Номер по Госреестру СИ: 95724-25
95724-25 Система измерительная установки № 23 ООО «ЛУКОЙЛ-Волгограднефтепереработка»
()
Назначение средства измерений:
Система измерительная установки № 23 ООО «ЛУКОЙЛ-Волгограднефтепереработка» (далее - ИС) предназначена для измерений параметров технологического процесса в реальном масштабе времени (температуры, давления, перепада давления, уровня, объемного расхода, массового расхода, нижнего концентрационного предела распространения пламени (далее - НКПР), плотности, показателя преломления, удельной электрической проводимости, напряжения переменного тока, ввода аналоговых сигналов силы постоянного тока, электрического сопротивления (температуры)), формирования аналоговых сигналов управления и регулирования.

Внешний вид.
Система измерительная установки № 23 ООО «ЛУКОЙЛ-Волгограднефтепереработка»
Рисунок № 1
Знак утверждения типа
Знак утверждения типананосится на маркировочную табличку и титульный лист паспорта типографским способом.
Сведения о методиках измерений
Сведения о методиках (методах) измеренийприведены в разделе 1 «Описание и работа» руководства по эксплуатации.
Нормативные и технические документы
Нормативные документы, устанавливающие требования к средству измеренийПриказ Федерального агентства по техническому регулированию и метрологии от 1 октября 2018 г. № 2091 «Об утверждении государственной поверочной схемы для средств измерений силы постоянного электрического тока в диапазоне от 1 •IO-16 до 100 А»;
Приказ Федерального агентства по техническому регулированию и метрологии от 28 июля 2023 г. № 1520 «Об утверждении государственной поверочной схемы для средств измерений постоянного электрического напряжения и электродвижущей силы»;
Приказ Федерального агентства по техническому регулированию и метрологии от 30 декабря 2019 г. № 3456 «Об утверждении государственной поверочной схемы для средств измерений электрического сопротивления постоянного и переменного тока».
Правообладатель
Общество с ограниченной ответственностью «ЛУКОЙЛ-Волгограднефтепереработка» (ООО «ЛУКОЙЛ-Волгограднефтепереработка»)
ИНН 3448017919
Юридический адрес: 400029, Волгоградская обл., г. Волгоград, ул. 40 лет ВЛКСМ, д. 55 Телефон: (8442) 96-30-01, 96-30-03
Факс: (8442) 96-34-58, 96-34-35
E-mail: refinery@vnpz.lukoil.com
Web-сайт: http://vnpz.lukoil.ru
Изготовитель
Общество с ограниченной ответственностью «ЛУКОЙЛ-Волгограднефтепереработка» (ООО «ЛУКОЙЛ-Волгограднефтепереработка»)
ИНН 3448017919
Адрес: 400029, Волгоградская обл., г. Волгоград, ул. 40 лет ВЛКСМ, д. 55 Телефон: (8442) 96-30-01, 96-30-03
Факс: (8442) 96-34-58, 96-34-35
E-mail: refinery@vnpz.lukoil.com
Web-сайт: http://vnpz.lukoil.ru
Испытательный центр
Общество с ограниченной ответственностью «ПРОММАШ ТЕСТ Метрология» (ООО «ПРОММАШ ТЕСТ Метрология»)
Юридический адрес: 119415, г. Москва, пр-кт Вернадского, д. 41, стр. 1, помещ. 263 Адрес места осуществления деятельности: 142300, Московская обл., Чеховский р-н, г. Чехов, Симферопольское ш., д. 2
Телефон: +7 (495) 108-69-50
E-mail: info@metrologiya.prommashtest.ru
Правообладатель
Общество с ограниченной ответственностью «ЛУКОЙЛ-Волгограднефтепереработка» (ООО «ЛУКОЙЛ-Волгограднефтепереработка»)
ИНН 3448017919
Юридический адрес: 400029, Волгоградская обл., г. Волгоград, ул. 40 лет ВЛКСМ, д. 55 Телефон: (8442) 96-30-01, 96-30-03
Факс: (8442) 96-34-58, 96-34-35
E-mail: refinery@vnpz.lukoil.com
Web-сайт: http://vnpz.lukoil.ru
Принцип действия ИС основан на непрерывном измерении, преобразовании и обработке при помощи контроллеров C300, контроллеров противоаварийной защиты Safety Manager и модулей ввода/вывода системы измерительно-управляющей ExperionPKS (регистрационный № 67039-17 в Федеральном информационном фонде по обеспечению единства измерений (далее - ФИФОЕИ)) (далее - ExperionPKS) и программируемых контроллеров SIMATIC S7-300, устройства распределительного ввода-вывода SIMATIC ET 200SP (регистрационный № 60344-15 в ФИФОЕИ) входных сигналов, поступающих по измерительным каналам (далее - ИК) от первичных и промежуточных измерительных преобразователей (далее - ИП).
ИС осуществляет измерение параметров технологического процесса следующим образом:
-
- первичные ИП преобразуют текущие значения параметров технологического процесса в аналоговые унифицированные электрические сигналы силы постоянного тока от 4 до 20 мА, сигналы термопреобразователей сопротивления по ГОСТ 6651-2009 и сигналы термопар по ГОСТ Р 8.585-2001;
-
- аналоговые унифицированные электрические сигналы силы постоянного тока от 4 до 20 мА от первичных ИП поступают на входы:
а) преобразователей измерительных серии MTL4500 (регистрационный № 39587-14 в ФИФОЕИ) модели MTL4544 (далее - MTL4544) и далее на входы модулей ввода аналоговых сигналов серии I/O Modules - Series C моделей CC-PAIH02 (далее - CC-PAIH02) контроллеров C300 ExperionPKS (часть сигналов поступает на модули ввода аналоговых сигналов без барьеров искрозащиты);
б) преобразователей измерительных серии MTL4500 (регистрационный № 39587-14 в ФИФОЕИ) модели MTL4541 (далее - MTL4541) и далее на входы модулей ввода аналоговых сигналов серии I/O Modules - Series C моделей CC-PAIH02 (далее - CC-PAIH02) контроллеров C300 ExperionPKS или на входы модулей ввода аналоговых сигналов FC-SAI-1620M (далее - FC-SAI-1620M) контроллеров Safety Manager (часть сигналов поступает на модули ввода аналоговых сигналов без барьеров искрозащиты);
в) барьеров искробезопасности НБИ (регистрационный № 59512-14 в ФИФОЕИ) модели НБИ-21У (далее - НБИ-21У) и далее на входы модулей ввода аналоговых сигналов 6ES7134-6HB00-0CA1 (далее - 6ES7134-6HB00-0CA1) контроллеров SIMATIC S7-300 (часть сигналов поступает на модули ввода аналоговых сигналов без барьеров искрозащиты);
- сигналы термопреобразователей сопротивления по ГОСТ 6651-2009 и сигналы термопар по ГОСТ Р 8.585-2001 поступают на входы преобразователей измерительных серии MTL4500 (регистрационный № 83143-21 в ФИФОЕИ) модели MTL4575 (далее - MTL4575) или на входы шунт-диодных барьеров искробезопасности БИ-001 (далее - БИ-001) и далее на входы модулей ввода аналоговых сигналов серии I/O Modules - Series C моделей CC-PAIX02 (далее - CC-PAIX02) или CC-PAIH02 контроллеров C300 ExperionPKS или на входы модулей ввода аналоговых сигналов FC-SAI-1620M или на входы модулей ввода аналоговых сигналов 6ES7134-6JD00-0CA1 (далее - 6ES7134-6JD00-0CA1) контроллеров SIMATIC S7-300 (часть сигналов поступает на модули ввода аналоговых сигналов 6ES7134-6JD00-0CA1 без барьеров искрозащиты).
Цифровые коды, преобразованные посредством модулей ввода аналоговых сигналов CC-PAIH02, CC-PAIX02, FC-SAI-1620M, 6ES7134-6HB00-0CA1 и 6ES7134-6JD00-0CA1 в значения физических параметров технологического процесса, отображаются на мнемосхемах мониторов операторских станций управления в виде числовых значений, гистограмм, трендов, текстов, рисунков и цветовой окраски элементов мнемосхем, а также интегрируются в базу данных ИС.
Для выдачи управляющих воздействий используются преобразователи измерительные серий MTL4600 (регистрационный № 39587-14 в ФИФОЕИ) модели MTL4549C
(далее - MTL4549C) с модулями вывода аналоговых сигналов серии I/O Modules - Series C модели CC-PAOH01 (далее - CC-PAOH01) контроллеров C300 ExperionPKS и барьеры искробезопасности НБИ (регистрационный № 59512-14 в ФИФОЕИ) модели НБИ-21У (далее - НБИ-21У) с модулями вывода аналоговых сигналов 6ES7135-6HB00-0CA1 (далее - 6ES7135-6HB00-0CA1) устройства распределенного ввода-вывода SIMATIC ET 200SP (регистрационный № 60344-15 в ФИФОЕИ).
К данному типу средства измерений относится ИС c заводским номером 23.
Состав средств измерений, применяемых в качестве первичных ИП ИК, указан в таблице 1.
|
Таблица 1 - Средства измерений, применяемые в качестве первичных |
ИП ИК | |
|
Наименование ИК |
Первичный ИП |
Регистрационный номер |
|
ИК температуры |
Преобразователи термоэлектрические 901820 (далее - 901820) |
70328-18 |
|
Термопреобразователи сопротивления 90.2820 (далее - 90.2820) |
60922-15 | |
|
Термопреобразователи сопротивления 902821 (далее - 902821) |
68302-17 | |
|
Термопреобразователи сопротивления Rosemount 0065 (далее - Rosemount 0065) |
53211-13 | |
|
Преобразователи термоэлектрические 1C59-R (далее - ТС59-И) |
71573-18 | |
|
Преобразователи вторичные TIF50 (далее -TIF50) |
71387-18 | |
|
Термопреобразователи сопротивления из платины и меди и их чувствительные элементы ТС-1088 (далее - ТС-1088) |
58808-14 | |
|
ИК температуры |
Термопреобразователи сопротивления ТСП 012 (далее - ТСП 012) |
60966-15 |
|
Термопреобразователи сопротивления взрывозащищенные ТСП Метран-256 (далее -ТСП Метран-256) |
21969-11 | |
|
Датчики температуры ТСПТ Ех (далее - ТСПТ Ех) |
57176-14 | |
|
ИК давления |
Преобразователи давления измерительные 3051CG (далее - 3051CG) |
14061-15 |
|
Преобразователи давления измерительные Cerabar M PMP51 (далее - Cerabar M PMP51) |
71892-18 | |
|
Преобразователи давления измерительные Cerabar M PMP55 (далее - Cerabar M PMP55) |
71892-18 | |
|
Преобразователи давления измерительные Cerabar S PMP71 (далее - Cerabar S PMP71) |
71892-18 | |
|
Преобразователи давления измерительные EJA 530A (далее - EJA 530A) |
14495-09 | |
|
Преобразователи давления измерительные EJX 510A (далее - EJX 510A) |
59868-15 | |
|
Преобразователи давления измерительные EJX 530A (далее - EJX 530A) |
59868-15 | |
|
ИК перепада давлений |
3051CG |
14061-15 |
|
Преобразователи давления измерительные DPT-10 (далее - DPT-10) |
67911-17 | |
|
Преобразователи давления измерительные EJX 110A (далее - EJX 110A) |
59868-15 | |
|
Преобразователи давления измерительные EJA 530A (далее - EJA 530A) |
59868-15 | |
|
Преобразователи давления измерительные EJX 120A (далее - EJX 120A) |
59868-15 | |
|
Преобразователи давления измерительные Deltabar M PMD55 (далее - Deltabar M PMD55) |
72796-18 | |
|
Наименование ИК |
Первичный ИП |
Регистрационный номер |
|
ИК уровня |
EJA 530A |
59868-15 |
|
Уровнемеры микроимпульсные Levelflex FMP51 (далее - Levelflex FMP51) |
47249-16 | |
|
Уровнемеры микроимпульсные Levelflex FMP54 (далее - Levelflex FMP54) |
47249-16 | |
|
Уровнемеры микроволновые контактные VEGAFLEX 81 (далее - VEGAFLEX 81) |
53857-13 | |
|
Датчики уровня буйковые цифровые ЦДУ-01 (далее - ЦДУ-01) |
47982-11 | |
|
ИК объемного расхода |
Расходомеры-счетчики ультразвуковые OPTISONIC 3400 (далее - OPTISONIC 3400) |
57762-14 |
|
Расходомеры электромагнитные Promag P 300 (далее - Promag P 300) |
67922-17 | |
|
ИК объемного расхода |
Расходомеры вихревые Prowirl F 200 (далее -Prowirl F 200) |
58533-14 |
|
Расходомеры вихревые Prowirl O 200 (далее -Prowirl O 200) |
58533-14 | |
|
Расходомеры массовые Promass F 300 (далее - Promass F 300) |
68358-17 | |
|
ИК массового расхода |
Prowirl F 200 |
58533-14 |
|
ИК НКПР |
Датчики горючих и токсичных газов Millennium II (далее - Millennium II) |
67710-17 |
|
Газоанализаторы THERMOX серии WDG-IV (далее - WDG-IV) |
38307-08 | |
|
ИК плотности |
Преобразователи плотности и вязкости FVM (далее - FVM) |
62129-15 |
|
Преобразователи плотности газа GDM (далее - GDM) |
62150-15 | |
|
ИК цвета по шкале ASTM D1500 |
Анализаторы промышленные определения цвета/мутности ICON (далее - ICON) |
51894-12 |
|
ИК показателя преломления |
Рефрактометры промышленные K-Patents PR-23 (далее - PR-23) |
77020-19 |
|
ИК удельной электрической проводимости |
Кондуктометры-солемеры МАРК-602 (далее - МАРК-602) |
25807-16 |
|
ИК напряжения переменного тока |
Преобразователи сигналов измерительные нормирующие НПСИ (далее - НПСИ) |
72891-18 |
|
Преобразователи измерительные многофункциональные ЭНИП-2 (далее -ЭНИП-2) |
56174-14 | |
|
ИК силы переменного тока |
Преобразователи измерительные переменного тока и напряжения Е854ЭЛ (далее - Е854ЭЛ) |
68159-17 |
|
НПСИ |
72891-18 |
ИС выполняет:
- автоматизированное измерение, регистрацию, обработку, контроль, хранение и индикацию параметров технологического процесса;
-
- предупредительную и аварийную сигнализацию при выходе параметров технологического процесса за установленные границы и при обнаружении неисправности в работе оборудования;
-
- управление технологическим процессом в реальном масштабе времени;
-
- противоаварийную защиту оборудования установки;
-
- отображение технологической и системной информации на операторской станции управления;
-
- накопление, регистрацию и хранение поступающей информации;
-
- самодиагностику;
-
- автоматическое составление отчетов и рабочих (режимных) листов;
-
- защиту системной информации от несанкционированного доступа к программным средствам и изменения установленных параметров.
Пломбирование ИС не предусмотрено.
Конструкция ИС и условия эксплуатации ИС не предусматривают нанесение знака поверки непосредственно на ИС.
Заводской номер ИС в виде цифрового обозначения, состоящего и арабских цифр, нанесен типографским способом на маркировочную табличку, расположенную на шкафу вторичной части ИК ИС, и в паспорте ИС. Общий вид маркировочной таблички представлен на рисунке 1.
ЛУКОЙЛ
ООО «ЛУКОЙЛ-Вшп 01 раднефчеиерерайи гка»
Система измерительны установки Mi 23
ООО «ЛУКОЙ. 1-Нплгоградпсфтсперерайпткй»
Заподскоп помер: 23
И згш овнт&лъ: ООО «ЛУКОИЛ-Вилпн раднефтеиерерабитка»
Рисунок 1 - Общий вид маркировочной таблички
Программное обеспечение
Программное обеспечение (далее - ПО) ИС обеспечивает реализацию функций ИС.
Защита ПО ИС от непреднамеренных и преднамеренных изменений и обеспечение его соответствия утвержденному типу осуществляется путем идентификации, защиты от несанкционированного доступа.
ПО ИС защищено от несанкционированного доступа, изменения алгоритмов и установленных параметров путем введения логина и пароля, ведения доступного только для чтения журнала событий.
Уровень защиты ПО ИС «высокий» в соответствии с Р 50.2.077-2014.
Идентификационные данные ПО ИС приведены в таблице 2.
Таблица 2 - Идентификационные данные ПО ИС
|
Идентификационные данные (признаки) |
Значение | |
|
Идентификационное наименование ПО |
Honeywell Experion PKS |
Honeywell Safety Manager |
|
Номер версии (идентификационный номер) ПО |
R511.4 |
R162.4 |
|
Цифровой идентификатор ПО |
- | |
Таблица 5 - Комплектность ИС
|
Наименование |
Обозначение |
Количество, шт./экз. |
|
Система измерительная установки № 23 ООО «ЛУКОЙЛ-Волгограднефтепереработка» |
- |
1 |
|
Руководство по эксплуатации |
- |
1 |
|
Паспорт |
- |
1 |
Метрологические характеристики ИК ИС приведены в таблице 3.
Таблица 3 - Метрологические характеристики
|
Метрологические характеристики ИК |
Метрологические характеристики измерительных компонентов ИК | ||||||
|
Первичный ИИ |
Вторичная часть | ||||||
|
Наименование ИК |
Диапазоны измерений |
Пределы допускаемой основной погрешности |
Тип (выходной сигнал) |
Пределы допускаемой основной погрешности |
Тип барьера искро-защиты |
Тип модуля ввода/вывода |
Пределы допускаемой основной погрешност и измерений |
|
ИК температуры |
от -30 °C до +400 °C |
А: ±2,83 °C (от -30 до +333 °C включительно); А: ±3,37 °С4) (свыше ±333 до ±400 °C включительно) |
901820 (НСХ К) |
А: ±2,5 °C (от -30 до ±333 °C включительно); А: ±0,0075 -1 , °C (свыше ±333 до ±650 °C) |
MTL4575 |
CC-PAIH02 |
А: ±0,35 °C |
|
от -30 °C до +650 °C |
А: ±2,95 °C (от -30 до ±333 °C включительно); А: ±5,5 °С4) (свыше ±333 до ±650 °C включительно) |
А: ±0,60 °C | |||||
|
от 0 °C до +500 °C |
А: ±4,00 °C |
901820 (от 4 до 20 мА) |
А: ±3,5 °C |
MTL4544 |
CC-PAIH02 |
у: ±0,13 % | |
|
от -30 °C до +400 °C |
А: ±3,50 °C |
А: ±3,1 °C | |||||
|
от-30 °C до+1100 °C |
А: ±8,00 °C |
А: ±8,0 °C | |||||
|
от -30 °C до +400 °C |
А: ±3,70 °C |
А: ±3,1 °C |
MTL4541 |
FC-SAI- 1620М |
у: ±0,27 % | ||
|
от-30 °C до+1100 °C |
А: ±9,50 °C |
А: ±8,0 °C | |||||
|
Метрологические характеристики ИК |
Метро | |||
|
П( | ||||
|
Наименование ИК |
Диапазоны измерений |
Пределы допускаемой основной погрешности |
Тип (выходной сигнал) | |
|
ИК темпера-туры |
от -50 °C до +200 °C |
А: ±2,15 °C |
902820 (от 4 до 20 мА) | |
|
от 0 °C до+100 °C |
А |
±0,95 °С4) |
902821 (HCXPt 100) | |
|
от 0 °C до+150 °C |
А |
±1,27 °С4) | ||
|
от 0 °C до +200 °C |
А |
±1,50 °С4) | ||
|
от 0 °C до +250 °C |
А |
±1,83 °С4) | ||
|
от 0 °C до +400 °C |
А |
±2,62 °С4) | ||
|
от 0 °C до +500 °C |
А |
±3,18 °С4) | ||
|
от -30 °C до +200 °C |
А |
±1,51 °С4) | ||
|
от -30 °C до +400 °C |
А |
±2,63 °С4) | ||
|
от-50 °C до+150 °C |
А |
±1,29 °С4) | ||
|
от 0 °C до+150 °C |
А |
±1,27 °С4) | ||
|
от 0 °C до +200 °C |
А |
±1,50 °С4) | ||
|
от 0 °C до +500 °C |
А |
±3,18 °С4) | ||
|
от -50 °C до +50 °C |
А |
±0,75 °С4) | ||
|
от -50 °C до +80 °C |
А |
±0,86 °С4) | ||
|
от-50 °C до+100 °C |
А |
±0,97 °С4) | ||
|
от-50 °C до+150 °C |
А |
±1,29 °С4) | ||
|
от -50 °C до +200 °C |
А |
±1,52 °С4) | ||
|
от -50 °C до +300 °C |
А |
±2,08 °С4) | ||
|
от -50 °C до +500 °C |
А |
±3,19 °С4) | ||
|
логические характеристики измерительных компонентов ИК | ||||
|
ервичный ИИ |
Вторичная часть | |||
|
Пределы допускаемой основной погрешности |
Тип барьера искро-защиты |
Тип модуля ввода/вывода |
Пределы допускаемой основной погрешност и измерений | |
|
А: ±1,9 °C |
MTL4544 |
CC-PAIH02 |
у: ±0,13 % | |
|
A: ±(0,3±0,005-|t|) |
MTL4575 |
CC-PAIX02 |
А |
±0,31 °C |
|
А |
±0,35 °C | |||
|
А |
±0,40 °C | |||
|
А |
±0,45 °C | |||
|
А |
±0,59 °C | |||
|
А |
±0,69 °C | |||
|
А |
±0,43 °C | |||
|
А |
±0,62 °C | |||
|
А |
±0,40 °C | |||
|
MTL4575 |
CC-PAIH02 |
А |
±0,35 °C | |
|
А |
±0,40 °C | |||
|
А |
±0,69 °C | |||
|
А |
±0,31 °C | |||
|
А |
±0,34 °C | |||
|
А |
±0,35 °C | |||
|
А |
±0,40 °C | |||
|
А |
±0,45 °C | |||
|
А |
±0,55 °C | |||
|
А |
±0,74 °C | |||
|
Метрологические характеристики ИК |
Метрологические характеристики измерительных компонентов ИК | ||||||
|
Первичный ИИ |
Вторичная часть | ||||||
|
Наименование ИК |
Диапазоны измерений |
Пределы допускаемой основной погрешности |
Тип (выходной сигнал) |
Пределы допускаемой основной погрешности |
Тип барьера искро-защиты |
Тип модуля ввода/вывода |
Пределы допускаемой основной погрешност и измерений |
|
ИК температуры |
от-50 °C до+150 °C |
А: ±1,39 °С4) |
902821 (HCXPt 100) |
A: ±(0,3±0,005-|t|) |
MTL4575 |
FC-SAI- 1620М |
А: ±0,62 °C |
|
от -30 °C до +200 °C |
А: ±1,81 °С4) |
БИ-001 |
6ES7134- 6JD00-0CA1 |
А: ±1,00 °C | |||
|
от -30 °C до +300 °C |
А: ±3,67 °C |
902821 (от 4 до 20 мА) |
А: ±3,3 °C |
MTL4544 |
CC-PAIH02 |
у: ±0,13 % | |
|
от -30 °C до +400 °C |
А: ±4,77 °C |
А: ±4,3 °C | |||||
|
от-50 °C до+100 °C |
А: ±0,59 °С4) |
Rosemount 0065 (HCXPt 100) |
A: ±(0,15±0,002-|t|) |
MTL4575 |
CC-PAIX02 |
А: ±0,35 °C | |
|
от -40 °C до +600 °C |
А: ±2,14 °C (от-40 до 0 °C включ.); А: ±2,21 °C (от 0 до 375 °C включ.); А: ±3,03 °C (от 375 до 600 °C включ.) |
TC59-R (НСХ К) TIF50 (от 4 до 20 мА) |
TC59-R: А: ±1,5 °C (от-40 до ±375 °C включ.); А: ±(0,004 |t|) °C (свыше ±375 до ±600 °C включ.); TIF50: А: ±(0,4±0,002 |t|)°C (от -40 до 0 °C включ.); А: ±(0,4±0,0004 |t|)°C (от 0 до 600°С включ.); A: ±(0,0003±At)°C; А: 0,8 °C (компенсация температуры холодного спая) |
MTL4544 |
CC-PAIH02 |
у: ±0,13 % | |
|
Метрологические характеристики ИК |
Метрологические характеристики измерительных компонентов ИК | ||||||
|
Первичный ИИ |
Вторичная часть | ||||||
|
Наименование ИК |
Диапазоны измерений |
Пределы допускаемой основной погрешности |
Тип (выходной сигнал) |
Пределы допускаемой основной погрешности |
Тип барьера искро-защиты |
Тип модуля ввода/вывода |
Пределы допускаемой основной погрешност и измерений |
|
ИК темпера-туры |
от-50 °C до+150 °C |
А: ±1,29 °C |
ТС-1088 (HCXPt 100) |
A: ±(0,3±0,005-|t|) |
MTL4575 |
CC-PAIH02 |
А: ±0,40 °C |
|
от -50 °C до +200 °C |
А: ±1,52 °C |
А: ±0,45 °C | |||||
|
от -50 °C до +200 °C |
А: ±1,66 °C |
MTL4575 |
FC-SAI- 1620М |
А: ±0,75 °C | |||
|
от-50 °C до +350 °C |
А: ±2,63 °C |
А: ±1,13 °C | |||||
|
от -50 °C до +200 °C |
А: ±1,66 °C |
ТСП012 (HCXPt 100) |
A: ±(0,3±0,005-|t|) |
MTL4575 |
FC-SAI- 1620М |
А: ±0,75 °C | |
|
от 0 °C до +200 °C |
А: ±1,81 °C |
БИ-001 |
6ES7134- 6JD00-0CA1 |
А: ±1,00 °C | |||
|
от -30 °C до +200 °C |
А: ±1,81 °C | ||||||
|
от -50 °C до +200 °C |
А: ±1,81 °C | ||||||
|
от -50 °C до +200 °C |
А: ±1,52 °C |
ТСП Метран-256 (HCXPt 100) |
A: ±(0,3±0,005-|t|) |
MTL4575 |
CC-PAIX02 |
А: ±0,45 °C | |
|
от-30 °C до+150 °C |
А: ±1,37 °C |
ТСПТ Ех (HCXPt 100) |
A: ±(0,3±0,005-|t|) |
MTL4575 |
FC-SAI- 1620М |
А: ±0,58 °C | |
|
от-50 °C до+150 °C |
А: ±1,39 °C |
А: ±0,62 °C | |||||
|
от -50 °C до +200 °C |
А: ±1,66 °C |
А: ±0,75 °C | |||||
|
от -50 °C до +200 °C |
А: ±1,81 °C |
БИ-001 |
6ES7134- 6JD00-0CA1 |
А: ±1,00 °C | |||
|
ИК давления |
от 0 до 2068 кПа |
у: от ±0,18 % до ±1,25 % |
3051CG (от 4 до 20 мА) |
у: от ±0,04 % до ±1,125 % |
НБИ-21П |
6ES7134- 6НВ00-0СА1 |
у: ±0,15% |
|
Метрологические характеристики ИК |
Метрологические характеристики измерительных компонентов ИК | ||||||
|
Первичный ИП |
Вторичная часть | ||||||
|
Наименование ИК |
Диапазоны измерений |
Пределы допускаемой основной погрешности |
Тип (выходной сигнал) |
Пределы допускаемой основной погрешности |
Тип барьера искро-защиты |
Тип модуля ввода/вывода |
Пределы допускаемой основной погрешност и измерений |
|
ИК давления |
от 0 до 0,6 МПа; от 0 до 1,0 МПа; от 0 до 1,6 МПа; от 0 до 2,5 МПа; от 0 до 3,0 МПа |
у: ±0,2 % |
Cerabar М РМР51 (от 4 до 20 мА) |
у: ±0,1 % |
НБИ-21П |
6ES7134- 6НВ00-0СА1 |
у: ±0,15% |
|
от -0,1 до 0,4 МПа; от 0 до 0,4 МПа |
у: ±0,32 % |
Cerabar М РМР55 (от 4 до 20 мА) |
у: ±0,1 % |
MTL4541 |
FC-SAI- 1620М |
у: ±0,27 % | |
|
от 0 до 1,0 МПа |
у: ±0,19% |
MTL4544 |
CC-PAIH02 |
у: ±0,13 % | |||
|
от -0,1 до 1,0 МПа |
у: ±0,18% |
Cerabar S РМР71 (от 4 до 20 мА) |
у: ±0,05 % |
НБИ-21П |
6ES7134- 6НВ00-0СА1 |
у: ±0,15% | |
|
от 0 до 1,0 МПа |
у: ±0,31 % |
MTL4541 |
FC-SAI- 1620М |
у: ±0,27 % | |||
|
от -0,1 до 1,0 МПа; от -0,1 до 4,0 МПа; от 0 до 1,0 МПа; от 0 до 1,6 МПа; от 0 до 4,0 МПа |
у: ±0,16% |
MTL4544 |
CC-PAIH02 |
у: ±0,13 % | |||
|
от 0 до 4,0 МПа |
у: ±0,17% |
EJA 530А (от 4 до 20 мА) |
у: ±0,075 % |
MTL4544 |
CC-PAIH02 |
у: ±0,13 % | |
|
от 0 до 1,0 МПа |
у: ±0,18% |
EJX510A (от 4 до 20 мА) |
у: ±0,04 % |
НБИ-21П |
6ES7134- 6НВ00-0СА1 |
у: ±0,15% | |
|
от 0 до 1,0 МПа |
у: ±0,31 % |
MTL4541 |
FC-SAI- 1620М |
у: ±0,27 % | |||
|
Метрологические характеристики ИК |
Метрологические характеристики измерительных компонентов ИК | ||||||
|
Первичный ИП |
Вторичная часть | ||||||
|
Наименование ИК |
Диапазоны измерений |
Пределы допускаемой основной погрешности |
Тип (выходной сигнал) |
Пределы допускаемой основной погрешности |
Тип барьера искро-защиты |
Тип модуля ввода/вывода |
Пределы допускаемой основной погрешност и измерений |
|
ИК давления |
от 0 до 46,26 кПа; от 0 до 79,64 кПа; от 0 до 0,2 МПа; от 0 до 0,3 МПа; от 0 до 1,0 МПа; от 0 до 1,6 МПа; от 0 до 5,0 МПа; от 0 до 10,0 МПа |
у: ±0,31 |
EJX 530А (от 4 до 20 мА) |
у: ±0,04 % |
MTL4541 |
FC-SAI- 1620М |
у: ±0,27 % |
|
от 0 до 1,0 МПа |
у: ±0,15 |
MTL4541 |
CC-PAIH02 |
у: ±0,13 % | |||
|
от 0 до 45,26 кПа; от 0 до 76,14 кПа; от 0 до 200,0 кПа; от 0 до 0,06 МПа; от 0 до 0,3 МПа; от 0 до 0,4 МПа; от 0 до 0,6 МПа; от 0 до 1,0 МПа; от 0 до 1,6 МПа; от 0 до 2,0 МПа; от 0,04 до 2,0 МПа; от 0 до 2,5 МПа; от 0 до 3,0 МПа; от 0 до 4,0 МПа; от 0 до 5,0 МПа; от 0 до 6,0 МПа; от 0 до 10 МПа; |
у: ±0,15 |
MTL4544 |
CC-PAIH02 |
у: ±0,13 % | |||
|
Метрологические характеристики ИК |
Метрологические характеристики измерительных компонентов ИК | ||||||
|
Первичный ИП |
Вторичная часть | ||||||
|
Наименование ИК |
Диапазоны измерений |
Пределы допускаемой основной погрешности |
Тип (выходной сигнал) |
Пределы допускаемой основной погрешности |
Тип барьера искро-защиты |
Тип модуля ввода/вывода |
Пределы допускаемой основной погрешност и измерений |
|
от 0,2 до 10 МПа | |||||||
|
ИК перепада давления2^ |
от 0 до 80 кПа; от 0 до 248 кПа; от 0 до 600 кПа |
у: от ±0,18 % до ±1,25 % |
3051CG (от 4 до 20 мА) |
у: от ±0,04 % до ±1,125 % |
НБИ-21П |
6ES7134- 6НВ00-0СА1 |
у: ±0,15% |
|
от 0 до 4,78 кПа |
у: ±0,31 % |
DPT-10 (от 4 до 20 мА) |
у: ±0,075 % |
MTL4541 |
FC-SAI- 1620М |
у: ±0,27 % | |
|
от 0 до 250 кПа |
у: ±0,18% |
EJX110А (от 4 до 20 мА) |
у: ±0,04 % |
НБИ-21П |
6ES7134- 6НВ00-0СА1 |
у: ±0,15% | |
|
от 0 до 40 кПа; от 0 до 63 кПа |
у: ±0,31 % |
MTL4541 |
FC-SAI- 1620М |
у: ±0,27 % | |||
|
от 0 до 40 кПа; от 0 до 63 кПа; от 0 до 250 кПа; от 0 до 500 кПа |
у: ±0,15% |
MTL4544 |
CC-PAIH02 |
у: ±0,13 % | |||
|
от -100 до 100 Па |
у: ±0,35 % |
EJX120А (от 4 до 20 мА) |
у: ±0,165% |
MTL4541 |
FC-SAI- 1620М |
у: ±0,27 % | |
|
от -100 до 100 Па |
у: ±0,24 % |
MTL4544 |
CC-PAIH02 |
у: ±0,13 % | |||
|
от 0,1 до 1 кПа |
у: ±0,18% |
у: ±0,09 % |
MTL4544 |
CC-PAIH02 |
у: ±0,13 % | ||
|
от 0 до 25 кПа |
у: ±0,32 % |
Deltabar М PMD55 (от 4 до 20 мА) |
у: ±0,1 % |
MTL4541 |
FC-SAI- 1620М |
у: ±0,27 % | |
|
от 0 до 25 кПа; от 0 до 250 кПа |
у: ±0,2 % |
НБИ-21П |
6ES7134- 6НВ00-0СА1 |
у: ±0,15% | |||
|
Метрологические характеристики ИК |
Метрологические характеристики измерительных компонентов ИК | |||||||
|
Первичный ИП |
Вторичная часть | |||||||
|
Наименование ИК |
Диапазоны измерений |
Пределы допускаемой основной погрешности |
Тип (выходной сигнал) |
Пределы допускаемой основной погрешности |
Тип барьера искро-защиты |
Тип модуля ввода/вывода |
Пределы допускаемой основной погрешност и измерений | |
|
ИК уровня2) |
от 0 до 5,12 кПа; от 0 до 6,89 кПа; от 0 до 9,07 кПа; от 5,36 до 8,37 кПа |
у: ±0,15% |
EJX110А (от 4 до 20 мА) |
у: ±0,04 % |
MTL4544 |
CC-PAIH02 |
у: ±0,13 % | |
|
от 0 до 5,12 кПа; от 0 до 6,89 кПа; от 0 до 9,07 кПа |
у: ±0,31 % |
MTL4541 |
FC-SAI- 1620М |
у: ±0,27 % | ||||
|
от 1220 до 1000 мм |
А |
±2,23 мм |
Levelflex FMP51 (от 4 до 20 мА) |
А: ±2 мм |
MTL4544 |
CC-PAIH02 |
у: ±0,13 % | |
|
от 1820 до 1600 мм |
А |
±2,23 мм | ||||||
|
от 2220 до 2000 мм |
А |
±2,23 мм | ||||||
|
от 3500 до 2200 мм |
А |
±2,89 мм | ||||||
|
от 3600 до 2000 мм |
А |
±3,18 мм | ||||||
|
от 3900 до 2200 мм |
А |
±3,28 мм | ||||||
|
от 4370 до 4150 мм |
А |
±2,23 мм | ||||||
|
от 3900 до 2200 мм |
А |
±3,28 мм |
MTL4541 |
CC-PAIH02 |
у: ±0,13 % | |||
|
от 2750 до 2550 мм |
А |
±2,22 мм | ||||||
|
от 1820 до 1600 мм |
А |
±2,30 мм |
MTL4541 |
FC-SAI- 1620М |
у: ±0,27 % | |||
|
от 2220 до 2000 мм |
А |
±2,30 мм | ||||||
|
от 3600 до 2000 мм |
А |
±5,24 мм | ||||||
|
от 4370 до 4150 мм |
А |
±2,30 мм | ||||||
|
от 0 до 650 мм |
А: ±2,45 мм |
НБИ-21П |
6ES7134- 6НВ00-0СА1 |
у: ±0,15% | ||||
|
Метрологические характеристики ИК |
Метрологические характеристики измерительных компонентов ИК | ||||||
|
Первичный ИИ |
Вторичная часть | ||||||
|
Наименование ИК |
Диапазоны измерений |
Пределы допускаемой основной погрешности |
Тип (выходной сигнал) |
Пределы допускаемой основной погрешности |
Тип барьера искро-защиты |
Тип модуля ввода/вывода |
Пределы допускаемой основной погрешност и измерений |
|
ИК уровня2) |
от 2000 до 2220 мм |
А: ±2,22 мм |
Levelflex FMP54 (от 4 до 20 мА) |
А: ±2 мм |
MTL4544 |
CC-PAIH02 |
у: ±0,13 % |
|
от 3280 до 3060 мм |
А: ±2,23 мм | ||||||
|
от 4450 до 2600 мм |
А: ±3,45 мм | ||||||
|
от 4450 до 2600 мм |
А: ±5,92 мм |
MTL4541 |
FC-SAI- 1620М |
у: ±0,27 % | |||
|
от 3280 до 3060 мм |
А: ±2,30 мм | ||||||
|
от 2220 до 2000 мм |
А: ±2,28 мм | ||||||
|
от 950 до 150 мм |
А: ±2,48 мм |
VEGAFLEX81 (от 4 до 20 мА) |
А: ±2 мм |
MTL4544 |
CC-PAIH02 |
у: ±0,13 % | |
|
от 200 до 850 мм; от 200 до 1150 мм; от 200 до 1200 мм; от 200 до 1620 мм; от 200 до 1650 мм; от 200 до 1700 мм; от 200 до 2450 мм |
у: ±0,57 % |
ЦДУ-01 (от 4 до 20 мА) |
у: ±0,5 % |
MTL4544 |
CC-PAIH02 |
у: ±0,13 % | |
|
от 200 до 1650 мм; от 200 до 1700 мм; от 200 до 2450 мм |
у: ±0,63 % |
MTL4541 |
FC-SAI- 1620М |
у: ±0,27 % | |||
|
ИК объемного расхода |
от 0 до 100 м3/ч; от 0 до 120 м3/ч; от 0 до 130 м3/ч |
см. примечание 4 |
OPTISONIC 3400 (от 4 до 20 мА) |
6: ±0,5 % |
MTL4544 |
CC-PAIH02 |
у: ±0,13 % |
|
Метрологические характеристики ИК |
Метрологические характеристики измерительных компонентов ИК | ||||||
|
Первичный ИИ |
Вторичная часть | ||||||
|
Наименование ИК |
Диапазоны измерений |
Пределы допускаемой основной погрешности |
Тип (выходной сигнал) |
Пределы допускаемой основной погрешности |
Тип барьера искро-защиты |
Тип модуля ввода/вывода |
Пределы допускаемой основной погрешност и измерений |
|
ИК объемного расхода |
от 0 до 6 м3/ч; от 0 до 30 м3/ч; от 0 до 66 м3/ч; от 0 до 180 м3/ч; от 0 до 290 м3/ч; от 0 до 390 м3/ч; от 0 до 600 м3/ч; от 0 до 1100 м3/ч; от 0 до 1700 м3/ч; от 0 до 2400 м3/ч |
см. примечание 4 |
Promag Р 300 (от 4 до 20 мА) |
6: ±(1,О±Ао) % |
MTL4544 |
CC-PAIH02 |
у: ±0,13 % |
|
от 0 до 80 м3/ч; от 0 до 100 м3/ч; от 0 до 138,22 м3/ч; от 0 до 300 м3/ч; от 0 до 750 м3/ч; от 0 до 4500 м3/ч; от 0 до 8000 м3/ч; от 0 до 21973 м3/ч |
см. примечание 4 |
Prowirl F 200 (от 4 до 20 мА) |
жидкость:
газ и пар:
при имитационной поверке
6: ±1,0% |
MTL4544 |
CC-PAIH02 |
у: ±0,13 % | |
|
от 0 до 80 м3/ч; от 0 до 100 м3/ч |
MTL4541 |
FC-SAI- 1620М |
у: ±0,27 % | ||||
|
Метрологические характеристики ИК |
Метрологические характеристики измерительных компонентов ИК | ||||||
|
Первичный ИИ |
Вторичная часть | ||||||
|
Наименование ИК |
Диапазоны измерений |
Пределы допускаемой основной погрешности |
Тип (выходной сигнал) |
Пределы допускаемой основной погрешности |
Тип барьера искро-защиты |
Тип модуля ввода/вывода |
Пределы допускаемой основной погрешност и измерений |
|
ИК объемного расхода |
от 0 до 10 м3/ч; от 0 до 15 м3/ч; от 0 до 20 м3/ч; от 0 до 80 м3/ч; от 0 до 100 м3/ч; от 0 до 160 м3/ч; от 0 до 1700 м3/ч; |
см. примечание 4 |
Prowirl О 200 (от 4 до 20 мА) |
жидкость:
газ и пар:
при имитационной поверке
6: ±1,0% |
MTL4544 |
CC-PAIH02 |
у: ±0,13 % |
|
от 0 до 876 м3/ч |
см. примечание 4 |
КТМ100 РУС (от 4 до 20 мА) |
6: ±5 %3) (при 0,03<V<0,l); 6: ±3,5 %3) (при 0,l<V<0,3); 6: ±2 %3) (при 0,3<V<120), где V - скорость потока, м/с |
MTL4544 |
CC-PAIH02 |
у: ±0,13 % | |
|
от 0 до 2 м3/ч; от 0 до 3,81 м3/ч; от 0 до 60 м3/ч; от 0 до 70 м3/ч; от 0 до 90,674 м3/ч; от 0 до 160 м3/ч; от 0 до 199,56 м3/ч |
см. примечание 4 |
Promass F 300 (от 4 до 20 мА) |
6: ±0,1 % |
MTL4544 |
CC-PAIH02 |
у: ±0,13 % | |
|
Метрологические характеристики ИК |
Метрологические характеристики измерительных компонентов ИК | ||||||
|
Первичный ИП |
Вторичная часть | ||||||
|
Наименование ИК |
Диапазоны измерений |
Пределы допускаемой основной погрешности |
Тип (выходной сигнал) |
Пределы допускаемой основной погрешности |
Тип барьера искро-защиты |
Тип модуля ввода/вывода |
Пределы допускаемой основной погрешност и измерений |
|
ИК массового расхода |
от 0 до 0,661 т/ч; от 0 до 1 т/ч; от 0 до 9,476 т/ч; |
см. примечание 4 |
Prowirl F 200 (от 4 до 20 мА) |
для воды:
газ и пар:
при имитационной поверке - для воды при Re> 10000 6: ±1,5 % - для газа и пара при Re>10000 6: ±3,0 % |
MTL4544 |
CC-PAIH02 |
у: ±0,13 % |
|
ИКНКПР |
от 0 до 100 % НКПР |
А: ±5,51 %НКПР (в диапазоне от 0 до 50 % НКПР включ.); 6: ±11,02% (в диапазоне св. 50 до 100% НКПР) |
Millennium II (от 4 до 20 мА) |
А: ±5 % НКПР (в диапазоне от 0 до 50 % НКПР); 5: ±10 % (в диапазоне св. 50 до 100% НКПР) |
- |
FC-SAI- 1620М |
у: ±0,25 % |
|
Метрологические характеристики ИК |
Метрологические характеристики измерительных компонентов ИК | ||||||
|
Первичный ИИ |
Вторичная часть | ||||||
|
Наименование ИК |
Диапазоны измерений |
Пределы допускаемой основной погрешности |
Тип (выходной сигнал) |
Пределы допускаемой основной погрешности |
Тип барьера искро-защиты |
Тип модуля ввода/вывода |
Пределы допускаемой основной погрешност и измерений |
|
ИКНКПР |
от 0 до 5 % (объемные доли) (концентрация оксида углерода) |
у: ±2,21 % |
WDG-IV (от 4 до 20 мА) |
у: ±2 % |
MTL4544 |
CC-PAIH02 |
у: ±0,13 % |
|
от 0 до 100 % (объемные доли) (концентрация кислорода) |
у: ±2,22 % (в диапазоне от 0 до 5 %; 6: ±5,93 % (в диапазоне св. 5 до 100 %) |
у: ±2 % (в диапазоне от 0 до 5 %; 6: ±2 % (в диапазоне св. 5 до 100 %) |
MTL4541 |
FC-SAI- 1620М |
у: ±0,27 % | ||
|
ИК плотности |
от 600 до 1250 кг/м3 |
А: ± 1,49 кг/м3 |
FVM (от 4 до 20 мА) |
А: ± 1 кг/м3; у: ±0,05 % (погрешность преобразования плотности в токовый сигнал) |
MTL4544 |
CC-PAIH02 |
у: ±0,13 % |
|
от 1,5 до 10,0 кг/м3 |
см. примечание 4 |
GDM (от 4 до 20 мА) |
6: ± 0,1 % (при совпадении измеряемого газа с калибровочным) 5: ± 0,15 % (при несовпадении измеряемого газа с калибровочным) у: ±0,05 % (погрешность преобразования плотности в токовый сигнал) |
MTL4544 |
CC-PAIH02 |
у: ±0,13 % | |
|
ИК цвета по шкале |
от 0,5 до 8 абс. ед. |
А: ± 0,56 абс. ед. |
ICON (от 4 до 20 мА) |
А: ± 0,5 абс. ед. |
MTL4544 |
CC-PAIH02 |
у: ±0,13 % |
|
Метрологические характеристики ИК |
Метрологические характеристики измерительных компонентов ИК | ||||||
|
Первичный ИИ |
Вторичная часть | ||||||
|
Наименование ИК |
Диапазоны измерений |
Пределы допускаемой основной погрешности |
Тип (выходной сигнал) |
Пределы допускаемой основной погрешности |
Тип барьера искро-защиты |
Тип модуля ввода/вывода |
Пределы допускаемой основной погрешност и измерений |
|
ASTM D1500 | |||||||
|
ИК показатель преломлен ИЯ |
от 1,23 до 1,53 гю |
А: ±0,0005 гю |
PR-23 (от 4 до 20 мА) |
А: ± 0,0002 по |
MTL4544 |
CC-PAIH02 |
у: ±0,13 % |
|
ИК удельной электричес кой проводимо сти |
от 0 до 10000 мкСм/см |
А: ±220 мкСм/см |
МАРК-602 (от 4 до 20 мА) |
А: ± (0,03±0,02 %) мкСм/см |
MTL4544 |
CC-PAIH02 |
у: ±0,13 % |
|
ИК напряжени я переменно го тока |
от 0 до 500 В |
у: ±0,57 % |
нпси (от 4 до 20 мА) |
у: ±0,5 % |
MTL4544 |
CC-PAIH02 |
у: ±0,13 % |
|
от 2,885 до 86,55 В; от 5 до 150 В; от 11 до 330 В; от 19 до 570 В |
у: ±0,27 % |
ЭНИП-2 (от 4 до 20 мА) |
у: ±0,2 % |
MTL4544 |
CC-PAIH02 |
у: ±0,13 % | |
|
Метрологические характеристики ИК |
Метро | ||
|
П( | |||
|
Наименование ИК |
Диапазоны измерений |
Пределы допускаемой основной погрешности |
Тип (выходной сигнал) |
|
ИК электричес кого сопротивл ения (температу ры) |
НСХ Pt 100 (а=0,00385 °C’1) (шкала от -200 до +850 °С1}) |
А: ±1,00 °C |
- |
|
см. примечание 4 | |||
|
ИК силы переменно го тока |
от 0 до 5 А |
у: ±0,57 % |
Е854ЭЛ (от 4 до 20 мА) |
|
от 0 до 1 А; от 0 до 2,5 А от 0 до 5 А |
у: ±0,57 % |
нпси (от 4 до 20 мА) | |
|
ИК силы постоянног о тока |
от 4 до 20 мА |
у: ±0,075 % |
- |
|
у: ±0,13 % | |||
|
у: ±0,13 % | |||
|
у: ±0,075 % | |||
|
у: ±0,13 % | |||
|
у: ±0,13 % | |||
|
у: ±0,25 % | |||
|
у: ±0,27 % | |||
|
у: ±0,1 % | |||
|
у: ±0,1 % | |||
|
логические характеристики измерительных компонентов ИК | |||
|
ервичный ИИ |
Вторичная часть | ||
|
Пределы допускаемой основной погрешности |
Тип барьера искро-защиты |
Тип модуля ввода/вывода |
Пределы допускаемой основной погрешност и измерений |
|
- |
БИ-001 |
6ES7134- 6JD00-0CA1 |
А: ±1,00 °C |
|
MTL4575 |
CC-PAIH02 |
см. примечание 3 | |
|
MTL4575 |
CC-PAIX02 | ||
|
MTL4575 |
FC-SAI- 1620М | ||
|
у: ±0,5 % |
MTL4544 |
CC-PAIH02 |
у: ±0,13 % |
|
у: ±0,5 % |
MTL4544 |
CC-PAIH02 |
у: ±0,13 % |
|
- |
- |
CC-PAIH02 |
у: ±0,075 % |
|
MTL4541 |
у: ±0,13 % | ||
|
MTL4544 |
у: ±0,13 % | ||
|
- |
CC-PAIX02 |
у: ±0,075 % | |
|
MTL4541 |
у: ±0,13 % | ||
|
MTL4544 |
у: ±0,13 % | ||
|
- |
FC-SAI- 1620М |
у: ±0,25 % | |
|
MTL4541 |
у: ±0,27 % | ||
|
- |
6ES7134- 6НВ00-0СА1 |
у: ±0,10% | |
|
НБИ-21П |
у: ±0,15% | ||
|
Метрологические характеристики ИК |
Метро | ||
|
П( | |||
|
Наименование ИК |
Диапазоны измерений |
Пределы допускаемой основной погрешности |
Тип (выходной сигнал) |
|
ИК вывода аналоговы х сигналов силы постоянног о тока |
от 4 до 20 мА |
у: ±0,48 % |
- |
|
у: ±0,26 % | |||
|
11 Указан максимальный диапазон измерений (диапазон изме с эксплуатационной документацией на первичный ИИ ИК).
Примечания
А - абсолютная погрешность, в единицах измеряемой величинь t - измеренная температура, °C; у - приведенная к диапазону измерений погрешность, %; | |||
|
логические характеристики измерительных компонентов ИК | |||
|
ервичный ИИ |
Вторичная часть | ||
|
Пределы допускаемой основной погрешности |
Тип барьера искро-защиты |
Тип модуля ввода/вывода |
Пределы допускаемой основной погрешност и измерений |
|
- |
MTL4549 С |
СС-РАОН01 |
у: ±0,48 % |
|
НБИ-21У |
6ES7135- 6НВ00-0СА1 |
у: ±0,26 % | |
|
прений может быть настроен на меньший диапазон в соответствии 1я измерения перепада давления на сужающем устройстве и уровня, нно. не содержит погрешности определения температуры, давления, определения массового расхода газа определяются в соответствии зий на базе ультразвуковых преобразователей расхода (методиками уры приведены для максимального абсолютного значения диапазона ти ИК при других значениях измеренной температуры рассчитывают i; | |||
5 - относительная погрешность, %;
At - разница между настроенным минимальным и максимальным значением температуры;
A0=±0,2/v %, где v - скорость потока, м/с.
-
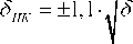
3 Пределы допускаемой погрешности вторичной части ИК электрического сопротивления (температуры) рассчитывают по формуле:

осн барьер . с/доп_ барьер . / раб модуль
где ^осн барьер - пределы допускаемой основной относительной погрешности барьера искрозагциты, %;
^Доп барьер - пределы допускаемой дополнительной относительной погрешности барьера искрозагциты, %; /раб модуль - пределы допускаемой относительной погрешности модуля ввода/вывода в рабочих условиях, %.
-
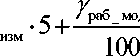
4 Пределы допускаемой основной погрешности ИК рассчитывают по формулам:
- абсолютная Аж , в единицах измеряемой величины:


где Аот; - пределы допускаемой основной абсолютной погрешности первичного ИП ИК, в единицах измеряемой величины;
увп - пределы допускаемой основной приведенной погрешности вторичной части ИК, %;
значение измеряемого параметра, соответствующее максимальному значению диапазона аналогового сигнала, в единицах измеряемой величины;
значение измеряемого параметра, соответствующее минимальному значению границы диапазона аналогового сигнала, в единицах измеряемой величины;
Аи; - пределы допускаемой основной абсолютной погрешности вторичной части ИК, в единицах измеряемой величины;
- относительная 5ик , %:

IBM
X значение измеряемого параметра, соответствующее минимальному значению границы диапазона аналогового сигнала, в
единицах измеряемой величины;
Аи; - пределы допускаемой основной абсолютной погрешности вторичной части ИК, в единицах измеряемой величины;
-
- относительная 5ик , %:

8 =+11- 8 2+ Г ■ ^шах
иИК —4 и7777 \ /вп v
У I Лизм
где 8ПП - пределы допускаемой основной относительной погрешности первичного ИП ИК, %;
Хт - измеренное значение, в единицах измеряемой величины;
-
- приведенная /ж, %:
УИК — ± 1? 1 ’ у/Упи + УвП ’
где упп - пределы допускаемой основной приведенной погрешности первичного ИП ИК, %.
-
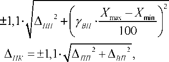
5 Для расчета погрешности ИК в условиях эксплуатации:
-
- приводят форму представления основных и дополнительных погрешностей измерительных компонентов ИК к единому виду (приведенная, относительная, абсолютная);
-
- для каждого измерительного компонента ИК рассчитывают пределы допускаемых значений погрешности в условиях эксплуатации путем учета основной и дополнительных погрешностей от влияющих факторов.
Пределы допускаемых значений погрешности измерительного компонента ИК в условиях эксплуатации Ася рассчитывают по формуле Аси =±JAo+'£A? ’
Y /=о
где Ао - пределы допускаемой основной погрешности измерительного компонента;
Д погрешности измерительного компонента от i-ro влияющего фактора в условиях эксплуатации при общем числе п
учитываемых влияющих факторов.
Для каждого ИК рассчитывают границы, в которых с вероятностью, равной 0,95, должна находиться его погрешность в условиях эксплуатации, Лж по формуле
где ~ пределы допускаемых значений погрешности Л<7, j-ro измерительного компонента ИК в условиях эксплуатации.
Таблица 4 - Технические характеристики
|
Наименование характеристики |
Значение |
|
Количество входных ИК, не более |
930 |
|
Количество выходных ИК, не более |
125 |
|
Параметры электрического питания:
|
3 8 0 -56 ; 220-23 50±1 |
|
Условия эксплуатации: а) температура окружающей среды, °С:
б) относительная влажность без конденсации влаги, %:
в) атмосферное давление, кПа |
от +15 до +25 от -40 до +50 от 30 до 80 95 от 84,0 до 106,7 |
|
Нормальные условия эксплуатации: а) температура окружающей среды, °С: б) относительная влажность без конденсации влаги, %: в) атмосферное давление, кПа |
от +15 до +25 от 30 до 80 от 84,0 до 106,7 |
|
Примечание - ИП, эксплуатация которых в указанных диапазонах температуры окружающей среды и относительной влажности не допускается, эксплуатируются при температуре окружающей среды и относительной влажности, указанных в технической документации на данные ИП. | |

