Номер по Госреестру СИ: 51526-12
51526-12 Измерители частоты сигналов на основе мезонинных модулей
( )
Назначение средства измерений:
Измерители частоты сигналов на основе мезонинных модулей (далее - измерители частоты сигналов) предназначены для измерений частоты периодических сигналов.

Внешний вид.
Измерители частоты сигналов на основе мезонинных модулей
Рисунок № 1

Внешний вид.
Измерители частоты сигналов на основе мезонинных модулей
Рисунок № 2

Внешний вид.
Измерители частоты сигналов на основе мезонинных модулей
Рисунок № 3

Внешний вид.
Измерители частоты сигналов на основе мезонинных модулей
Рисунок № 4

Внешний вид.
Измерители частоты сигналов на основе мезонинных модулей
Рисунок № 5

Внешний вид.
Измерители частоты сигналов на основе мезонинных модулей
Рисунок № 6
Программное обеспечение
Программное обеспечение (ПО) для работы с измерителями частоты сигналов включает ПО общее и ПО специальное.
В состав общего ПО входит операционная система Windows ХР с сервис-паком SP2 или выше.
В состав специального ПО входят комплект ПО «VISA» и комплект ПО модулей ООО Фирма «Информтест».
Комплект ПО «VISA» обеспечивает работу системного интерфейса информационной связи ПЭВМ и базового блока (крейта стандарта VXI) с установленными в него носителями мезонинных модулей в случае, когда в качестве носителей мезонинных модулей используются модули НМ ФТКС.468269.002, НМ-С ФТКС.468269.005, НМУ ФТКС.468269.003, а также работу системного интерфейса информационной связи ПЭВМ и устройства MezaBox ФТКС.469133.006 (MezaBох\Battery 133W-hrs ФТКС.469133.006-01) в случае, когда в качестве носителей мезонинных модулей используются эти устройства.
В комплект ПО «VISA» также входит программа «Resource Manager», осуществляющая начальную конфигурацию связи с носителями мезонинных модулей в случае, когда для связи с ПЭВМ используются устройства стандарта VXI.
Комплект ПО модулей ООО Фирма «Информтест» обеспечивает управление режимами работы измерителя частоты сигналов, а также обеспечивает их информационную связь с носителем мезонинных модулей.
Лист № 5 Всего листов 9 В комплект ПО модулей ООО Фирма «Информтест» входят следующие программы: - «psm.exe» (для проверки работоспособности носителей мезонинных модулей и потребляемых по цепям питания токов);
- «p_mfm8.exe» (для проверки метрологических характеристик измерителей частоты сигналов МЧ8);
- «p_mlfm.exe» (для проверки метрологических характеристик измерителей частоты сигналов МНЧ4).
Метрологически значимая часть ПО, входящая в состав комплекта ПО модулей ООО Фирма «Информтест», выделена в файлы:
- библиотека математических преобразований МЧ8 unmfm8_math.dll;
- библиотека математических преобразований МНЧ unmlfm_math.dll. Идентификационные данные (признаки) метрологически значимой части ПО указаны в таблице 1.
Таблица 1
|
Наименование ПО |
Идентификационное наименование ПО |
Номер версии ПО |
Цифровой идентификатор ПО (контрольная сумма исполняемого кода) |
Алгоритм вычисления идентификато ра ПО |
|
Библиотека математических преобразований МНЧ |
unmlfm_math.dll |
1.0 |
DCFDF442 |
CRC32 |
|
Библиотека математических преобразований МЧ8 |
unmfm8_math.dll |
1.0 |
B6467A15 |
CRC32 |
Метрологически значимая часть ПО измерителей частоты сигналов и измеренные данные достаточно защищены с помощью специальных средств защиты от непреднамеренных и преднамеренных изменений. Защита ПО от непреднамеренных и преднамеренных изменений соответствует уровню «С» по МИ 3286-2010.
Знак утверждения типа
Знак утверждения типаЗнак утверждения типа наносится на лицевую панель носителя мезонинных модулей в виде наклейки и на титульный лист руководства по эксплуатации методом компьютерной графики.
Сведения о методиках измерений
Сведения о методиках (методах) измеренийИзмерители частоты сигналов на основе мезонинных модулей. Руководство по эксплуатации ФТКС.468261.007 РЭ.
Нормативные и технические документы
Нормативные и технические документы, устанавливающие требования к измерителям частоты сигналов на основе мезонинных модулей
ГОСТ 22261-94. «Средства измерений электрических и магнитных величин»
ФТКС.468261.007 ТУ. «Измерители частоты сигналов на основе мезонинных модулей. Технические условия»
Поверка
Поверкаосуществляется по разделу 5 «Поверка» Руководства по эксплуатации ФТКС.468261.007 РЭ, утвержденному руководителем ГЦИ СИ ФБУ «ГНМЦ Минобороны России» 28.05.2012 г.
Основные средства поверки:
-
- частотомер универсальный CNT-90 (рег. № 41567-09): диапазон измерений частоты периодического сигнала от 0,001 Гц до 300 МГц, пределы допускаемой приведенной (к верхнему пределу измерений (ВП)) погрешности измерений частоты периодического сигнала ± (1 • 10-6) %, диапазон измерений длительности импульсов от 3,3 нс до 106 с, пределы допускаемой приведенной (к ВП) погрешности измерений длительности импульсов ± (1 • 10-6) %;
-
- генератор сигналов специальной формы SFG-2004 (рег. № 29967-05), диапазон воспроизведения синусоидального сигнала от 0,1 Гц до 4 МГц, пределы допускаемой относительной погрешности установки частоты ± (20 • 10-6) %.
Изготовитель
Общество с ограниченной ответственностью Фирма «Информтест»(ООО Фирма «Информтест»), г. Москва, Зеленоград
Юридический (почтовый) адрес: 124482, г. Москва, Зеленоград, Савёлкинский проезд, д. 4, этаж 6, помещ. XIV, ком. 8
Тел/Факс: (495) 983-10-73
Е-mail: inftest@inftest.ru
Испытательный центр
Государственный центр испытаний средств измерений Федеральное бюджетное учреждение «Главный научный метрологический центр Министерства обороны Российской Федерации» (ГЦИ СИ ФБУ «ГНМЦ Минобороны России»).
Измеритель частоты сигналов представляет собой печатную плату с прикрепленной к ней лицевой панелью.
Измерители частоты сигналов устанавливаются на носитель мезонинных модулей, и через интерфейсы стандарта VXI (для модулей типа НМ, НМ-С, НМУ) и стандарта LXI (для устройств типа MezaBox, MezaBOX\Battery 133W-hrs) соединяются информационно с управляющей ПЭВМ.
В качестве носителей мезонинных модулей используются модули НМ ФТКС.468269.002, НМ-С ФТКС.468269.005, НМУ ФТКС.468269.003 и устройства MezaBox ФТКС.469133.006, MezaBох\Battery 133W-hrs ФТКС.469133.006-01.
Принцип действия основан на измерении периода периодического сигнала путем сравнения его с периодом эталонного сигнала со стабильной частотой изменения. Периодический сигнал произвольной формы, поступающий на входы измерительного канала, преобразуется в цифровой сигнал той же частоты, далее определяется количество импульсов эталонной частоты, соответствующих периоду измеряемого сигнала, которое в виде двоичного кода передается в буферную память носителя мезонинных модулей.
Количество измерителей частоты сигналов, устанавливаемых на один носитель мезонинных модулей:
-
- до четырех, если в качестве носителей мезонинных модулей используются модули НМ, НМ-С, НМУ;
-
- до двух, если в качестве носителей мезонинных модулей используются устройства MezaBox, MezaBох\Battery 133W-hrs.
Измерители частоты сигналов имеют следующие модификации:
ФТКС.468266.016 Измеритель частоты сигналов МЧ8,
ФТКС.468266.029 Измеритель частоты сигналов МНЧ4.
Внешний вид устройств типа MezaBox и MezaBох\Battery 133W-hrs с установленными измерителями частоты сигналов, указанием места нанесения знака утверждения типа и защитой от несанкционированного доступа, предусмотренной в виде пломбировки винта крепления верхней крышки устройства, приведены на рисунках 1 и 2.
Внешний вид носителей мезонинных модулей типа НМ, НМ-С, НМУ с установленными измерителями частоты сигналов, указанием места нанесения знака утверждения типа и защитой от несанкционированного доступа, предусмотренной в виде пломбировки винта крепления защитного кожуха носителя, приведены на рисунке 3.
Внешний вид измерителей частоты сигналов приведен на рисунках 4, 5.
По условиям эксплуатации измерители частоты сигналов удовлетворяют требованиям группы 3 по ГОСТ 22261-94 с диапазоном рабочих температур от 5 до 40 °С и относительной влажностью окружающего воздуха от 30 до 80 % при температуре 25 °С без предъявления требований по механическим воздействиям.
Место нанесения знака
Место пломбировки
Рисунок 1 - Внешний вид устройства MezaBox с установленными измерителями частоты сигналов, указанием места нанесения знака утверждения типа и местом пломбировки
Место пломбировки
* С-Место нанесения знака
Рисунок 2 - Внешний вид устройства MezaBox\Battery 133W-hrs с установленным
измерителем частоты сигналов, указанием места нанесения знака утверждения типа и местом пломбировки

Место нанесения знака

Место пломбировки

Рисунок 3 - Внешний вид носителя мезонинных модулей типа НМ (НМ-С, НМУ) с установленными измерителями частоты сигналов, указанием места нанесения знака утверждения типа и местом пломбировки
Рисунок 4 - Внешний вид измерителя частоты сигналов МНЧ4 ФТКС.468266.029
Рисунок 5 - Внешний вид измерителя частоты сигналов МЧ8 ФТКС.468266.016
Комплект поставки приведен в таблице 4.
Таблица 4
|
Обозначение |
Наименование |
Количество |
|
ФТКС.468269.002 |
НМ |
по заказу |
|
ФТКС.468269.003 |
НМУ |
по заказу |
|
ФТКС.468269.005 |
НМ-С |
по заказу |
|
ФТКС.469133.006 |
MezaBox |
по заказу |
|
ФТКС.469133.006-01 |
MezaBох\Battery 133W-hrs |
по заказу |
|
ФТКС.468266.016 |
Измеритель частоты сигналов МЧ8 |
по заказу |
|
ФТКС.468266.029 |
Измеритель частоты сигналов МНЧ4 |
по заказу |
|
ФТКС.85001-01 |
Комплект ПО модулей Информтест |
1 |
|
Комплект эксплуатационных документов |
1 |
Диапазон измерений частоты периодических двухполярных сигналов, реализованный измерителями частоты сигналов МНЧ4.................................................................от 1 Гц до 30 кГц.
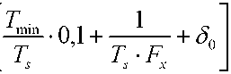
Пределы допускаемой основной относительной погрешности измерений частоты периодического двуполярного сигнала при температуре окружающей среды от 18 до 22 °С, %:
±
,
T
где min - минимально допустимый период семплирования равный 100 мкс;
TS
S - период семплирования, с;
F
x - измеряемая частота, 60 = 0,00018% .
Пределы допускаемой дополнительной относительной погрешности измерений частоты периодического двуполярного сигнала, вызванной изменением температуры окружающей среды в диапазонах температур от 5 до 18 °С и от 22 до 40 °С, %/°С ± 0,0001.
Количество измерительных каналов (ИК)..........................................................................4.
Лист № 6 Всего листов 9
Диапазон измерений частоты периодических сигналов, реализованный измерителями частоты сигналов МЧ8 при использовании аналогового и цифрового входа ...............................................................................................................................от 0,1 Гц до 500 кГц.
Пределы допускаемой основной относительной погрешности измерений частоты периодических сигналов при использовании аналогового и цифрового входа с длительностью фронта и среза периодического сигнала не более ± 0,1 % от длительности периода при температуре окружающей среды от 18 до 22 °С, %:

Tmin
min

где Tmin - минимально допустимый период семплирования равный 32-10-6 с,
TS
S - период семплирования, с,
50 = 0,00018%
Пределы допускаемой основной относительной погрешности измерений частоты периодических сигналов при использовании аналогового входа с длительностью фронта и среза периодического сигнала более ± 0,1 % от длительности периода при температуре окружающей среды от 18 до 22 °С, %:

где Tmin - минимально допустимый период семплирования, равный 32-10-6 с; Ts
s - период семплирования, с;
F
x - измеряемая частота, Гц;
50 = 0,00018%.
Пределы допускаемой дополнительной относительной погрешности измерений частоты периодического сигнала при использовании аналогового и цифрового входа, вызванной изменением температуры окружающей среды в диапазонах температур от 5 до 18 °С и от 22 до 40 °С, %/°С ...................................................................................................± 0,0001.
Диапазон измерений длительности положительной или отрицательной части импульсов периодических сигналов, реализованный измерителями частоты сигналов МЧ8 .....................................................................................................................................от 300 нс до 10 с.
Пределы допускаемой основной относительной погрешности измерений длительности положительной или отрицательной части импульсов при использовании аналогового входа с длительностью фронта и среза периодического сигнала не более ± 0,1 % от длительности периода при температуре окружающей среды от 18 до 22 °С, %:
|
8 = ± |
Т Т - 0,1+т+^0 _Т ti _ |
где Tmin - минимально допустимый период семплирования, равный 32-10-6 с; Ts
s - период семплирования, с;
T
I - измеряемая длительность импульса, с;
T0 = 0,00001 с ;
80 = 0,00018%.
Пределы допускаемой дополнительной относительной погрешности измерений длительности положительной или отрицательной части импульсов при использовании аналогового входа с длительностью фронта и среза периодического сигнала не более ± 0,1 % от длительности периода, вызванной изменением температуры окружающей среды в
диапазонах температур от 5 до 18 °С и от 22 до 40 °С, %/°С..............................................± 0,0001.
Количество ИК ...................................................................................................................... 8.
Общие характеристики
Рабочие условия эксплуатации:
-
- температура окружающего воздуха, °С...........................................................от 5 до 40;
-
- относительная влажность воздуха при температуре 25 °С, %, не более....от 30 до 80;
-
- атмосферное давление, кПа...................................................................... от 84 до 106,7.
Потребляемая суммарная максимальная мощность, Вт, приведена в таблице 2 Таблица 2
|
Тип носителя мезонинных модулей |
Кол-во устанавливаемых измерителей частоты сигналов МЧ8 |
Кол-во устанавливаемых измерителей частоты сигналов МНЧ4 | ||||||
|
1 |
2 |
3 |
4 |
1 |
2 |
3 |
4 | |
|
НМ |
19,8 |
25,3 |
30,8 |
36,3 |
22,8 |
31,3 |
39,8 |
48,3 |
|
НМ-С |
19,8 |
25,3 |
30,8 |
36,3 |
22,8 |
31,3 |
39,8 |
48,3 |
|
НМУ |
19,8 |
25,3 |
30,8 |
36,3 |
22,8 |
31,3 |
39,8 |
48,3 |
|
MezaBox |
11,5 |
17,0 |
- |
- |
14,5 |
23,0 |
- |
- |
|
MezaBох\ Battery 133W-hrs) |
11,5 |
17,0 |
14,5 |
23,0 | ||||
Суммарная масса, кг, приведена в таблице 3
Таблица 3
|
Тип носителя мезонинных модулей |
Кол-во устанавливаемых измерителей частоты сигналов МЧ8 |
Кол-во устанавливаемых измерителей частоты сигналов МНЧ4 | ||||||
|
1 |
2 |
3 |
4 |
1 |
2 |
3 |
4 | |
|
НМ |
2,12 |
2,24 |
2,36 |
2,48 |
2,10 |
2,20 |
2,30 |
2,40 |
|
НМ-С |
2,12 |
2,24 |
2,36 |
2,48 |
2,10 |
2.20 |
2,30 |
2,40 |
|
НМУ |
2,12 |
2,24 |
2,36 |
2,48 |
2,10 |
2.20 |
2,30 |
2,40 |
|
MezaBox |
2,22 |
2,34 |
- |
- |
2,20 |
2,30 |
- |
- |
|
MezaBох\ Battery 133W-hrs) |
3,42 |
3,54 |
3,40 |
3,50 | ||||
Габаритные размеры (длина х ширина х высота), мм, не более:
-
- измерителей частоты сигналов.................................................................................270 х 50,8 х 22;
-
- носителей мезонинных модулей НМ ФТКС.468269.002, НМ-С ФТКС.468269.005,
НМУ ФТКС.468269.003................................................................................................262 х 30 х 369;
-
- носителя мезонинных модулей - устройства MezaBox ФТКС.469133.006.......196 х 66,5 х 315;
-
- носителя мезонинных модулей - устройства MezaBох\Battery 133W-hrs
ФТКС.469133.006-01...................................................................................................196 х 102 х 315.

