Номер по Госреестру СИ: 92188-24
92188-24 Измерители параметров электробезопасности электроустановок
(ТММ)
Назначение средства измерений:
Измерители параметров электробезопасности электроустановок ТММ (далее по тексту
- измерители) предназначены для измерения: напряжения переменного тока, силы переменного тока, электрической мощности, электрической энергии, полного сопротивления цепи “фаза-нуль”, “фаза-фаза”, “фаза-защитный проводник”, “фаза-защитный проводник” без срабатывания УЗО, силы тока и времени отключения УЗО, действующего значения напряжения прикосновения, действующего сопротивления устройства без электрического электроизоляции, а также показателей качества электрических сетей.
значения напряжения помех, частоты переменного тока, электрического вспомогательных электродов, электрического сопротивления заземляющего использования клещей, с использованием клещей и бесконтактным методом, сопротивления защитных проводников и малым током, сопротивления

Внешний вид.
Измерители параметров электробезопасности электроустановок
Рисунок № 1

Внешний вид.
Измерители параметров электробезопасности электроустановок
Рисунок № 2

Внешний вид.
Измерители параметров электробезопасности электроустановок
Рисунок № 3

Внешний вид.
Измерители параметров электробезопасности электроустановок
Рисунок № 4

Внешний вид.
Измерители параметров электробезопасности электроустановок
Рисунок № 5
Программное обеспечение
Управление режимами работы и настройками измерителя осуществляется с помощью внутреннего программного обеспечения (далее - ПО), которое встроено в защищённую от записи память микроконтроллера, что исключает возможность его несанкционированных настройки и вмешательства, приводящим к искажению результатов измерений.
Уровень защиты от непреднамеренных и преднамеренных изменений - «высокий» в соответствии с Рекомендацией Р 50.2.077-2014.
Таблица 1 - Идентификационные данные внутреннего программного обеспечения
|
Идентификационные данные (признаки) |
Значение |
|
Идентификационное наименование ПО |
ТММ-540 |
|
Номер версии (идентификационный номер ПО) |
не ниже 2.81.00 |
|
Цифровой идентификатор ПО |
- |
Знак утверждения типа
Знак утверждения типананосится на заднюю панель измерителей методом трафаретной печати и на титульный лист руководства по эксплуатации типографским способом.
Сведения о методиках измерений
Сведения о методиках (методах) измеренийприведены в разделе «Измерения» руководства по эксплуатации «Измерители параметров электробезопасности электроустановок серии ТММ».
Нормативные и технические документы
Нормативные документы, устанавливающие требования к средству измерений
Приказ Росстандарта от 30 декабря 2019 г. № 3456 «Об утверждении государственной поверочной схемы для средств измерений электрического сопротивления постоянного и переменного тока»;
Приказ Росстандарта от 3 сентября 2021 г. № 1942 «Об утверждении государственной поверочной схемы для средств измерений переменного электрического напряжения до 1000 В в диапазоне частот от 1-10’1 до 2^109 Гц»;
Приказ Росстандарта от 26 сентября 2022 г. № 2360 «Об утверждении государственной поверочной схемы для средств измерений времени и частоты»;
Приказ Росстандарта от 17 марта 2022 г. № 668 «Об утверждении государственной поверочной схемы для средств измерений силы переменного электрического тока от 1^10-8 до 100 А диапазоне частот от 1-10’ 1 до 1^106 Гц»;
Приказ Росстандарта от 1 октября 2018 г. № 2091 «Об утверждении государственной поверочной схемы для средств измерений силы постоянного электрического тока в диапазоне от 1^10-16 до 100 А»;
ГОСТ 22261-94 «Средства измерений электрических и магнитных величин. Общие технические условия»;
Технические условия СНБА.411182.036 «Измерители параметров безопасности электроустановок серии ТММ».
Правообладатель
Общество с ограниченной ответственностью «СОНЭЛ» (ООО «СОНЭЛ»)
ИНН 7723321993
Юридический адрес: 142713, Московская обл., Ленинский р-н, д. Григорчиково, ул. Майская, д. 12
Телефон: +7 (495) 287-43-53
Web-сайт: http://www.sonel.ru
E-mail: info@sonel.ru
Изготовитель
Общество с ограниченной ответственностью «СОНЭЛ» (ООО «СОНЭЛ»)
ИНН 7723321993
Юридический адрес: 142713, Московская обл., Ленинский р-н, д. Григорчиково, ул. Майская, д. 12
Адрес места осуществления деятельности: 142714, Московская обл., Ленинский р-н, д. Мисайлово, ул. Первомайская, д. 158А
Телефон: +7 (495) 287-43-53
Web-сайт: http://www.sonel.ru
E-mail: info@sonel.ru
Испытательный центр
Федеральное бюджетное учреждение «Государственный региональный центр стандартизации, метрологии и испытаний в г. Москве и Московской области» (ФБУ «Рост'ест' Москва»)Адрес: 117418, г. Москва, Нахимовский пр-кт, д. 31
Телефон: +7 (495) 544-00-00
Факс: +7 (499) 124-99-96
Web-сайт: www.rostest.ru
E-mail: info@rostest.ru
Правообладатель
Общество с ограниченной ответственностью «СОНЭЛ» (ООО «СОНЭЛ»)
ИНН 7723321993
Юридический адрес: 142713, Московская обл., Ленинский р-н, д. Григорчиково, ул. Майская, д. 12
Телефон: +7 (495) 287-43-53
Web-сайт: http://www.sonel.ru
E-mail: info@sonel.ru
Измеритель ТММ представляет собой переносной прибор, выполненный в пластмассовом корпусе, окрашенном в серый и оранжевый цвет с крышкой. На передней панели измерителя расположены гнезда для подключения соединительных проводов, разъем для установки SIM-карты, разъем USB для подключения измерителя к персональному компьютеру поворотный позиционный переключатель (для задания режимов работы), жидкокристаллический цифровой дисплей и разъемы для подключения измерительных клещей.
Принцип действия измерителей заключается в преобразовании входного аналогового сигнала с помощью быстродействующего аналого-цифрового преобразователя, последующей математической обработке измеренных значений в зависимости от алгоритма расчета измеряемого параметра и отображении результатов измерений на цветном жидкокристаллическом дисплее.
Измеритель поддерживают беспроводные интерфейсы: WIFI и Bluetooth.
Питание измерителей обеспечивается литий-ионным аккумулятором SONEL-15 11.1В 3,4Аh подзарядкой с помощью внешнего зарядного устройства, подключаемого к сети переменного тока 220-230 В.
Измерители имеют следующие функциональные возможности: автоматический выбор диапазона измерения, автоматическое выключение неиспользуемого измерителя (функция AUTO-OFF), память измерений и способность передать сохраненные данные в компьютер, сигнализация разряда элементов питания.
К данному типу средств измерений относятся измерители параметров электробезопасности электроустановок модификации ТММ-540.
Нанесение знака поверки на средство измерений не предусмотрено.
Заводской номер, идентифицирующий каждый экземпляр средства измерений, наносится на заднюю панель измерителей методом трафаретной печати, имеет цифровое и цифро-буквенное обозначение.
Общий вид измерителя ТММ представлен на рисунке 1. Место нанесения знака утверждения типа и заводского номера представлено на рисунке 2. Место пломбирования от несанкционированного доступа представлено на рисунке 3.
- Общий вид измерителя параметров электробезопасности электроустановок ТММ
Рисунок 1
Рисунок 2 - Место нанесения знака утверждения типа и заводского номера параметров электробезопасности электроустановок ТММ

Место пломбирования от несанкпионированного достх’па
.4.

Рисунок 3 - Место пломбирования от несанкционированного доступа параметров электробезопасности электроустановок ТММ
Стандартный комплект поставки измерителей представлен в таблице 4. Дополнительная комплектация измерителей (поставляемая по отдельному заказу) представлена в таблице 5.
Таблица 4 - Стандартная комплектность средства измерений
|
Наименование |
Обозначение |
Количество |
|
Измеритель параметров электробезопасности электроустановок ТММ |
WMRUTMM540 |
1 шт. |
|
Руководство по эксплуатации/Паспорт |
- |
1/1 шт. |
|
WAPRZLAD12SAM |
1 шт. | |
|
WAADAWS03 |
1 шт. | |
|
WAAKU15 |
1 шт. | |
|
Зажим «Крокодил» изолированный голубой K02 |
WAKROBU20K02 |
1 шт. |
|
WAKROYE20K02 |
1 шт. | |
|
WAKRORE20K02 |
1 шт. | |
|
Зажим «Крокодил» изолированный чёрный К01 |
WAKROBL20K01 |
1 шт. |
|
WAZASZ7CZ |
1 шт. | |
|
WASONG30 |
2 шт. | |
|
WASONBUOGB1 |
1 шт. | |
|
WASONYEOGB1 |
1 шт. | |
|
WASONREOGB1 |
1 шт. | |
|
WAPRZUSB |
1 шт. | |
|
WAPRZLAD230CZ |
1 шт. | |
|
Карта памяти microSD 4ГБ |
- |
1 шт. |
|
Клещи гибкие F-3A |
WACEGF3AOKR |
3 шт. |
|
WAPOZSZEKRU |
1 шт. | |
|
Провод измерительный 15 м на катушке с разъёмами «банан» голубой |
WAPRZ015BUBBSZ |
1 шт. |
|
Провод измерительный 30 м на катушке с разъёмами «банан» красный |
WAPRZ030REBBSZ |
1 шт. |
|
WAPRZ1X2BUBB |
1 шт. | |
|
WAPRZ1X2YEBB |
1 шт. | |
|
WAPRZ1X2REBB |
1 шт. | |
|
Провод измерительный 1,2 м с разъёмами «банан» чёрный с маркировкой N |
WAPRZ1X2BLBBN |
1 шт. |
|
Соединитель электрический - адаптер с резьбой М4/М64 |
WAADAM4M64 |
1 компл. |
|
WAFUTL2 |
1 шт. |
Таблица 5 - Дополнительная комплектность
|
Наименование |
Обозначение |
Количество |
|
Адаптер для тестирования зарядных станций электромобилей EVSE-01 |
WMRUEVSE01 |
1 шт. |
|
Адаптер питания AZ-2 |
WAADAAZ2 |
1 шт. |
|
Адаптер WS-04 с сетевой вилкой UNI-SCHUKO |
WAADAWS04 |
1 шт. |
|
WAADAAISO10C |
1 шт. | |
|
WAADAAGT16C |
1 шт. | |
|
WAADAAGT16P |
1 шт. | |
|
WAADAAGT16T |
1 шт. | |
|
WAADAAGT32C |
1 шт. | |
|
WAADAAGT32P |
1 шт. | |
|
WAADAAGT32T |
1 шт. | |
|
WAADAAGT63P |
1 шт. | |
|
Адаптер для тестирования устройств защитного отключения (УЗО) TWR-1J |
WAADATWR1J |
1 шт. |
|
WAZACIMA1 |
1 шт. | |
|
Зонд для измерений сопротивления полов и стен PRS-1 |
WASONPRS1 |
1 шт. |
|
WASONG80 |
1 шт. | |
|
Зонд острый с разъёмом «банан» складной SP-2M |
WASONSP2M |
1 шт. |
|
WACEGF1OKR |
1 шт. | |
|
WACEGF2AOKR |
1 шт. | |
|
WACEGC3OKR |
1 шт. | |
|
Клещи измерительные С-4 |
WACEGC4OKR |
1 шт. |
|
Клещи измерительные С-5 |
WACEGC5OKR |
1 шт. |
|
WACEGC6AOKR |
1 шт. | |
|
Клещи измерительные С-7 |
WACEGC7OKR |
1 шт. |
|
WACEGN1BB |
1 шт. | |
|
Переходник WS-06 PS/2 |
WAADAWS06 |
1 шт. |
|
Провод измерительный 25 м на катушке с разъёмами «банан» голубой |
WAPRZ025BUBBSZ |
1 шт. |
|
Провод измерительный 50 м на катушке с разъёмами «банан» жёлтый |
WAPRZ050YEBBSZ |
1 шт. |
|
WAPRZ005REBB |
1 шт. | |
|
WAPRZ010REBB |
1 шт. | |
|
WAPRZ020REBB |
1 шт. | |
|
Программа автоматического формирования протоколов испытаний электроустановок «СОНЭЛ Протоколы 2.0» |
- |
1 шт. |
|
Симулятор кабеля СК-1 |
WAADAСК1 |
1 шт. |
|
WAADAAC16 |
1 шт. | |
|
WAFUTL3 |
1 шт. |
Основные метрологические и технические характеристики измерителей параметров электробезопасности электроустановок ТММ представлены в таблицах 2-3.
Таблица 2 -
|
Функция измерителя |
Диапазон измерений |
Разрешение |
Пределы допускаемой абсолютной погрешности измерений |
|
1 |
2 |
3 |
4 |
|
Измерение действующего значения напряжения переменного тока (диапазон частоты от 45 до 65 Гц) |
от 0 до 299,9 В от 300 до 500 В |
0,1 В 1 В |
±(0,02^иизм + 4 е.м.р.) ±(0,02^иизм + 2 е.м.р.) |
|
Измерение частоты переменного тока (диапазон напряжения от 50 до 500 В) |
от 45 до 65 Гц |
0,1 Гц |
±(0,001-£изм + 1 е.м.р.) |
|
Измерение полного сопротивления цепи «фаза-нуль», «фаза-фаза», «фаза-защитный проводник» |
от 0 до 19,999 Ом от 20,00 до 199,99 Ом от 200,0 до 1999,9 Ом |
0,001 Ом 0,01 Ом 0,1 Ом |
±(0,05•Zизм + 0,03 Ом) ±(0,05•Zизм + 0,3 Ом) ±(0,05•Zизм + 3 Ом) |
|
Измерение полного сопротивления цепи «фаза-защитный проводник» без срабатывания УЗО |
от 0 до 19,99 Ом от 20,0 до 199,9 Ом от 200 до 1999 Ом |
0,01 Ом 0,1 Ом 1 Ом |
±(0,06•Zизм + 10 е.м.р.) ±(0,06•Zизм + 5 е.м.р.) ±(0,06•Zизм + 5 е.м.р.) |
Измерение силы тока отключения УЗО для дифференциального синусоидального тока. Номинальный ток (IaN) 10 мА 30 мА 100 мА 300 мА 500 мА 1000 мА
Измерение силы тока отключения УЗО для дифференциального пульсирующего однонаправленного тока и постоянного пульсирующего тока с постоянной составляющей 6 мА.
Номинальный ток (IaN) 10 мА 30 мА 100 мА 300 мА 500 мА
Измерение силы тока отключения УЗО для дифференциального постоянного тока.
Номинальный ток (IaN) 10 мА 30 мА 100 мА 300 мА 500 мА
Измерение действующего значения напряжения ______прикосновения______ Измерение напряжения помех переменного тока
Измерение сопротивления вспомогательных электродов RH и Rs
от 3,0 до 10 мА от 9 до 30 мА от 33 до100 мА от 90 до 300 мА от 150 до 500 мА от 330 до 1000 мА
от 3,5 до 20,0 мА от 10,5 до 42,0 мА от 35 до 140 мА от 105 до 420 мА от 175 до 700 мА
от 2,0 до 20,0 мА от 6 до 60 мА от 20 до 100 мА от 60 до 600 мА от 100 до 1000 мА
от 0 до 9,9 В от 10,0 до 99,9 В
от 0 до 100 В
от 0 до 999 Ом
от 1,00 до 9,99 кОм
от 10,0 до 50,0 кОм
0,1 мА
0,1 мА
1 мА
1 мА
1 мА
1 мА
0,1 мА
0,1 мА 1 мА 1 мА 1 мА
0,1 мА 1 мА 1 мА 1 мА 1 мА
0,1 В
0,1 В
1 Ом
0,01 кОм
0,1 кОм
±0,05- Ian ±0,05- Ian ±0,05- Ian ±0,05- Ian ±0,05- Ian ±0,05- Ian
±0,1- Ian
±0,1- Ian
±0,1 • Ian
±0,1^ Ian
±0,1- Ian
±0,1- Ian
±0,1^ Ian
±0,1- Ian
±0,1^ Ian
±0,1^ Ian
±(0,1^Ub изм + 5 е.м.р.)
±0,15^Ub изм
+(0,02^Un изм + 3 е.м.р.)
±(0,05^(Rs изм + RE изм +
+RH изм ) +3 е.м.р.)
|
1 |
2 |
3 |
4 |
|
Измерение времени отключения УЗО. Общего типа: 0,5^ Ian
Селективного типа: 0,5- Ian
|
от 0 до 300 мс от 0 до 300 мс от 0 до 150 мс от 0 до 40 мс от 0 до 500 мс от 0 до 500 мс от 0 до 200 мс от 0 до 150 мс |
1 мс 1 мс 1 мс 1 мс 1 мс 1 мс 1 мс 1 мс |
±(0,02•tизм + 2 е.м.р.) ±(0,02- tизм + 2 е.м.р.) ±(0,02- tизм + 2 е.м.р.) ±(0,02- tизм + 2 е.м.р.) ±(0,02- tизм + 2 е.м.р.) ±(0,02- tизм + 2 е.м.р.) ±(0,02- tизм + 2 е.м.р.) ±(0,02- tизм + 2 е.м.р.) |
|
Измерение сопротивления заземляющего устройства без использования клещей (3p, 4p) |
от 0 до 0,35 Ом от 0,35 до 9,99 Ом от 10,0 до 99,9 Ом от 100 до 999 Ом от 1,00 до 1,99 кОм |
0,01 Ом 0,01 Ом 0,1 Ом 1 Ом 0,01 кОм |
±(0,02^Re изм + 10 е.м.р.) ±(0,02- Re изм + 4 е.м.р.) ±(0,02- Re изм + 3 е.м.р.) ±(0,02- Re изм + 3 е.м.р.) ±(0,02- Re изм + 3 е.м.р.) |
|
Измерение сопротивления заземляющего устройства с использованием клещей (3Р) |
от 0 до 0,35 Ом от 0,35 до 9,99 Ом от 10,0 до 99,9 Ом от 100 до 999 Ом от 1,00 до 1,99 кОм |
0,01 Ом 0,01 Ом 0,1 Ом 1 Ом 0,01 кОм |
±(0,08^Re изм + 10 е.м.р.) ±(0,08^Re изм + 4 е.м.р.) ±(0,08- Re изм + 4 е.м.р.) ±(0,08- Re изм + 4 е.м.р.) ±(0,08- Re изм + 4 е.м.р.) |
|
Измерение сопротивления заземляющего устройства бесконтактным методом с использованием двух клещей |
от 0 до 0,35 Ом от 0,35 до 9,99 Ом от 10,0 до 19,9 Ом от 20,0 до 99,9 Ом |
0,01 Ом 0,01 Ом 0,1 Ом 0,1 Ом |
±(0,10^Re изм + 10 е.м.р.) ±(0,10^ Re изм + 4 е.м.р.) ±(0,10^ Re изм + 4 е.м.р.) ±(0,20- Re изм + 4 е.м.р.) |
|
Измерение электрического сопротивления током +200 мА |
от 0 до 19,99 Ом от 20,0 до 199,9 Ом от 200 до 400 Ом |
0,01 Ом 0,1 Ом 1 Ом |
±(0,02^Rcont изм + 3 е.м.р.) ±(0,02- Rcont изм + 3 е.м.р.) ±(0,02- Rcont изм + 3 е.м.р.) |
|
Измерение электрического сопротивления малым током |
от 0 до 199,9 Ом от 200 до 1999 Ом |
0,1 Ом 1 Ом |
±(0,03 •R изм + 3 е.м.р.) ±(0,03 •R изм + 3 е.м.р.) |
|
Измерение сопротивления электроизоляции (для Un = 50 В, 100 В, 250 В, 500 В, 1000В) |
от 0 до 1999 кОм от 2,00 до 19,99 МОм от 20,0 до 199,9 МОм от 200 до 999 МОм от 1,00 до 9,99 ГОм |
1 кОм 0,01 МОм 0,1 МОм 1 МОм 0,01 ГОм |
±(0,03^Riso изм + 8 е.м.р.) ±(0,03- Riso изм + 8е.м.р.) ±(0,03- Riso изм + 8е.м.р.) ±(0,03- Riso изм + 8е.м.р.) Не нормируется |
|
1 |
2 |
3 |
4 |
|
Измерение сопротивления электроизоляции с использованием адаптеров WS-03, WS-04 (для Un = 50 В, 100 В, 250 В, 500 В) |
от 0 до 1999 кОм от 2,00 до 19,99 МОм от 20,0 до 199,9 МОм от 200 до 999 МОм от 1,00 до 2,00 ГОм |
1 кОм 0,01 МОм 0,1 МОм 1 МОм 0,01 ГОм |
±(0,05- Riso изм + 8е.м.р.) ±(0,05- Riso изм + 8е.м.р.) ±(0,05- Riso изм + 8е.м.р.) ±(0,05- Riso изм + 8е.м.р.) ±(0,06- Riso изм + 6е.м.р.) |
|
Измерение действующего средне-квадратичного значения напряжения Urms |
20% Unom< Urms <120% Unom для Unom >100 В |
0,1%Unom |
±0,005^Unom |
|
С гибкими клещами F-1, F-2, F-3 (переменный ток) | |||
|
от 0 до 3000 А |
0,01%Inom |
± 0,2-I изм | |
|
С измерительными клещами C-4 (переменный ток) | |||
от 0,1 до 10,0 А от 10 до 50 А от 50 до 200 А от 200 до 1000А от 1000 до 1200А
0,01%Inom
Измерение действующего средне-квадратичного значения силы тока (номинальная частота сети 50 Гц, 60 Гц)
±(0,03^1изм + 0,1 А)
±0,03- 1изм ±0,015^ 1изм ±0,0075^ 1изм ±0,0075^ 1изм
|
С измерительными клещами С-5 (постоянный/переменный ток) | ||
|
от 0,5 до 100,0 А от 100 до 800 А от 800 до 1000 А от 1000 до 1400 А1 |
0,01%inom |
±(0,015-1изм + 1 А) ±0,025^1изм ±0,04^1изм ±0,04^1изм |
|
С измерительными клещами С-6А (переменный ток) | ||
|
от 0,01 до 0,10 А от 0,1 до 1,0 А от 1 до 12 А |
0,01%Inom |
±(0,03^1изм + 0,001 А) ±0,025^1изм ±0,01-1изм |
|
С измерительными клещами С-7А (переменный ток) | ||
0,01%Inom
±(O,0O5-I изм + 0, O2 А)
от 0,01 до 100,00 А От 40 до 70 Гц
(Для U от 0,15 • Unom до 1,2-
Unom)
Измерение частоты переменного тока
0,01 Гц
±0,05 Гц
Измерение активной электрической мощности (P) и активной электрической энергии _____________(Ер)_____________ Измерение реактивной электрической мощности (Q) и реактивной электрической энергии Eq Измерение полной электрической мощности (S) и реактивной электрической энергии Es
От 0,8- Unom до 1,2- Unom от 0,02 • Inom до Inom
от 0,8 • U nom до 1,2 • U nom от 0,02 • Inom до Inom
от 0,8 • U nom до 1,2 • U nom от 0,02 • Inom до Inom
Зависит
от
Unom и Inom
Зависит от Unom и Inom
Зависит
от
Unom и Inom



|
1 |
2 |
3 |
4 |
|
Измерения коэффициента мощности (Pf) |
От 0 до 1,00 (Для U от 0,5 • Unom до 1,5 • Unom; I от 0,01 • Inom до Inom) |
0,01 |
+0,03 |
|
Измерение коэффициента сдвига фаз (DPF) |
От 0 до 1,00 (Для U от 0,5 • Unom до 1,5 • Unom; I от 0,01 • Inom до Inom) |
0,01 |
±0,03 |
|
Измерение коэффициента несимметрии напряжения по обратной (K2U) и нулевой (Кои) последовательности |
От 0 до 20% (для U от 0,8- Unom до 1,5 • Unom) |
0,1 |
+0,15 |
|
Измерение среднеквадратического значения гармонических составляющих напряжения (UH,h) |
От 0 до 120%^Unom |
0,01% •Uno m |
±0,0015^Unom (для UH,h<0,03^Unom) ±0,05- UH,h (для UH,h> 0,01-Unom) |
|
Измерение среднеквадратического значения гармонических составляющих силы тока (IH,h) |
В зависимости от используемых клещей (смотреть данные IRMS) |
0,01%^ Inom |
±0,005- Inom (для IH,h<0,1-Unom) ±0,05- IH,h (для IH,h> 0,01-Unom) |
|
Примечания | |||
| |||
Продолжение таблицы 2_______________________________________________________
Примечания
-
17. Rизм - измеренное значение электрического сопротивления малым током, Ом;
-
18. Risoизм - измеренное значение сопротивления электроизоляции, Ом;
-
19. Un - значение тестового напряжения постоянного тока, В;
-
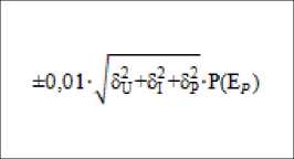
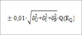
20. Р (ЕР) - измеренное значение активной мощности (энергии), Вт;
5и - предел допускаемой относительной погрешности измерения напряжения переменного тока, %;
5i - предел допускаемой относительной погрешности измерения силы переменного тока, %;
5р - предел допускаемой относительной погрешности измерения угла сдвига фаз: для сos ф Ф 0, Sp. = 100 ■ ^1 - (%); для sin ф 0, Sp = Ю'О' ■ (1 - (%);
ф - угол сдвига фаз между напряжением и током, Лф - абсолютная погрешность измерения угла сдвига фаз между напряжением и током.
-
21. Q (Eq) - измеренное значение реактивной мощности (энергии), вар;
-
22. S (Es) - измеренное значение полной мощности (энергии), ВА;
-
23. PF - измеренное значение коэффициента мощности;
-
24. DPF - измеренное значение коэффициента сдвига фаз;
-
25. е.м.р. - единица младшего разряда;
-
26. Диапазон измерения полного сопротивления цепи “фаза-нуль”, “фаза-фаза” и “фаза-защитный проводник” Z (согласно ГОСТ Р МЭК 61557-3-2006 (IEC 615573:1997)): от 0,13 до 1999,00 Ом;
-
27. Диапазон измерения полного сопротивления цепи “фаза-защитный проводник” без срабатывания УЗО Z (согласно ГОСТ Р МЭК 61557-3-2006 (IEC 61557-3:1997)): от 0,5 до 1999,0 Ом;
-
28. Диапазон измерения сопротивления защитных проводников Rcont (согласно ГОСТ Р МЭК 61557-4-2005 (IEC 61557-4:1997)): от 0,12 до 400,00 Ом;
измерения сопротивления заземляющего устройства RE
61557-5-2008 (IEC 61557-5:1997)): от 0,5 Ом (1 Ом для
-
29. Начало диапазона (согласно ГОСТ Р МЭК бесконтактного метода);
измерения сопротивления электроизоляции RISO (согласно
-
30. Начало диапазона
ГОСТ Р 54127-2-2011 (IEC 61557-2): от 50 кОм.
Таблица 3 - Основные технические
|
Характеристика |
Значение |
|
Габаритные размеры (длина х ширина х высота), мм |
223 х 228 х 75 |
|
Масса, кг, не более |
2,2 |
|
Рабочие условия эксплуатации:
|
от 0 до +50 от 20 до 80 |

