Номер по Госреестру СИ: 86529-22
86529-22 Система измерительная установки 300-01 ООО "ЛУКОЙЛ-Пермнефтеоргсинтез"
(Обозначение отсутствует)
Назначение средства измерений:
Система измерительная установки 300-01 ООО «ЛУКОЙЛ-Пермнефтеоргсинтез» (далее - ИС) предназначена для измерений параметров технологического процесса в реальном масштабе времени (температуры, давления, перепада давления, уровня, объемного расхода, массового расхода, довзрывных концентраций горючих газов и нижнего концентрационного предела распространения пламени (далее - ДК и НКПР), концентрации, влагосодержания, электрического сопротивления, напряжения, силы постоянного тока).
Знак утверждения типа
Знак утверждения типа наносится на титульный лист паспорта типографским способом.
Сведения о методиках измерений
Сведения о методиках (методах) измерений приведены в разделе 3 руководства по эксплуатации.
Нормативные и технические документы
Нормативные документы, устанавливающие требования к средству измеренийПриказ Федерального агентства по техническому регулированию и метрологии от 1 октября 2018 г. № 2091 «Об утверждении государственной поверочной схемы для средств измерений силы постоянного электрического тока в диапазоне от 1 •IO-16 до 100 А»;
Приказ Федерального агентства по техническому регулированию и метрологии от 30 декабря 2019 г. № 3456 «Об утверждении государственной поверочной схемы для средств измерений электрического сопротивления постоянного и переменного тока»;
Приказ Федерального агентства по техническому регулированию и метрологии от 30 декабря 2019 г. № 3457 «Об утверждении государственной поверочной схемы для средств измерений постоянного электрического напряжения и электродвижущей силы»;
ГОСТ Р 8.596-2002 Государственная система обеспечения единства измерений. Метрологическое обеспечение измерительных систем. Основные положения.
Правообладатель
Общество с ограниченной ответственностью «ЛУКОЙЛ-Пермнефтеоргсинтез» (ООО «ЛУКОЙЛ-Пермнефтеоргсинтез»)
ИНН 5905099475
Адрес: 614055, Российская Федерация, г. Пермь, ул. Промышленная, 84
Телефон: (342) 2202467, факс: (342) 2202288
Web-сайт: http://pnos.lukoil.ru/ru
E-mail: lukpnos@pnos.lukoil.com
Изготовитель
Общество с ограниченной ответственностью «ЛУКОЙЛ-Пермнефтеоргсинтез» (ООО «ЛУКОЙЛ-Пермнефтеоргсинтез»)
ИНН 5905099475
Адрес: 614055, Российская Федерация, г. Пермь, ул. Промышленная, 84
Телефон: (342) 2202467, факс: (342) 2202288
Web-сайт: http://pnos.lukoil.ru/ru
E-mail: lukpnos@pnos.lukoil.com
|
Лист № 22 Всего листов 22 | |
Испытательный центрОбщество с ограниченной ответственностью Центр (ООО ЦМ «СТП») |
Метрологии «СТП» |
Телефон: (843) 214-20-98, факс: (843) 227-40-10
Web-сайт: http://www.ooostp.ru
E-mail: office@ooostp.ru
Правообладатель
Общество с ограниченной ответственностью «ЛУКОЙЛ-Пермнефтеоргсинтез» (ООО «ЛУКОЙЛ-Пермнефтеоргсинтез»)
ИНН 5905099475
Адрес: 614055, Российская Федерация, г. Пермь, ул. Промышленная, 84
Телефон: (342) 2202467, факс: (342) 2202288
Web-сайт: http://pnos.lukoil.ru/ru
E-mail: lukpnos@pnos.lukoil.com
Принцип действия ИС основан на непрерывном измерении, преобразовании и обработке при помощи системы измерительно-управляющей ExperionPKS (регистрационный номер в Федеральном информационном фонде по обеспечению единства измерений (далее - регистрационный номер) 67039-17) (далее - ExperionPKS) входных сигналов, поступающих по измерительным каналам (далее - ИК) от первичных и промежуточных измерительных преобразователей (далее - ИП).
ИС осуществляет измерение параметров технологического процесса следующим образом:
-
- первичные ИП преобразуют текущие значения параметров технологического процесса в аналоговые электрические сигналы силы постоянного тока от 4 до 20 мА, сигналы термопреобразователей сопротивления и термопар;
-
- аналоговые электрические сигналы силы постоянного тока от 4 до 20 мА от первичных ИП поступают на входы модулей измерительных 9160 систем I.S.1, IS pac (регистрационный номер 63808-16) (далее - 9160) и далее на входы модулей аналогового ввода HLAI HART CC-PAIH02 ExperionPKS (далее - CC-PAIH02) (часть сигналов поступает на модули ввода аналоговых сигналов без барьеров искрозащиты);
-
- сигналы термопреобразователей сопротивления и термопар от первичных ИП поступают на входы модулей измерительных 9182 систем I.S.1, IS pac (регистрационный номер 63808-16) (далее - 9182) и далее на входы модулей CC-PAIH02.
Цифровые коды, преобразованные посредством модулей ввода аналоговых сигналов в значения физических параметров технологического процесса, отображаются на мнемосхемах мониторов операторских станций управления в виде числовых значений, гистограмм, трендов, текстов, рисунков и цветовой окраски элементов мнемосхем, а также интегрируется в базу данных ИС.
ИС включает в себя также резервные ИК.
Состав средств измерений, применяемых в качестве первичных ИП ИК, представлен в таблице 1.
Таблица 1 - Средства измерений, применяемые в качестве первичных ИП ИК
|
Наименование ИК |
Наименование первичного ИП ИК |
Регистрационный номер |
|
1 |
2 |
3 |
|
ИК температуры |
Датчики температуры SensyTemp серии TSP модификации TSP121 (далее - TSP121) |
39759-08 |
|
Термопреобразователи сопротивления ТС-Б модификации ТС-Б-Р (далее - ТС-Б-Р) |
61801-15 | |
|
Термометры сопротивления ТС004 модификации ТС044 (далее - ТС044) |
16661-08 | |
|
Термопреобразователи сопротивления ТС серии 1088 (далее - ТП ТС-1088) |
18131-04 | |
|
Термометры сопротивления из платины и меди ТС модификации ТС-1088 и ТС-1388 (далее - 1088 и 1388 соответственно) |
18131-09 | |
|
Термопреобразователи сопротивления из платины и меди ТС и их чувствительные элементы ЧЭ модификаций ТС-1088 и ТС-1388 (далее ТС-1088 и ТС-1388 соответственно) |
58808-14 | |
|
Термопреобразователи сопротивления ТСП-0193 (далее - ТПС ТСП-0193) |
33565-06 | |
|
Термометры сопротивления ТСП-0193, ТСП-1193 (далее - ТС ТСП-0193 и ТС ТСП-1193 соответственно) |
40163-08 | |
|
Термопреобразователи сопротивления ТСП-0193, ТСП-1193 (далее - ТСП-0193 и ТСП-1193 соответственно) |
56560-14 | |
|
Термопреобразователи сопротивления ТСП-04 (далее - ТСП-04) |
49258-12 | |
|
Термопреобразователи сопротивления ТСП исполнений ТСП 1107, ТСП 9201, ТСП 9204 (далее - ТСП 1107, ТСП 9201 и ТСП 9204 соответственно) |
50071-12 | |
|
Термопреобразователи сопротивления ТСП 9201 (далее - ТС ТСП 9201) |
13587-93 | |
|
Термопреобразователи сопротивления ТСП 9201 (далее - 9201) |
13587-01 | |
|
Термопреобразователи сопротивления ТСПв-1088 (далее - ТС ТСПв-1088) |
22251-06 | |
|
Термопреобразователи сопротивления ТСПв модификации ТСПв-1088 (далее - ТСПв-1088) |
22251-11 | |
|
Датчики температуры ТСПТ Ex модификации ТСПТ Exi 101 (далее - ТСПТ Exi 101) |
57176-14 | |
|
Преобразователи термоэлектрические кабельные ТХА-К модификации 106 (далее - ТХА-К 106) |
65177-16 |
Продолжение таблицы 1
|
1 |
2 |
3 |
|
ИК температуры |
Преобразователи термоэлектрические ТП модификации ТП-2088, ТП-0195 (далее - ПТ ТП-2088 и ПТ ТП-0195 соответственно) |
18524-05 |
|
Преобразователи термоэлектрические ТП модификации ТП-2088 (далее - ТП-2088) |
18524-10 | |
|
Преобразователи термоэлектрические ТХА 9312 (далее - ТХА 9312) |
14590-95 | |
|
Преобразователи термоэлектрические ТХАв-2088 (далее - ТХАв-2088) |
20285-10 | |
|
Преобразователи термоэлектрические ТХА-0193 (далее - ТХА-0193) |
31930-06 | |
|
Термопреобразователи с унифицированным выходным сигналом Метран-270 модели Метран-276 (далее - Метран-276) |
21968-06 | |
|
Термопреобразователи с унифицированным выходным сигналом Метран-270 модели ТСПУ Метран-276 (далее - ТСПУ Метран-276) |
21968-11 | |
|
Термопреобразователи универсальные ТПУ 0304 модификации ТПУ 0304/М2 (далее - 0304/М2) |
29935-05 | |
|
Термопреобразователи универсальные ТПУ 0304 модификации ТПУ 0304/М2 (далее - ТПУ 0304/М2) |
50519-12 | |
|
Преобразователи измерительные VM-Exi исполнения VM-Exi-105-3 (далее - VM-Exi-105-3) |
63888-16 | |
|
ИК давления |
Преобразователи давления и разности давлений типа ST 3000 (мод. STG) (далее - STG) |
14250-05 |
|
Преобразователи давления измерительные EJA модели EJA 530 (далее - EJA 530) |
14495-00 | |
|
Преобразователи давления измерительные EJA модели EJA 530 (далее - ПДИ EJA 530) |
14495-09 | |
|
Преобразователи (датчики) давления измерительные EJ* модификации EJA, модели 530, серии A (далее - EJA530A) |
59868-15 | |
|
Преобразователи давления измерительные 3051 (далее - 3051) |
14061-99 | |
|
Преобразователи давления измерительные 3051 (далее - ПДИ 3051) |
14061-04 | |
|
Преобразователи давления измерительные 3051 исполнения TG (далее - 3051TG) |
14061-10 | |
|
ИК перепада давления |
3051 |
14061-99 |
|
ПДИ 3051 |
14061-04 | |
|
Преобразователи давления измерительные 3051 исполнения CD (далее - 3051CD) |
14061-10 | |
|
Преобразователи давления измерительные 3051 модели 3051С (далее - ПДИ 3051CD) |
14061-15 |
Продолжение таблицы 1
|
1 |
2 |
3 |
|
ИК перепада давления |
Преобразователи давления измерительные EJA модели EJA 110 (далее - ПДИ EJA 110) |
14495-09 |
|
ИК уровня |
Уровнемеры 3300 (мод.3301) (далее - 3301) |
25547-06 |
|
Уровнемеры буйковые серий: 249-DLC3000 (далее - 249-DLC3000) |
14164-01 | |
|
Уровнемеры микроимпульсные Levelflex M FMP модели FMP45 (далее - FMP45) |
26355-05 | |
|
ИК массового расхода |
Счетчики-расходомеры массовые Micro Motion модели CMF в составе с преобразователями 2700 (далее - Micro Motion CMF) |
13425-06 |
|
Расходомеры-счетчики вихревые 8800 (далее - 8800) |
14663-06 | |
|
ИК объемного расхода |
8800 |
14663-06 |
|
Расходомеры-счётчики вихревые 8800 (далее - РСВ 8800) |
14663-12 | |
|
Расходомеры электромагнитные OPTIFLUX в составе с первичным преобразователем 4000 и с электронным блоком IFC 300 C (далее - OPTIFLUX 4300С) |
29446-05 | |
|
ИК ДК и НКПР |
Датчики горючих газов термокаталитические Drager Polytron PEX 3000 (далее - Polytron PEX 3000) |
38669-08 |
|
Датчики горючих газов Drager модели PEX 3000 (далее - PEX 3000) |
57257-14 | |
|
Газоанализаторы серии S4100 Модели S4100C с измерительным преобразователем S4100E (далее - S4100C) |
25422-03 | |
|
ИК концентрации |
Газоанализаторы OCX 8800 (далее - OCX 8800) |
19829-05 |
|
Анализаторы серии CAT модели 100 (далее - CAT100) |
22953-02 | |
|
Датчики электрохимические Polytron 3000 (далее - Polytron 3000) |
31132-06 | |
|
Газоанализаторы Thermox WDG-V (далее -WDG-V) |
60102-15 | |
|
Анализаторы кислорода моделей ''Oxymitter 4000'', ''Oxymitter 5000'' (далее - Oxymitter 4000) |
13781-10 | |
|
Газоанализаторы кислорода Insta-Trans (далее - Insta-Trans) |
27972-04 | |
|
ИК влаго-содержания |
Анализаторы влажности ''Ametek'' модели 5000 с системой пробоотбора 561 (далее - Ametek 5000) |
15964-07 |
ИС выполняет следующие функции:
-
- автоматизированное измерение, регистрацию, обработку, контроль, хранение и индикацию параметров технологического процесса;
-
- предупредительную и аварийную сигнализацию при выходе параметров технологического процесса за установленные границы и при обнаружении неисправности в работе оборудования;
-
- управление технологическим процессом в реальном масштабе времени;
-
- противоаварийную защиту оборудования установки;
-
- отображение технологической и системной информации на операторской станции управления;
-
- накопление, регистрацию и хранение поступающей информации;
-
- самодиагностику;
-
- автоматическое составление отчетов и рабочих (режимных) листов;
-
- защиту системной информации от несанкционированного доступа к программным средствам и изменения установленных параметров.
Пломбирование ИС не предусмотрено.
Знак поверки наносится на свидетельство о поверке ИС. Заводской номер ИС наносится типографским способом на табличку, расположенную на шкафу вторичной части ИК ИС, и в паспорте ИС.
Программное обеспечение
Программное обеспечение (далее - ПО) ИС обеспечивает реализацию функций ИС.
ПО ИС реализовано на базе ПО ExperionPKS и разделено на базовое ПО (далее - БПО) и внешнее ПО (далее - ВПО).
Для преобразования измеренных аналоговых сигналов в цифровой эквивалент и преобразования цифрового сигнала в аналоговую форму используются алгоритмы, реализованные в БПО и записанные в постоянной памяти соответствующего модуля. БПО устанавливается в энергонезависимую память модулей ИС на заводе-изготовителе во время производственного цикла. БПО недоступно пользователю и не подлежит изменению на протяжении всего времени функционирования.
ВПО устанавливается на персональные компьютеры рабочих станций операторов. ВПО предназначено для конфигурирования и обслуживания ИС и не влияет на метрологические характеристики модулей ввода/вывода ИС. ВПО не имеет доступа к энергонезависимой памяти модулей ввода/вывода ИС, не позволяет заменять или корректировать БПО модулей.
Защита ПО ИС от непреднамеренных и преднамеренных изменений и обеспечение его соответствия утвержденному типу осуществляется путем идентификации, защиты от несанкционированного доступа.
Идентификационные данные ПО ИС приведены в таблице 2.
Таблица 2 - Идентификационные данные ПО ИС
|
Идентификационные данные (признаки) |
Значение |
|
Идентификационное наименование ПО |
ExperionPKS |
|
Номер версии (идентификационный номер) ПО |
не ниже 501.4 |
|
Цифровой идентификатор ПО |
- |
ПО ИС защищено от несанкционированного доступа, изменения алгоритмов и установленных параметров путем введения логина и пароля, ведения доступного только для чтения журнала событий.
Уровень защиты ПО ИС «средний» в соответствии с Р 50.2.077-2014.
Таблица 6 - Комплектность ИС
|
Наименование |
Обозначение |
Количество |
|
Система измерительная установки 300-01 ООО «ЛУКОЙЛ-Пермнефтеоргсинтез», заводской № LUKPRM14-EX15/112241 |
- |
1 шт. |
|
Руководство по эксплуатации |
- |
1 экз. |
|
Паспорт |
- |
1 экз. |
Основные технические характеристики ИС представлены в таблице 3. Метрологические характеристики вторичной части ИК ИС представлены в таблице 4. Метрологические характеристики ИК ИС представлены в таблице 5.
Таблица 3 - Основные технические характеристики ИС
|
Наименование характеристики |
Значение |
|
Количество ИК (включая резервные), не более |
1062 |
|
Параметры электрического питания:
|
380-57; 220-22 50±1 |
|
Условия эксплуатации: а) температура окружающей среды, °С:
б) относительная влажность (без конденсации влаги), %:
в) атмосферное давление, кПа |
от -40 до +50 от +15 до +25 не более 95 от 20 до 80 от 84 до 106 |
|
Примечание - ИП, эксплуатация которых в указанных диапазонах температуры окружающей среды и относительной влажности не допускается, эксплуатируются при температуре окружающей среды и относительной влажности, указанных в технической документации на данные ИП. | |
Таблица 4 - Метрологические характеристики вторичной части ИК ИС
|
Тип барьера искрозащиты |
Тип модуля ввода |
Пределы допускаемой основной погрешности |
|
9160 |
CC-PAIH02 |
у: ±0,13 % |
|
- |
у: ±0,075 % | |
|
9182 |
CC-PAIH02 |
Для каналов, воспринимающих сигналы термопреобразователей сопротивления с НСХ Pt 100: 1 2 /0,075 V А: ± I0,35 + ( 100 • (tmax-tmin)j > С, Для каналов, воспринимающих сигналы термопреобразователей сопротивления с НСХ 100 П: 2 0,075 2 -5 2 2 А: ± I0,35 + [ 100 • (tmax-tmin)y +|5^10 ^изм+0,03^изм-31 , С; Для каналов, воспринимающих сигналы преобразователей термоэлектрических с НСХ ХА(К): 1 „ /0,075 V А ± К0,3+0,5У+ I 100 •(tmax-tmin)y , С- |
|
Примечание - Приняты следующие сокращения и обозначения: НСХ - номинальная статическая характеристика; у - приведенная погрешность, % (нормирующим значением принята разность между максимальным и минимальным значениями диапазона измерений); А - абсолютная погрешность, в единицах измеряемой величины; tmax - верхний предел диапазона измерений температуры ИК, °С; tmin - нижний предел диапазона измерений температуры ИК, °С; Rhm - значение сопротивления термопреобразователей сопротивления, соответствующее измеренному значению температуры ИК, Ом. | ||
Таблица 5 - Метрологические характеристики ИК ИС
|
Метрологические характеристики ИК |
Метрологические характеристики измерительных компонентов ИК | ||||||
|
Первичный ИИ |
Вторичная часть ИК | ||||||
|
Наименование ИК |
Диапазоны измерений |
Пределы допускаемой основной погрешности |
Тип (выходной сигнал) |
Пределы допускаемой основной погрешности |
Тип барьера искро-защиты |
Тип модуля ввода |
Пределы допускаемой основной погрешности |
|
1 |
2 |
3 |
4 |
5 |
6 |
7 |
8 |
|
ИК тем-пературы |
от 0 до +100 °C |
А: ±0,56 °C |
TSP121 (НСХ Pt 100) |
А: ±(0,15±0,002 |t|) °C |
9182 |
CC-PAIH02 |
А: ±0,36 °C |
|
от-100 до +450 °СХ) |
см. примечание 6 |
см. таблицу 4 | |||||
|
от -50 до +150 °C |
А: ±1,23 °C |
ТС-Б-Р (НСХ Pt 100) |
А: ±(0,3±0,005 |t|) °C |
9182 |
CC-PAIH02 |
А: ±0,39 °C | |
|
от -50 до +600 °C1-* |
см. примечание 6 |
см. таблицу 4 | |||||
|
от 0 до +100 °C |
А: ±0,97 °C |
ТС044 (НСХ Pt 100) |
А: ±(0,3±0,005 |t|) °C |
9182 |
CC-PAIH02 |
А: ±0,36 °C | |
|
от-196 до +250 °СХ) |
см. примечание 6 |
см. таблицу 4 | |||||
|
от -50 до +200 °C |
А: ±0,75 °C |
ТПТС-1088 (НСХ Pt 100) |
А: ±(0,15±0,002 |t|) °C |
9182 |
CC-PAIH02 |
А: ±0,40 °C | |
|
от -50 до +450 °C1-* |
см. примечание 6 |
см. таблицу 4 | |||||
|
от -50 до +150 °C |
А: ±1,23 °C |
ТПТС-1088 (НСХ Pt 100) |
А: ±(0,3±0,005 |t|) °C |
9182 |
CC-PAIH02 |
А: ±0,39 °C | |
|
от -50 до +200 °C |
А: ±1,50 °C |
А: ±0,40 °C | |||||
|
от -50 до +300 °C |
А: ±2,04 °C |
А: ±0,44 °C | |||||
|
от -50 до +500 °C1-* |
см. примечание 6 |
см. таблицу 4 | |||||
|
от -50 до +200 °C |
А: ±1,50 °C |
1088 (НСХ Pt 100) |
А: ±(0,3±0,005 |t|) °C |
9182 |
CC-PAIH02 |
А: ±0,40 °C | |
|
от -196 до +600 °C1) |
см. примечание 6 |
см. таблицу 4 | |||||
|
от -50 до +200 °C |
А: ±1,50 °C |
ТС-1088 (НСХ Pt 100) |
А: ±(0,3±0,005 |t|) °C |
9182 |
CC-PAIH02 |
А: ±0,40 °C | |
|
от -196 до +600 °C1) |
см. примечание 6 |
см. таблицу 4 | |||||
|
от -50 до +150 °C |
А: ±1,23 °C |
1388 (НСХ Pt 100) |
А: ±(0,3±0,005 |t|) °C |
9182 |
CC-PAIH02 |
А: ±0,39 °C | |
|
от -196 до +600 °C1) |
см. примечание 6 |
см. таблицу 4 | |||||
|
от 0 до +100 °C |
А: ±0,97 °C |
ТС-1388 (НСХ Pt 100) |
А: ±(0,3±0,005 |t|) °C |
9182 |
CC-PAIH02 |
А: ±0,36 °C | |
|
от -50 до +150 °C |
А: ±1,23 °C |
А: ±0,39 °C | |||||
|
от -196 до +600 °C1) |
см. примечание 6 |
см. таблицу 4 | |||||
|
от -50 до +150 °C |
А: ±3,37 °C |
ТПС ТСП-0193 (НСХ 100 П) |
А: ±(0,15±0,002 |t|) °C |
9182 |
CC-PAIH02 |
А: ±3,03 °C | |
|
от 0 до +200 °C |
А: ±4,33 °C |
А: ±3,90 °C | |||||
|
от -50 до +500 °C1-* |
см. примечание 6 |
см. таблицу 4 | |||||
|
1 |
2 |
3 |
4 |
5 |
6 |
7 |
8 |
|
ПК тем-пературы |
от -50 до +150 °C |
А: ±0,65 °C |
ТС ТСП-0193 (НСХ Pt 100) |
А: ±(0,15±0,002 |t|) °C |
9182 |
CC-PAIH02 |
А: ±0,39 °C |
|
от -50 до +450 °C1-* |
см. примечание 6 |
см. таблицу 4 | |||||
|
от -50 до +150 °C |
А: ±1,23 °C |
ТС ТСП-0193 (НСХ Pt 100) |
А: ±(0,3±0,005 |t|) °C |
9182 |
CC-PAIH02 |
А: ±0,39 °C | |
|
от -50 до +200 °C |
А: ±1,50 °C |
А: ±0,40 °C | |||||
|
от -196 до +660 °C1) |
см. примечание 6 |
см. таблицу 4 | |||||
|
от -50 до +150 °C |
А: ±0,65 °C |
ТСП-0193 (НСХ Pt 100) |
А: ±(0,15±0,002 |t|) °C |
9182 |
CC-PAIH02 |
А: ±0,39 °C | |
|
от -50 до +200 °C |
А: ±0,75 °C |
А: ±0,40 °C | |||||
|
от -50 до +300 °C |
А: ±0,96 °C |
А: ±0,44 °C | |||||
|
от 0 до +50 °C |
А: ±0,48 °C |
А: ±0,36 °C | |||||
|
от 0 до +100 °C |
А: ±0,56 °C |
А: ±0,36 °C | |||||
|
от 0 до +150 °C |
А: ±0,64 °C |
А: ±0,37 °C | |||||
|
от -50 до +450 °C1-* |
см. примечание 6 |
см. таблицу 4 | |||||
|
от -50 до +200 °C |
А: ±1,50 °C |
ТСП-0193 (НСХ Pt 100) |
А: ±(0,3±0,005 |t|) °C |
9182 |
CC-PAIH02 |
А: ±0,40 °C | |
|
от -50 до +300 °C |
А: ±2,04 °C |
А: ±0,44 °C | |||||
|
от -196 до +660 °C1) |
см. примечание 6 |
см. таблицу 4 | |||||
|
от 0 до +100 °C |
А: ±0,56 °C |
ТСП-04 (НСХ Pt 100) |
А: ±(0,15±0,002 |t|) °C |
9182 |
CC-PAIH02 |
А: ±0,36 °C | |
|
от-196 до +800 °C1) |
см. примечание 6 |
см. таблицу 4 | |||||
|
от -50 до +150 °C |
А: ±1,23 °C |
ТСП-04 (НСХ Pt 100) |
А: ±(0,3±0,005 |t|) °C |
9182 |
CC-PAIH02 |
А: ±0,39 °C | |
|
от -50 до +200 °C |
А: ±1,50 °C |
А: ±0,40 °C | |||||
|
от 0 до +100 °C |
А: ±0,97 °C |
А: ±0,36 °C | |||||
|
от-196 до +800 °C1) |
см. примечание 6 |
см. таблицу 4 | |||||
|
от -50 до +150 °C |
А: ±0,65 °C |
ТСП 1107 (НСХ Pt 100) |
А: ±(0,15±0,002 |t|) °C |
9182 |
CC-PAIH02 |
А: ±0,39 °C | |
|
от-100 до +450 °C1) |
см. примечание 6 |
см. таблицу 4 | |||||
|
от -50 до +200 °C |
А: ±1,50 °C |
ТС ТСП-1193 (НСХ Pt 100) |
А: ±(0,3±0,005 |t|) °C |
9182 |
CC-PAIH02 |
А: ±0,40 °C | |
|
от -50 до +500 °C1-* |
см. примечание 6 |
см. таблицу 4 | |||||
|
от -50 до +150 °C |
А: ±1,23 °C |
ТСП-1193 (НСХ Pt 100) |
А: ±(0,3±0,005 |t|) °C |
9182 |
CC-PAIH02 |
А: ±0,39 °C | |
|
от 0 до +150 °C |
А: ±1,23 °C |
А: ±0,37 °C | |||||
|
от -196 до +660 °C1) |
см. примечание 6 |
см. таблицу 4 |
|
1 |
2 |
3 |
4 |
5 |
6 |
7 |
8 |
|
ИК тем-пературы |
от -50 до +200 °C |
А: ±0,75 °C |
ТС ТСП 9201 (НСХ Pt 100) |
А: ±(0,15±0,002 |t|) °C |
9182 |
CC-PAIH02 |
А: ±0,40 °C |
|
от -50 до +500 °C1-* |
см. примечание 6 |
см. таблицу 4 | |||||
|
от -50 до +350 °C |
А: ±1,07 °C |
9201 (НСХ Pt 100) |
А: ±(0,15±0,002 |t|) °C |
9182 |
CC-PAIH02 |
А: ±0,47 °C | |
|
от -50 до +300 °C |
А: ±0,96 °C |
А: ±0,44 °C | |||||
|
от -50 до +200 °C |
А: ±0,75 °C |
А: ±0,40 °C | |||||
|
от -50 до +150 °C |
А: ±0,65 °C |
А: ±0,39 °C | |||||
|
от 0 до +200 °C |
А: ±0,74 °C |
А: ±0,39 °C | |||||
|
от-100 до +450 °C1) |
см. примечание 6 |
см. таблицу 4 | |||||
|
от -50 до +200 °C |
А: ±1,50 °C |
9201 (НСХ Pt 100) |
А: ±(0,3±0,005 |t|) °C |
9182 |
CC-PAIH02 |
А: ±0,40 °C | |
|
от -50 до +150 °C |
А: ±1,23 °C |
А: ±0,39 °C | |||||
|
от -196 до +600 °C1) |
см. примечание 6 |
см. таблицу 4 | |||||
|
от -50 до +300 °C |
А: ±0,96 °C |
ТСП 9201 (НСХ Pt 100) |
А: ±(0,15±0,002 |t|) °C |
9182 |
CC-PAIH02 |
А: ±0,44 °C | |
|
от -50 до +200 °C |
А: ±0,75 °C |
А: ±0,40 °C | |||||
|
от -50 до +150 °C |
А: ±0,65 °C |
А: ±0,39 °C | |||||
|
от 0 до +100 °C |
А: ±0,56 °C |
А: ±0,36 °C | |||||
|
от 0 до +200 °C |
А: ±0,74 °C |
А: ±0,39 °C | |||||
|
от-100 до +450 °C1) |
см. примечание 6 |
см. таблицу 4 | |||||
|
от -50 до +300 °C |
А: ±2,04 °C |
ТСП 9201 (НСХ Pt 100) |
А: ±(0,3±0,005 |t|) °C |
9182 |
CC-PAIH02 |
А: ±0,44 °C | |
|
от -50 до +200 °C |
А: ±1,50 °C |
А: ±0,40 °C | |||||
|
от -50 до +50 °C |
А: ±0,73 °C |
А: ±0,36 °C | |||||
|
от 0 до +100 °C |
А: ±0,97 °C |
А: ±0,36 °C | |||||
|
от -196 до +600 °C1) |
см. примечание 6 |
см. таблицу 4 | |||||
|
от -50 до +200 °C |
А: ±1,50 °C |
ТСП 9204 (НСХ Pt 100) |
А: ±(0,3±0,005 |t|) °C |
9182 |
CC-PAIH02 |
А: ±0,40 °C | |
|
от -60 до +200 °C1) |
см. примечание 6 |
см. таблицу 4 | |||||
|
от -50 до +300 °C |
А: ±2,04 °C |
ТС ТСПв-1088 (НСХ Pt 100) |
А: ±(0,3±0,005 |t|) °C |
9182 |
CC-PAIH02 |
А: ±0,44 °C | |
|
от -50 до +200 °C |
А: ±1,50 °C |
А: ±0,40 °C | |||||
|
от -50 до +600 °C1-* |
см. примечание 6 |
см. таблицу 4 | |||||
|
от -50 до +200 °C |
А: ±1,50 °C |
ТСПв-1088 (НСХ Pt 100) |
А: ±(0,3±0,005 |t|) °C |
9182 |
CC-PAIH02 |
А: ±0,40 °C | |
|
от -50 до +660 °C1) |
см. примечание 6 |
см. таблицу 4 | |||||
|
ИК тем-пературы |
от -50 до +200 °C |
А: ±0,75 °C |
TCnTExi 101 (НСХ Pt 100) |
А: ±(0,15±0,002 |t|) °C |
9182 |
CC-PAIH02 |
А: ±0,40 °C |
|
от-100 до +450 °C1) |
см. примечание 6 |
см. таблицу 4 |
|
1 |
2 |
3 |
4 |
5 |
6 |
7 |
8 |
|
от -40 до +1200 °C |
А: ±5,45 °C |
ТХА-К 106 (НСХ К) |
А: ±1,5 °C (в диапазоне от -40 до ±375 °C включ.), А: ±(0,004 |t|) °C (в диапазоне св. ±375 до ±1300 °C включ.) |
9182 |
CC-PAIH02 |
А: ±1,23 °C | |
|
от -40 до +300 °C |
А: ±1,90 °C |
А: ±0,84 °C | |||||
|
от -40 до +150 °C |
А: ±1,88 °C |
А: ±0,82 °C | |||||
|
от-40 до+1300 °C1) |
см. примечание 6 |
см. таблицу 4 | |||||
|
от -40 до +600 °C |
А: ±5,06 °C |
ПТ ТП-2088 (НСХ К) |
А: ±2,5 °C (в диапазоне от -40 до ±333 °C включ.), А: ±(0,0075 |t|) °C (в диапазоне св. ±333 до ±850 °C включ.) |
9182 |
CC-PAIH02 |
А: ±0,94 °C | |
|
от -40 до +850 °C1-* |
см. примечание 6 |
см. таблицу 4 | |||||
|
от -40 до +200 °C |
А: ±2,90 °C |
ТП-2088 (НСХ К) |
А: ±2,5 °C (в диапазоне от -40 до ±333 °C включ.), А: ±(0,0075 |t|) °C (в диапазоне св. ±333 до ±850 °C включ.) |
9182 |
CC-PAIH02 |
А: ±0,82 °C | |
|
от -40 до +850 °C1-* |
см. примечание 6 |
см. таблицу 4 | |||||
|
от -40 до +1200 °C |
А: ±10,00 °C |
ПТ ТП-0195 (НСХ К) |
А: ±2,5 °C (в диапазоне от -40 до ±333 °C включ.), А: ±(0,0075 |t|) °C (в диапазоне св. ±333 до ±1200 °C включ.) |
9182 |
CC-PAIH02 |
А: ±1,23 °C | |
|
от -40 до +1200 °C1) |
см. примечание 6 |
см. таблицу 4 |
|
1 |
2 |
3 |
4 |
5 |
6 |
7 |
8 |
|
ПК температуры |
от -40 до +600 °C |
А: ±5,06 °C |
ТХА9312 (НСХ К) |
А: ±2,5 °C (в диапазоне от -40 до ±333 °C включ.), А: ±(0,0075 |t|) °C (в диапазоне св. ±333 до ±900 °C включ.) |
9182 |
CC-PAIH02 |
А: ±0,94 °C |
|
от -40 до +900 °C1-* |
см. примечание 6 |
см. таблицу 4 | |||||
|
от 0 до +600 °C |
А: ±2,83 °C |
ТХАв-2088 (НСХ К) |
А: ±1,5 °C (в диапазоне от 0 до ±375 °C включ.), А: ±(0,004 |t|) °C (в диапазоне св. ±375 до ±1000 °C включ.) |
9182 |
CC-PAIH02 |
А: ±0,92 °C | |
|
от 0 до +1000 °C1-* |
см. примечание 6 |
см. таблицу 4 | |||||
|
от -40 до +800 °C |
А: ±6,70 °C |
ТХА-0193 (НСХ К) |
А: ±2,5 °C (в диапазоне от -40 до ±333 °C включ.), А: ±(0,0075 |t|) °C (в диапазоне св. ±333 до ±800 °C включ.) |
9182 |
CC-PAIH02 |
А: ±1,02 °C | |
|
от -40 до +800 °C1) |
см. примечание 6 |
см. таблицу 4 | |||||
|
от -50 до +300 °C |
А: ±1,99 °C |
Метран-276 (от 4 до 20 мА) |
у: ±0,5 % |
9160 |
CC-PAIH02 |
у: ±0,13 % | |
|
от 0 до +200 °C |
А: ±1,14 °C | ||||||
|
от -50 до +500 °C1-* |
см. примечание 6 | ||||||
|
от -50 до +200 °C |
А: ±1,42 °C |
ТСПУ Метран-276 (от 4 до 20 мА) |
у: ±0,5 % |
9160 |
CC-PAIH02 |
у: ±0,13 % | |
|
от 0 до +200 °C |
А: ±1,14 °C | ||||||
|
от -50 до +500 °C1-* |
см. примечание 6 | ||||||
|
от -50 до +300 °C |
А: ±0,63 °C |
0304/М2 (от 4 до 20 мА) |
у: ±0,1 % |
9160 |
CC-PAIH02 |
у: ±0,13 % | |
|
от -50 до +200 °C |
А: ±0,45 °C | ||||||
|
от -50 до +350 °C1-* |
см. примечание 6 | ||||||
|
от -50 до +300 °C |
А: ±0,92 °C |
0304/М2 (от 4 до 20 мА) |
у: ±0,2 % |
9160 |
CC-PAIH02 |
у: ±0,13 % | |
|
от -50 до +200 °C |
А: ±0,66 °C | ||||||
|
от -50 до +350 °C1-* |
см. примечание 6 |
|
1 |
2 |
3 |
4 |
5 |
6 |
7 |
8 |
|
ИК тем-пературы |
от -50 до +200 °C |
А: ±0,55 °C |
ТПУ 0304/М2 (от 4 до 20 мА) |
у: ±0,15% |
9160 |
CC-PAIH02 |
у: ±0,13 % |
|
от -50 до +350 °C1-* |
см. примечание 6 | ||||||
|
от -40 до +600 °C |
А: ±2,88 °C |
ТХА-К 106 (НСХ К); VM-Exi-105-З (от 4 до 20 мА) |
А: ±1,5 °C (в диапазоне от -40 до ±375 °C включ.), А: ±(0,004 |t|) °C (в диапазоне св. ±375 до ±1300 °C включ.); у: ±0,1 % |
9160 |
CC-PAIH02 |
у: ±0,13 % | |
|
от-40 до+1300 °C1) |
см. примечание 6 | ||||||
|
от -50 до +200 °C |
А: ±0,63 °C |
ТС-Б-Р (НСХ Pt 100); VM-Exi-105-З (от 4 до 20 мА) |
А: ±(0,3±0,005 |t|) °C; у: ±0,1 % |
9160 |
CC-PAIH02 |
у: ±0,13 % | |
|
от -50 до +600 °C1-* |
см. примечание 6 | ||||||
|
от -50 до +200 °C |
А: ±0,63 °C |
ТСПв-1088 (НСХ Pt 100); VM-Exi-105-З (от 4 до 20 мА) |
А: ±(0,3±0,005 |t|) °C; у: ±0,1 % |
9160 |
CC-PAIH02 |
у: ±0,13 % | |
|
от -50 до +660 °C1) |
см. примечание 6 | ||||||
|
ИК давления |
от 0 до 1 МПа; от 0 до 3 МПа; от 0 до 4 МПа; от 0 до 5 МПа; от 0 до 6 МПа; от 0 до 69 МПа1) |
у: от ±0,17 до ±0,26 % |
STG (от 4 до 20 мА) |
у: от ±0,0875 до ±0,2 % |
9160 |
CC-PAIH02 |
у: ±0,13 % |
|
от 0 до 600 кПа; от 0 до 1 МПа; от 0 до 1,6 МПа; от 0 до 4 МПа; от 0 до 6 МПа; от 0 до 2 МПа1); от 0 до 10 МПа1) |
у: от ±0,17 до ±0,41 % |
EJA 530 (от 4 до 20 мА) |
у: от ±0,075 до ±0,35 % |
9160 |
CC-PAIH02 |
у: ±0,13 % | |
|
ИК давления |
от 0 до 400 кПа; от 0 до 2 МПа1) |
у: от ±0,17 до ±0,41 % |
ПДИЕ1А530 (от 4 до 20 мА) |
у: от ±0,075 до ±0,35 % |
9160 |
CC-PAIH02 |
у: ±0,13 % |
|
1 |
2 |
3 |
4 |
5 |
6 |
7 |
8 |
|
от 0 до 500 кПа; от 0 до 2 МПа1) |
у: от ±0,27 до ±0,41 % |
EJA530A (от 4 до 20 мА) |
у: от ±0,075 до ±0,35 % |
9160 |
CC-PAIH02 |
у: ±0,13 % | |
|
от 0 до 600 кПа; от 0 до 1034 кПа1) |
у: ±0,17% (при ДИтах/ДИ менее чем 10:1); у: ±0,22 % (при ДИтах/ДИ более чем 10:1) |
3051 (от 4 до 20 мА) |
у: ±0,075 % (при ДИтах/ДИ менее чем 10:1); у: ±0,15% (при ДИтах/ДИ более чем 10:1) |
9160 |
CC-PAIH02 |
у: ±0,13 % | |
|
от -100 до 150 кПа; от 0 до 250 кПа; от 0 до 400 кПа; от 0 до 600 кПа; от 0 до 1 МПа; от 0 до 1,6 МПа; от 0 до 2,5 МПа; от 0 до 4 МПа; от 0 до 6 МПа; от 0 до 10 МПа; от 0 до 27579 кПа1) |
у: ±0,15% (при ДИтах/ДИ менее чем 5:1); у: ±0,16% (при ДИтах/ДИ более чем 10:1) |
ИДИ 3051 (от 4 до 20 мА) |
у: ±0,04 % (при ДИтах/ДИ менее чем 5:1); у: ±0,065 % (при ДИтах/ДИ более чем 10:1) |
9160 |
CC-PAIH02 |
у: ±0,13 % | |
|
от 0 до 250 кПа; от 0 до 400 кПа; от 0 до 600 кПа; от 0 до 1 МПа; от 0 до 1,6 МПа; от 0 до 2,5 МПа; от 0 до 6 МПа; от 0 до 27579 кПа1) |
у: ±0,15% (при ДИтах/ДИ < 5); у: ±0,16% (при ДИтах/ДИ < 10) |
3051TG (от 4 до 20 мА) |
у: ±0,04 % (при ДИтах/ДИ < 5); у: ±0,065 % (при ДИтах/ДИ < 10) |
9160 |
CC-PAIH02 |
у: ±0,13 % |
|
1 |
2 |
3 |
4 |
5 |
6 |
7 |
8 |
|
ик перепада давления |
от 0 до 5,45 кПа; от 0 до 24,5 кПа; от 0 до 40 кПа; от 0 до 60 кПа; от 0 до 100,8 кПа; от 0 до 1034 кПа1) |
у: ±0,17% (при ДИтах/ДИ менее чем 10:1); у: ±0,22 % (при ДИтах/ДИ более чем 10:1) |
3051 (от 4 до 20 мА) |
у: ±0,075 % (при ДИтах/ДИ менее чем 10:1); у: ±0,15% (при ДИтах/ДИ более чем 10:1) |
9160 |
CC-PAIH02 |
у: ±0,13 % |
|
от -400 до 400 Па; от 0 до 10 кПа; от 0 до 16 кПа; от 0 до 25 кПа; от 0 до 40 кПа; от 0 до 100 кПа; от 0 до 248 кПа1) |
у: ±0,15% (при ДИтах/ДИ менее чем 5:1); у: ±0,16% (при ДИтах/ДИ более чем 10:1) |
ИДИ 3051 (от 4 до 20 мА) |
у: ±0,04 % (при ДИтах/ДИ менее чем 5:1); у: ±0,065 % (при ДИтах/ДИ более чем 10:1) |
9160 |
CC-PAIH02 |
у: ±0,13 % | |
|
ИК перепада давления |
от 0 до 100 кПа; от 0 до 248 кПа1) |
у: ±0,15% (при ДИтах/ДИ < 5); у: ±0,16% (при ДИтах/ДИ < 10) |
3051CD (от 4 до 20 мА) |
у: ±0,04 % (при ДИтах/ДИ < 5); у: ±0,065 % (при ДИтах/ДИ < 10) |
9160 |
CC-PAIH02 |
у: ±0,13 % |
|
от 0 до 5,23 кПа; от 0 до 16 кПа; от 0 до 40 кПа; от 0 до 100 кПа; от 0 до 248 кПа1) |
у: от ±0,15 до ±1,25 % |
ПДИ3051СО (от 4 до 20 мА) |
у: от ±0,04 до ±1,125% |
9160 |
CC-PAIH02 |
у: ±0,13 % | |
|
от 0 до 4 кПа; от 0 до 100 кПа1) |
у: от ±0,16 до ±0,58 % |
ИДИ EJA 110 (от 4 до 20 мА) |
у: от ±0,065 до ±0,515 % |
9160 |
CC-PAIH02 |
у: ±0,13 % | |
|
ИК уровня |
от 100 до 300 мм |
А: ±5,51 мм |
3301 (от 4 до 20 мА) |
А: ±5 мм (при 0,1 м < L < 5 м); 6: ±0,1 % (при 5 м < L < 23,5 м) |
9160 |
CC-PAIH02 |
у: ±0,13 % |
|
от 100 до 845 мм |
А: ±5,60 мм | ||||||
|
от 100 до 1160 мм |
А: ±5,70 мм | ||||||
|
от 100 до 1410 мм |
А: ±5,80 мм | ||||||
|
от 100 до 1610 мм |
А: ±5,90 мм |
|
1 |
2 |
3 |
4 |
5 |
6 |
7 |
8 |
|
ИК уровня |
от 100 до 1720 мм |
А: ±5,96 мм |
3301 (от 4 до 20 мА) |
А: ±5 мм (при 0,1 м < L < 5 м); 6: ±0,1 % (при 5 м < L < 23,5 м) |
9160 |
CC-PAIH02 |
у: ±0,13 % |
|
от 100 до 2430 мм |
А: ±6,40 мм | ||||||
|
от 100 до 2480 мм |
А: ±6,44 мм | ||||||
|
от 100 до 3520 мм |
А: ±7,30 мм | ||||||
|
от 100 до 5000 мм |
А: ±8,81 мм | ||||||
|
от 330 до 1670 мм |
А: ±5,82 мм | ||||||
|
от 600 до 3160 мм |
А: ±6,57 мм | ||||||
|
от 100 до 6300 мм |
А: ±10,43 мм (при 0,1 м < L < 5 м); 6: ±0,185 % (при 5 м < L < 6,3 м) | ||||||
|
от 0,1 до 23,5 м1) |
см. примечание 6 | ||||||
|
от 0 до 500 мм; от 0 до 1000 мм; от 0 до 3000 мм1) |
у: ±0,84 % |
249-DLC3000 (от 4 до 20 мА) |
у: ±0,75 % |
9160 |
CC-PAIH02 |
у: ±0,13 % | |
|
от 300 до 1620 мм |
А: ±3,79 мм |
FMP45 (от 4 до 20 мА) |
А: ±3 мм (до 10 м); у: ±0,03 % (от 10 до 35 м) |
9160 |
CC-PAIH02 |
у: ±0,13 % | |
|
от 0,3 до 35 м1) |
см. примечание 6 | ||||||
|
ИК массового расхода |
от 0 до 8,8 т/ч; от 0 до 18 т/ч; от 0 до 44 т/ч; от 0 до 56 т/ч; от 0 до 75,5 т/ч |
см. примечание 6 |
Micro Motion CMF (от 4 до 20 мА) |
6: ±0,1 % |
9160 |
CC-PAIH02 |
у: ±0,13 % |
|
от 0 до 427 кг/ч; от 0 до 714 кг/ч; от 0 до 1,9 т/ч; от 0 до 4,7 т/ч; от 0 до 6,7 т/ч |
см. примечание 6 |
Micro Motion CMF (от 4 до 20 мА) |
6: ±0,35 % |
9160 |
CC-PAIH02 |
у: ±0,13 % | |
|
от 0 до 16000 кг/ч; от 0 до 2 т/ч; от 0 до 6 т/ч |
см. примечание 6 |
8800 (от 4 до 20 мА) |
6: ±1,35 %; yi: ±0,025 % |
9160 |
CC-PAIH02 |
у: ±0,13 % |
|
1 |
2 |
3 |
4 |
5 |
6 |
7 |
8 |
|
ик объемного расхода |
от 0 до 3 м3/ч; от 0 до 4 м3/ч; от 0 до 5 м3/ч; от 0 до 6 м3/ч; от 0 до 12 м3/ч; от 0 до 30 м3/ч; от 0 до 35 м3/ч; от 0 до 210 м3/ч; от 0 до 230 м3/ч; от 0 до 350 м3/ч; от 0 до 400 м3/ч; от 0 до 464 м3/ч; от 0 до 600 м3/ч; от 0 до 1100 м3/ч |
см. примечание 6 |
8800 (от 4 до 20 мА) |
6: ±0,65 % (для жидкости); 6: ±1,35 % (для газа, пара); yi: ±0,025 % |
9160 |
CC-PAIH02 |
у: ±0,13 % |
|
от 0 до 40 м3/ч |
см. примечание 6 |
РСВ 8800 (от 4 до 20 мА) |
6: ±0,65 % (для жидкости с Re > 20000) yi: ±0,025 % |
9160 |
CC-PAIH02 |
у: ±0,13 % | |
|
от 0 до 16 м3/ч |
см. примечание 6 |
OPTIFLUX 4300С (от 4 до 20 мА) |
6: ±0,2 % |
9160 |
CC-PAIH02 |
у: ±0,13 % | |
|
ИК ДКи НКПР |
от 0 до 50 % НКПР2) (определяемый компонент СИД |
А: ±5,51 НКПР |
Polytron РЕХ 3000 (от 4 до 20 мА) |
А: ±5 НКПР |
9160 |
CC-PAIH02 |
у: ±0,13 % |
|
от 0 до 50 % НКПР2) (определяемый компонент СбНы) |
А: ±5,51 НКПР | ||||||
|
от 0 до 50 % НКПР2) (определяемый компонент СИД |
А: ±5,51 НКПР |
РЕХ 3000 (от 4 до 20 мА) |
А: ±5 НКПР |
9160 |
CC-PAIH02 |
у: ±0,13 % | |
|
ИК ДКи НКПР |
от 0 до 100 % НКПР (определяемый компонент СНД |
А: ±5,51 НКПР |
S4100C (от 4 до 20 мА) |
А: ±5 НКПР |
9160 |
CC-PAIH02 |
у: ±0,13 % |
|
1 |
2 |
3 |
4 |
5 |
6 |
7 |
8 |
|
ИК концентрации |
от 0 до 2 % (объемные доли СО) |
у: ±3,3 % |
OCX 8800 (от 4 до 20 мА) |
у: ±3 % |
9160 |
CC-PAIH02 |
у: ±0,13 % |
|
от 0 до 500 млн'1; от 99,5 до 100 % (объемные доли Иг) (диапазон показаний от 70 до 100 %) |
у: ±5,5 % |
CAT 100 (от 4 до 20 мА) |
у: ±5 % |
9160 |
CC-PAIH02 |
у: ±0,13 % | |
|
от 0 до 20 млн'1; от 0 до 100 млн'1 ’’ (объемные доли H2S) |
у: ±16,5 % |
Polytron 3000 (от 4 до 20 мА) |
у: ±15 % |
9160 |
CC-PAIH02 |
у: ±0,13 % | |
|
от 0 до 2000 млн'1 1 ’ (объемные доли СО) |
у: ±5,5 % |
WDG-V (от 4 до 20 мА) |
у: ±5 % |
9160 |
CC-PAIH02 |
у: ±0,13 % | |
|
от 0 до 2 % (объемные доли СО) |
А: ±0,1 И % |
Oxymitter 4000 (от 4 до 20 мА) |
А: ±0,1 % (в диапазоне от 0 до 4 %); 6: ±3 % (в диапазоне св. 4 %) |
9160 |
CC-PAIH02 |
у: ±0,13 % | |
|
от 0 до 10 % ’’ (объемные доли СО) |
см. примечание 6 | ||||||
|
от 0 до 1000 млн'1 Х); (объемные доли Ог) |
у: ±16,5 % |
Insta-Trans (от 4 до 20 мА) |
у: ±15 % |
9160 |
CC-PAIH02 |
у: ±0,13 % | |
|
ИК влаго-содержания |
от 1 до 5 млн'1 (объемные доли НгО) |
А: ±1,1 млн'1 |
Ametek 5000 (от 4 до 20 мА) |
А: ±1 млн'1 (в диапазоне от 1 до 10 млн'1); 5: ±10 % (в диапазоне от 10 до 1000 млн'1) |
9160 |
CC-PAIH02 |
у: ±0,13 % |
|
от 1 до 1000 млн'1 ’’ (объемные доли НгО) |
см. примечание 6 | ||||||
|
ИК электрического сопротивления (температуры) |
НСХ Pt 100 (а=0,00385 °C'1) (шкала от -200 до +850 °СХ)); НСХ 100 и (а=0,00391 °C'1) (шкала от -200 до +850 °СХ)) |
см. таблицу 4 |
- |
- |
9182 |
CC-PAIH02 |
см. таблицу 4 |
|
ИК напряжения (температуры) |
НСХ К (шкала от -270 до +1372 °СХ)) |
см. таблицу 4 |
- |
- |
9182 |
CC-PAIH02 |
см. таблицу 4 |
|
1 |
2 |
3 |
4 |
5 |
6 |
7 |
8 |
|
ИК силы постоянного тока |
от 4 до 20 мА |
у: ±0,13 % |
- |
- |
9160 |
CC-PAIH02 |
у: ±0,13 % |
|
у: ±0,075 % |
- | ||||||
|
11 Указан максимальный диапазон измерений (диапазон измерений может быть настроен на меньший диапазон в соответствии с эксплуатационной документацией на первичный ИП ИК). 2) Диапазон показаний от 0 до 100 % НКПР. Примечания 1 Приняты следующие сокращения и обозначения: НСХ - номинальная статическая характеристика; А - абсолютная погрешность, в единицах измеряемой величины; у - приведенная погрешность, % (нормирующим значением принята разность между максимальным и минимальным значениями диапазона измерений); 5 - относительная погрешность, %; t - измеренное значение температуры, °C; ДИтах - верхний предел диапазона измерений; ДИ - настроенный диапазон измерений; L - измеренное значение уровня, м; yi - пределы допускаемой приведенной погрешности преобразования измеренного значения объемного расхода в выходной аналоговый унифицированный электрический сигнал силы постоянного тока от 4 до 20 мА, % (нормирующим значением принята разность между максимальным и минимальным значениями диапазона измерений); Re - число Рейнольдса; а - температурный коэффициент термопреобразователя сопротивления, °C-1. | |||||||
-
2 Пределы допускаемой основной погрешности ПК температуры приведены для максимального абсолютного значения диапазона измерений температуры. Пределы допускаемой основной погрешности вторичной части ПК при других значениях измеренной температуры рассчитывают в соответствии с таблицей 4. Пределы допускаемой основной погрешности ПК при других значениях измеренной температуры рассчитывают согласно примечанию 6 настоящей таблицы.
-
3 Шкалы ПК давления и перепада давления могут быть установлены в ИС в других единицах измерений в соответствии с постановлением Правительства Российской Федерации от 31 октября 2009 года № 879 «Об утверждении Положения о единицах величин, допускаемых к применению в Российской Федерации».
-
4 Шкала ИК уровня может быть установлена в ИС в процентах (от 0 до 100 %).
-
5 Шкалы ИК, применяемых для измерения перепада давления на сужающем устройстве и уровня, установлены в ИС в единицах измерения расхода и в процентах соответственно. Пределы допускаемой основной погрешности данных ИК нормированы по диапазону измерений перепада давления. Шкалы ИК перепада давления, применяемых для измерения уровня, установлены в ИС в единицах измерения уровня или в процентах.
-
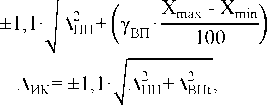
6 Пределы допускаемой основной погрешности ИК рассчитывают по формулам:
- абсолютная Аик, в единицах измерений измеряемой величины:


где Апп - пределы допускаемой основной абсолютной погрешности первичного ИИ ИК, в единицах измерений измеряемой величины;
увп - пределы допускаемой основной приведенной погрешности вторичной части ИК, %;
Хтах - значение измеряемого параметра, соответствующее максимальному значению диапазона аналогового сигнала, в единицах измерений измеряемой величины;
Xmm - значение измеряемого параметра, соответствующее минимальному значению границы диапазона аналогового сигнала, в единицах измерений измеряемой
величины;
- пределы допускаемой основной абсолютной погрешности вторичной части ИК температуры, °C;
ABnt “ пределы допус - относительная 3^, %:


где

5ПП - пределы допускаемой основной относительной погрешности первичного ИП ИК, %; Хизм - измеренное значение, в единицах измерений измеряемой величины;
- приведенная уик, %:
где
7ик ±^’^'^Тпп’ь7вп’ у - пределы допускаемой основной приведенной погрешности первичного ИП ИК, %.
-
7 Для расчета погрешности ИК в условиях эксплуатации:
- приводят форму представления основных и дополнительных погрешностей измерительных компонентов ИК к единому виду (приведенная, относительная, абсолютная);
-для каждого измерительного компонента ИК рассчитывают пределы допускаемых значений погрешности в условиях эксплуатации путем учета основной и дополнительных погрешностей от влияющих факторов.
Пределы допускаемых значений погрешности Аси измерительного компонента ИК в условиях эксплуатации вычисляют по формуле:

где До - пределы допускаемых значений основной погрешности измерительного компонента; п - количество учитываемых влияющих факторов;
А; - пределы допускаемой дополнительной погрешности измерительного компонента от /-го влияющего фактора в условиях эксплуатации при общем числе п учитываемых влияющих факторов.
Для каждого ИК рассчитывают границы, в которых с вероятностью, равной 0,95, должна находиться его погрешность Аж, в условиях эксплуатации по формуле:
Айк-
где к
АсИ|
количество измерительных компонентов ИК;
±1,1-
А
пределы допускаемых значений погрешности Асиу-го измерительного компонента ИК в условиях эксплуатации.

