна программы 643.КВФШ.00014-01
-
8.9.1.2 Установить к-й ТП из состава радиометра на одной оптической оси с источником излучения из состава ГЭТ по ГОСТ 8.195-2013.
-
8.9.1.3 Включить источник излучения и установить на нем СИ, соответствующую значению ЭО в плоскости ТП около 10 Вт/м2.
-
8.9.1.4 Установить к-й ТП из состава радиометра на расстоянии, соответствующем значению ЭО в плоскости ТП около 10 Вт/м2, и осветить в направлении, перпендикулярном к ее приемной поверхности. Включить радиометр.
-
8.9.1.5 Измерить к-м ТП из состава радиометра z-e значение ЭО Ее&, Вт/м2, запустив процесс измерений нажатием кнопки «Приступить к измерениям».
-
8.9.1.6 Повторить 8.9.1.2 - 8.9.1.5 поочередно для остальных ТП из состава радиометра (£=3).
-
8.9.1.7 За z-й результат наблюдения ЭО радиометром принимают среднее арифметическое результатов наблюдений ЭО тремя ТП из состава радиометра Ее(, Вт/м2, рассчитанное по формуле 12:
где Ее£/ -z-й результат наблюдения ЭО к-м ТП из состава радиометра, Вт/м2; к - номер ТП из состава радиометра.
-
8.9.1.8 3а z-й результат наблюдения СИ радиометром принимают СИ 1е/, Вт/ср, рассчитанную по формуле 13:
(13) где Ее( -z-й результат наблюдения ЭО радиометром, Вт/м2;
/ — расстояние от источника излучения до плоскости ТП из состава радиометра, обеспечивающее требуемое значение СИ, м.
-
8.9.1.9 Повторить 8.9.1.2 - 8.9.1.8 десять раз.
-
8.9.1.10 За результат измерений СИ и ЭО радиометром принимают среднее арифметическое результатов наблюдений, рассчитанное по формулам 14 и 15 соответственно:
где 1е( - z-й результат наблюдения СИ радиометром, Вт/ср;
Eei - i-й результат наблюдения ЭО радиометром, Вт/м2;
п - число наблюдений (и = 10).
-
8.9.1.11 Повторить 8.9.1.2 - 8.9.1.10 для значений ЭО от источника излучения около 2000 Вт/м2.
-
8.9.2 Определение диапазона измерений СИ и ЭО для радиометра в ранге рабочего эталона 1-го разряда проводят на ВЭТ по ГОСТ 8.195-2013.
-
8.9.2.1 Повторить действия из 8.9.1.1 - 8.9.1.11 для ВЭТ.
-
8.9.3 Аппаратура считается прошедшей операцию поверки, если нижнее значение диапазона измерений ЭО составляет не более 10, а верхнее значение не менее 2000 Вт/м2; нижнее значение диапазона измерений СИ не более 10 для радиометра в ранге вторичного эталона (не более 1 для радиометра в ранге рабочего эталона 1 -го разряда), а верхнее значение не менее 100 Вт/ср.
8.10 Расчет суммарного среднего квадратического отклонения результата сличения с государственным первичным эталоном по СИ и ЭО
-
8.10.1 Суммарное СКО результатов сличений с ТЭТ по СИ, %, определяют по формуле 16:
\2
+ 502(Д),
(16)
)
где 0 - НСП результатов измерений при передаче единицы СИ, % (из паспорта на ТЭТ); So(Ie) ~ СКО случайной относительной погрешности результатов измерений при передаче единицы СИ, %, рассчитывается по формуле 17:
S-U") = tL п /с^и(и-1) /=1
где Iei - i-й результат наблюдения СИ радиометром, Вт/ср;
1е - результат измерения (среднее арифметическое результатов наблюдений) СИ радиометром, Вт/ср;
п - число наблюдений (п = 10).
8.10.2 Суммарное СКО результатов сличений с ГЭТ по ЭО, %, определяют по формуле 18:
(17)
5
(18)
где & - НСП результатов измерений при передаче единицы ЭО, % (из паспорта на ГЭТ); So(Ee) - СКО случайной относительной погрешности результатов измерений при передаче единицы ЭО, %, рассчитывается по формуле 19:
S.(£.) = i.M=-/2(£»-I^-100% <19>£е^и(и-1)
где Ее, - i-й результат наблюдения ЭО радиометром, Вт/ср;
Ее - результат измерения (среднее арифметическое результатов наблюдений) ЭО радиометром, Вт/ср;
п - число наблюдений (п = 10).
-
8.10.3 Аппаратура считается прошедшей операцию поверки, если суммарное среднеквадратическое отклонение результатов сличений с государственным первичным эталоном по СИ и ЭО не превышает 0,2 %.
8.11 Расчет относительной погрешности измерений СИ и ЭО
-
8.11.1 Относительную погрешность измерений СИ, %, определяют по формуле 20:
(20)
где SSo/ - суммарное CKO результатов сличений ВЭТ с ГЭТ по СИ, % (из свидетельства об аттестации ВЭТ);
Део/ - погрешность метода передачи, % (из свидетельства об аттестации ВЭТ);
So(Ie) - СКО случайной относительной погрешности результатов измерений при передаче единицы СИ, %, рассчитывается по формуле 21:
(21)
-
где lei - z-й результат наблюдения СИ радиометром, Вт/ср;
1е - результат измерения (среднее арифметическое результатов наблюдений) СИ радиометром, Вт/ср;
п - число наблюдений {п = 10);
К - коэффициент, зависящий от соотношения случайной составляющей погрешност: НСП, определяемый по формуле 22:
Л,= (/S0(/,) + (S
(50(/е) +

(22)
где t - коэффициент Стьюдента (to,95 (п = 10) = 2,262).
8.11.2 Относительную погрешность измерений ЭО, %, определяют по формуле 23: = A-^(E,) + 1(S
V >Хо,£-в +ДЕ0,£-в) ,
где SSo7. - суммарное СКО результатов сличений ВЭТ с ГЭТ по СИ, % свидетельства об аттестации ВЭТ);
ДеоЛ; - погрешность метода передачи, % (из свидетельства об аттестации ВЭТ);
(23)
(из
So(Ee) - СКО случайной относительной погрешности результатов измерений при передаче единицы ЭО, %, рассчитывается по формуле 24:
S0(£,) = i- —!—■£(£„-£.)г -100%, (24)
Ес уп(п — 1)
где Ее, - z-й результат наблюдения ЭО радиометром, Вт/ср;
Ее - результат измерения (среднее арифметическое результатов наблюдений) ЭО
радиометром, Вт/ср; п - число наблюдений (л = 10);
К - коэффициент, зависящий от соотношения случайной составляющей погрешност]
НСП, определяемый по формуле 25:
(So(f,) +

5
(25)
где t - коэффициент Стьюдента (to,95 (п = 10) = 2,262).
-
8.11.3 Аппаратура считается прошедшей операцию поверки, если относительная погрешность измерений СИ и ЭО не превышает ±1 %.
9 Оформление результатов поверки
-
9.1 Результаты поверки заносятся в протокол (форма протокола приведена в приложении А настоящей методики поверки).
-
9.2 Аппаратура, прошедшая поверку с положительным результатом, признается годной и допускается к применению. На нее выдаётся свидетельство о поверке установленной формы с указанием полученных по п.п. 8.3 - 8.11 фактических значений метрологических характеристик аппаратуры согласно Приказу Министерства промышленности и торговли Российской Федерации № 1815 от 02.07.2015 г. «Об утверждении Порядка проведения поверки средств измерений, требования к знаку поверки и содержанию свидетельства о поверке».
-
9.3 Аппаратура, прошедшая поверку с отрицательным результатом, признается непригодной, не допускается к применению. Свидетельство о предыдущей поверке аннулируют и выписывают «Извещение о непригодности» с указанием причин в соответствии с требованиями Приказа Министерства промышленности и торговли Российской Федерации №1815 от 02.07.2015 г.
Зам. начальника отделения М-4
ФГУП «ВНИИОФИ»
Начальник лаборатории отделения М-4
ФГУП «ВНИИОФИ»
Ведущий инженер ФГУП «ВНИИОФИ»
Ведущий инженер ФГУП «ВНИИОФИ»

М.Н. Павлович

Б.Б. Хлевной

Е.А.Ивашин
Н.Е. Бурдакина
ПРИЛОЖЕНИЕ «А» К методике поверки «Аппаратура поверки эталонов и средств измерений силы излучения и энергетической освещенности, освещенности и яркости непрерывного излучения»
ПРОТОКОЛ
первичной / периодической поверки
от «_______»____________20___года
Средство измерений: Аппаратура поверки эталонов и средств измерений силы излучения и энергетической освещенности, освещенности и яркости непрерывного излучения_________
(Наименование СИ, тип (если в состав СИ входит несколько автономных блоков
то приводят их перечень (наименования) и типы с разделением знаком «косая дробь» /)
Зав, №___
Заводские номера блоков
Принадлежащее____________________________
Наименование юридического лица, ИНН
Поверено в соответствии с методикой поверки МП 005.М4-18 «Государственная система обеспечения единства измерений. Аппаратура поверки эталонов и средств измерений силы излучения и энергетической освещенности, освещенности и яркости непрерывного излучения. Методика поверки», утвержденной ФГУП«ВНИИОФИ» 15 января 2018 г.
Наименование документа на поверку, кем утвержден (согласован), дата
С применением эталонов ________________________________________________
(наименование, заводской номер, разряд, класс точности или погрешность)
При следующих значениях влияющих факторов:
(приводят перечень и значения влияющих факторов, нормированных в методике поверки)
-
- температура окружающего воздуха, °C от +15 до +25
-
- относительная влажность воздуха, %, не более 80
-
- атмосферное давление, мм рт.ст. от 720 до 760
Получены результаты поверки метрологических характеристик:
Таблица 1 Определение коэффициента преобразования фотометрических головок из состава прецизионного группового фотометра ПГФ-01, нА/лк
Коэффициент преобразования, нА/лк |
Зав. № ФГ | ||
07В5382 |
07В5383 |
07В5384 | |
Таблица 2 Определение диапазона измерений освещенности непрерывного излучения
Диапазон измерений освещенности непрерывного излучения, лк | |||||||
Требования технической документации |
Результат | ||||||
от 1 до Г105 |
Таблица 3 Определение диапазона измерений яркости непрерывного излучения
Диапазон измерений яркости непрерывного излучения, кд/м2 | |||||
Требования технической документации |
Результат | ||||
от 110’4 до 1104 |
Таблица 4 Расчет суммарного среднего квадратического отклонения результата сличения с государственным первичным эталоном
Для освещенности непрерывного излучения | ||||
Требования технической документации, % , не более |
Результат, % | |||
0,3 | ||||
Для яркости непрерывного излучения | ||||
Требования технической документации, % |
Результат, % | |||
от ±(0,8 до 0,5) |
Таблица 5 Определение коэффициента преобразования теплоприемников из состава прецизионных групповых радиометров ПГР
Коэффициент преобразования, мкВ/(Вт/м2) |
Радиометр зав. № 01 |
Радиометр зав. № 02 | ||||
Зав. №№ ТП | ||||||
753039 |
753040 |
753041 |
753042 |
753043 |
753044 | |
Таблица 6 Определение диапазона измерений энергетической освещенности
2 Энергетическая освещенность, Вт/м | |||
Требования технической документации |
Результат | ||
ПГР в ранге вторичного эталона |
от 10 до 2000 | ||
ПГР в ранге рабочего эталона 1-го разряда |
Таблица 7 Определение диапазона измерений силы излучения
Сила излучения, Вт/ср | |||
Требования технической документации |
Результат | ||
ПГР в ранге вторичного эталона |
от 10 до 100 | ||
ПГР в ранге рабочего эталона 1 -го разряда |
от 1 до 100 |
Таблица 8 Расчет суммарного среднего квадратического отклонения результата сличения с государственным первичным эталоном (для ПГР в ранге вторичного эталона)
Для энергетической освещенности | ||
Требования технической документации, %, не более |
Результат, % | |
0,2 |
Для силы излучения | ||
Требования технической документации, не более, % |
Результат, % | |
0,2 |
Таблица 9 Расчет относительной погрешности измерений (для ПГР в ранге рабочего эталона
1-го разряда)
Для энергетической освещенности | ||
Требования технической документации, %, не более |
Результат, % | |
±1 |
Для силы излучения | ||
Требования технической документации, не более, % |
Результат, % | |
±1 |
Рекомендации___________________________________________________________
Средство измерений признать пригодным (или непригодным) для применения
Исполнители:______________________________________________________________
_________________________________________подписи, ФИО, должность
18