Номер по Госреестру СИ: 92519-24
92519-24 Система измерительная АСУТП установки гидроконверсии тит. 092/5 АО "ТАНЕКО"
(Обозначение отсутствует)
Назначение средства измерений:
Система измерительная АСУТП установки гидроконверсии тит. 092/5 АО «ТАНЕКО» (далее - ИС) предназначена для измерений параметров технологического процесса (температуры, давления, перепада давления, массового расхода, объемного расхода, уровня, виброскорости, концентрации, нижнего концентрационного предела распространения пламени (далее - НКПР), динамической вязкости, силы постоянного тока) и формирования сигналов управления и регулирования.
Программное обеспечение
Программное обеспечение (далее - ПО) ИС обеспечивает реализацию функций ИС.
Защита ПО ИС от непреднамеренных и преднамеренных изменений и обеспечение его соответствия утвержденному типу осуществляется путем идентификации, защиты от несанкционированного доступа.
Идентификационные данные ПО ИС приведены в таблице 2.
Таблица 2 - Идентификационные данные ПО ИС
|
Идентификационные данные (признаки) |
Значение | |
|
CENTUM |
Pro-Safe RS | |
|
Идентификационное наименование ПО |
CENTUM VP |
Pro-Safe RS |
|
Номер версии (идентификационный номер) ПО |
не ниже R6.07.00 |
не ниже R4.05.08 |
|
Цифровой идентификатор ПО |
- |
- |
ПО ИС защищено от несанкционированного доступа, изменения алгоритмов и установленных параметров путем введения логина и пароля, ведения доступного только для чтения журнала событий.
Уровень защиты ПО ИС «средний» в соответствии с Р 50.2.077-2014.
Знак утверждения типа
Знак утверждения типа наноситсяна титульный лист паспорта типографским способом
Сведения о методиках измерений
Сведения о методиках (методах) измерений приведены в эксплуатационном документе.
Нормативные и технические документы
Нормативные документы, устанавливающие требования к средству измерений
|
Приказ |
Росстандарта |
от |
1 |
октября 2018 |
г. № 2091 |
«Об |
утверждении |
|
государственной |
первичной |
схемы |
для средств |
измерений |
силы |
постоянного | |
|
электрического тока в диапазоне от 1 |
•10 |
16 до 100 А»; | |||||
|
Приказ |
Росстандарта |
от |
30 |
декабря 2019 |
г. № 3456 |
«Об |
утверждении |
государственной поверочной схемы для средств измерений электрического сопротивления постоянного и переменного тока»;
Приказ Росстандарта от 30 декабря 2019 г. № 3457 «Об утверждении государственной поверочной схемы для средств измерений постоянного электрического напряжения и электродвижущей силы».
ПравообладательАкционерное общество «ТАНЕКО» (АО «ТАНЕКО») ИНН 1651044095
Юридический адрес: 423570, Республика Татарстан, Нижнекамский р-н, г. Нижнекамск, тер. Промзона
Испытательный центр
Общество с ограниченной ответственностью Центр Метрологии «СТП» (ООО ЦМ «СТП»)Адрес: 420107, Республика Татарстан, г. Казань, ул. Петербургская, д. 50, к. 5, оф. 7
Телефон: (843) 214-20-98
Web-сайт: http://www.ooostp.ru
E-mail: office@ooostp.ru
Принцип действия ИС основан на непрерывном измерении, преобразовании и обработке при помощи комплекса измерительно-вычислительного CENTUM модели VP (регистрационный номер в Федеральном информационном фонде по обеспечению единства измерений (далее - регистрационный номер) 21532-14) (далее - CENTUM), комплекса измерительно-вычислительного управляющего противоаварийной защиты и технологической безопасности ProSafe-RS (регистрационный номер 65275-16) (далее - ProSafe-RS) и контроллеров программируемых SIMATIC S7-300 (регистрационный номер 15772-11) входных сигналов, поступающих по измерительным каналам (далее - ИК) от первичных и промежуточных измерительных преобразователей (далее - ИП).
ИС осуществляет измерение параметров технологического процесса следующим образом:
-
- первичные ИП преобразуют текущие значения параметров технологического процесса в аналоговые электрические сигналы силы постоянного тока от 4 до 20 мА;
-
- аналоговые электрические сигналы силы постоянного тока от 4 до 20 мА от
первичных ИП поступают на входы преобразователей измерительных серии H модели HiC2025 (регистрационный номер 40667-15) (далее - HiC2025), на входы преобразователей сигналов измерительных MACX MCR(-EX)-SL (регистрационный
номер 54711-13) (далее - MACX MCR), а также на входы преобразователей измерительных (барьеров искрозащиты) «ЭЛЕМЕР-БРИЗ 420-Ex» (регистрационный номер 65317-16) (далее -ЭЛЕМЕР-БРИЗ) и далее на измерительные модули аналогового ввода/вывода AAI143 CENTUM (регистрационный номер 21532-14) (далее - AAI143), SAI143 ProSafe-RS (регистрационный номер 65275-16) (далее - SAI143) и модули ввода аналоговых сигналов 6ES7 331-1KF02-0AB0 устройств распределенного ввода-вывода SIMATIC ET200 (регистрационный номер 66213-16) (далее - SM331) (часть сигналов поступает на модули ввода аналоговых сигналов без измерительных преобразователей (барьеров искрозащиты));
- сигналы управления и регулирования (аналоговые сигналы силы постоянного тока от 4 до 20 мА) генерируются модулями вывода AAI543 CENTUM (регистрационный номер 2153214) (далее - AAI543) через преобразователи измерительные (регистрационный номер 40667-15) (далее - HiC2031) (часть измерительных преобразователей (барьеров искрозащиты)).
Цифровые коды, преобразованные посредством модулей
серии H модели HiC2031 сигналов генерируется без
ввода аналоговых сигналов в значения физических параметров технологического процесса, отображаются на мнемосхемах мониторов операторских станций управления в виде числовых значений, гистограмм, трендов, текстов, рисунков и цветовой окраски элементов мнемосхем, а также интегрируется в базу данных ИС.
По функциональным признакам ИС делится на две независимые подсистемы: распределенная система управления технологическим процессом и система противоаварийной защиты. ИС включает в себя также резервные ИК.
Состав средств измерений, применяемых в качестве первичных ИП ИК, указан в таблице 1.
Таблица 1 -
ИП ИК
й, входящие в состав
|
Наименование ИК |
Наименование первичного ИП ИК |
Регистрационный номер |
|
ИК НКПР |
Датчики газоаналитические Oldham модели OLCT 80 (далее - OLCT 80) |
61404-15 |
|
Датчики-газоанализаторы стационарные ДГС ЭРИС-210 исполнения ДГС ЭРИС-210 IR (далее - ДГС ЭРИС-2101И) |
61055-15 | |
|
Датчики-газоанализаторы стационарные ДГС ЭРИС-210 исполнения ДГС ЭРИС-210 CT (далее - ДГС ЭРИС-210СТ) |
61055-15 | |
|
ИК концентрации |
Газоанализаторы кислорода и оксида углерода COMTEC исполнения COMTEC 6000 (далее -COMTEC 6000) |
49127-12 |
|
Анализаторы газа модели 4080 (далее - АГ 4080) |
46315-10 | |
|
Датчики-газоанализаторы ДГС ЭРИС-210 исполнения ДГС ЭРИС-210ЕС-1 (далее - ДГС ЭРИС-210ЕС-1) |
61055-15 | |
|
Анализаторы настраиваемые диодные лазерные TDSL8000 (далее - TDSL8000) |
67140-17 | |
|
ИК температуры |
Преобразователи термоэлектрические многозонные CatTracker модели CT221-A4 (далее - CT221-A4) |
49550-12 |
|
Преобразователи измерительные Rosemount 248 (далее - Rosemount 248) |
53265-13 | |
|
Преобразователи термоэлектрические TC модели TC88 (далее - TC88) |
68003-17 | |
|
Преобразователи измерительные iTEMP TMT модели TMT82 (далее - TMT82) |
57947-14 | |
|
Термопреобразователи сопротивления платиновые TR модели TR88 (далее - TR88) |
49519-12 |
|
Наименование ИК |
Наименование первичного ИП ИК |
Регистрационный номер |
|
ИК температуры |
Термопреобразователи сопротивления платиновые TR модели TR88 в комплекте с преобразователем измерительным iTEMP TMT модели TMT182 (далее - TR88/TMT182) |
49519-12 |
|
Термопреобразователи сопротивления ТС-Б модификации ТС-Б-У (далее - ТС-Б-У) |
61801-15 | |
|
Преобразователи термоэлектрические TSC модели TSC310 (далее - TSC310) |
68003-17 | |
|
Термопреобразователи сопротивления платиновые TST модели TST310 (далее - TST310) |
68002-17 | |
|
Термопреобразователи сопротивления ДТС (далее - ДТС) |
28354-10 | |
|
Преобразователи измерительные модульные ИПМ 0399 модификации ИПМ 0399/М0-Н (далее - ИПМ 0399/М0-Н) |
22676-12 | |
|
Датчики температуры КТХА Ex (далее - КТХА Ex) |
75207-19 | |
|
Термометры сопротивления платиновые ТСП 002 модификации ТСП 002-06 (далее - ТСП 002-06) |
41891-09 | |
|
Датчики температуры ТСПТ Ex (далее - ТСПТ Ex) |
57176-14 | |
|
Термопреобразователи сопротивления платиновые TR модели TR24 (далее - TR24) |
68002-17 | |
|
Термопреобразователи сопротивления 90.2820 (далее - ТС 90.2820) |
60922-15 | |
|
Преобразователи измерительные серии dTRANS модификации Т01 (далее - T01) |
74775-19 | |
|
Преобразователи температуры Метран-280 модели Метран-286 (далее - Метран-286) |
23410-13 | |
|
Преобразователи температуры Метран-280 модели Метран-281 (далее - Метран-281) |
23410-13 | |
|
Преобразователи температуры программируемые ТСПУ 031 модели ТСПУ 031С (далее - ТСПУ 031С) |
46611-16 | |
|
Датчики температуры ТМТ142С (далее - TMT142C) |
63821-16 | |
|
Термопреобразователи универсальные ТПУ 0304 (далее - ТПУ 0304) |
50519-17 | |
|
Преобразователи измерительные серии TTR модели TTR200 (далее - TTR200) |
69117-17 | |
|
ИК давления |
Датчики давления Метран-150 модели 150CG (далее - Метран-150CG) |
32854-13 |
|
Преобразователи давления измерительные Сапфир-22МП-ВН (далее - Сапфир-22МП-ВН) |
33503-16 | |
|
Преобразователи давления измерительные EJ* модели EJX 510 (далее - EJX 510) |
59868-15 | |
|
Преобразователи давления измерительные EJ* модели EJX 530 (далее - EJX 530) |
59868-15 |
|
Наименование ИК |
Наименование первичного ИП ИК |
Регистрационный номер |
|
ИК давления |
Преобразователи давления измерительные HMP 331 (далее - HMP 331) |
56795-14 |
|
Датчики давления Метран-75 (далее - Метран-75) |
48186-11 | |
|
Преобразователи давления измерительные АИР-20/М2 модификации АИР-20/М2-Н (далее -АИР-20/М2-Н) |
63044-16 | |
|
ИК перепада давления |
Сапфир-22МП-ВН |
33503-16 |
|
Преобразователи давления измерительные «ЭЛЕМЕР-АИР-30» (далее - ЭЛЕМЕР-АИР-30) |
37668-13 | |
|
Преобразователи давления измерительные 2051 модели 2051C (далее - 2051C) |
56419-14 | |
|
Преобразователи давления измерительные EJ* модели EJX 110 (далее - EJX 110) |
59868-15 | |
|
Преобразователи давления измерительные EJ* модели EJX 120 (далее - EJX 120) |
59868-15 | |
|
Датчики давления Метран-150 модели 150CD (далее - Метран-150CD) |
32854-13 | |
|
ИК уровня |
Уровнемеры микроимпульсные Levelflex FMP5* исполнения Levelflex FMP51 (далее - Levelflex FMP51) |
47249-16 |
|
Уровнемеры микроволновые контактные VEGAFLEX 8* модификации VEGAFLEX 86 (далее - VEGAFLEX 86) |
53857-13 | |
|
ИК объемного расхода |
Расходомеры электромагнитные Promag исполнения Promag 50P (далее - Promag 50P) |
14589-14 |
|
Расходомеры-счетчики вихревые объемные YEWFLO DY (далее - YEWFLO DY) |
17675-09 | |
|
Расходомеры ультразвуковые UFM 500 (далее - UFM 500) |
48218-11 | |
|
Ротаметры RAMC (далее - RAMC) |
50010-12 | |
|
Ротаметры RAKD (далее - RAKD) |
50010-12 | |
|
Расходомеры-счетчики массовые OPTIMASS x400 исполнения 6400F (далее - OPTIMASS 6400F) |
53804-13 | |
|
Расходомеры-счетчики массовые OPTIMASS x400 исполнения 3400С (далее - OPTIMASS 3400С) |
53804-13 | |
|
Расходомеры ультразвуковые FLUXUS модели FLUXUS 8027 (далее - FLUXUS 8027) |
56831-14 | |
|
Расходомеры-счетчики ультразвуковые OPTISONIC 3400 (далее - OPTISONIC 3400) |
57762-14 | |
|
Расходомеры вихревые Prowirl 200 исполнения Prowirl O 200 (далее - Prowirl O 200) |
58533-14 | |
|
Счетчики-расходомеры электромагнитные ADMAG AXF (далее - ADMAG AXF) |
59435-14 | |
|
Расходомеры-счетчики газа и пара модели XGF868i (далее - XGF868i) |
59891-15 |
|
Наименование ИК |
Наименование первичного ИП ИК |
Регистрационный номер |
|
ИК объемного расхода |
Расходомеры-счетчики вихревые 8800 исполнения 8800DD (далее - 8800DD) |
64613-16 |
|
Счетчики-расходомеры жидкости ультразвуковые OPTISONIC 4400 (далее - OPTISONIC 4400) |
67992-17 | |
|
Расходомеры массовые Promass модификации Promass F 500 (далее - Promass F 500) |
68358-17 | |
|
ИК массового расхода |
YEWFLO DY |
17675-09 |
|
OPTIMASS 6400F |
53804-13 | |
|
Prowirl O 200 |
58533-14 | |
|
ADMAG AXF |
59435-14 | |
|
ИК виброскорости |
Вибропреобразователи DVA (далее - DVA) |
69044-17 |
|
Преобразователи виброскорости AV02 (далее - AV02) |
59486-14 | |
|
ИК динамической вязкости |
Вискозиметры XL/7 модели 150-HT2 (далее -XL/7) |
42580-09 |
ИС выполняет следующие функции:
-
- автоматизированное измерение, регистрацию, обработку, контроль, хранение и индикацию параметров технологического процесса;
-
- предупредительную и аварийную сигнализацию при выходе параметров технологического процесса за установленные границы и при обнаружении неисправности в работе оборудования;
-
- управление технологическим процессом в реальном масштабе времени;
-
- противоаварийную защиту оборудования установки;
-
- отображение технологической и системной информации на операторской станции управления;
-
- накопление, регистрацию и хранение поступающей информации;
-
- самодиагностику;
-
- автоматическое составление отчетов и рабочих (режимных) листов;
-
- защиту системной информации от несанкционированного доступа к программным средствам и изменения установленных параметров.
Заводской номер ИС (№ 092/5) в виде цифрового обозначения наносится на титульный лист паспорта и маркировочные таблички на дверях шкафов вторичной части типографским способом.
Конструкция ИС и условия эксплуатации ИС не предусматривают нанесение знака поверки непосредственно на ИС.
Пломбирование ИС не предусмотрено.
Комплектность ИС представлена в таблице 5.
Таблица 5 - Комплектность ИС
|
Наименование |
Обозначение |
Количество |
|
Система измерительная АСУТП установки гидроконверсии тит. 092/5 АО «ТАНЕКО», заводской № 092/5 |
- |
1 шт. |
|
Система измерительная АСУТП установки гидроконверсии тит. 092/5 АО «ТАНЕКО». Руководство по эксплуатации |
- |
1 экз. |
|
Система измерительная АСУТП установки гидроконверсии тит. 092/5 АО «ТАНЕКО». Паспорт |
- |
1 экз. |
Основные технические характеристики ИС представлены в таблице 3.
Таблица 3 - Основные технические характеристики ИС
|
Наименование характеристики |
Значение |
|
Количество входных ИК, не более |
1843 |
|
Количество выходных ИК, не более |
253 |
|
Параметры электрического питания:
|
220-32; 380^77 50±1 |
|
Условия эксплуатации: а) температура окружающей среды, °С:
б) относительная влажность, %, не более:
в) атмосферное давление, кПа |
от +15 до +25 от -40 до +50 от 20 до 80, без конденсации влаги не более 95, без конденсации влаги от 84,0 до 106,7 |
|
Примечание - ИП, эксплуатация которых в указанных диапазонах температуры окружающей среды и относительной влажности не допускается, эксплуатируются при температуре окружающей среды и относительной влажности, указанных в технической документации на данные ИП. | |
Метрологические характеристики ИК ИС приведены в таблице 4.
Таблица 4 - Метрологические характеристики измерительных каналов ИС
|
Метрологические характеристики ИК |
Метрологические характеристики измерительных компонентов ИК | ||||||
|
Первичный ИП |
Промежуточный ИП, модули ввода/вывода сигналов и обработки данных | ||||||
|
Наименование ИК |
Диапазоны измерений |
Пределы допускаемой основной погрешности |
Тип (выходной сигнал) |
Пределы допускаемой основной погрешности |
Тип барьера искро-защиты |
Тип модуля ввода/вывода |
Пределы допускаемой основной погрешности |
|
1 |
2 |
3 |
4 |
5 |
6 |
7 |
8 |
|
ИК НКПР |
от 0 до 100 % НКПР (CH4) |
Л: ±5,51 % НКПР (в диапазоне от 0 до 50 % НКПР включ.); 5: ±11,01 % НКПР (в диапазоне свыше 50 до 100 % НКПР) |
OLCT 80 (от 4 до 20 мА) |
Л: ±5 % НКПР (в диапазоне от 0 до 50 % НКПР включ.); 5: ±10 % НКПР (в диапазоне свыше 50 до 100 % НКПР) |
- |
SAI143 |
y: ±0,10 % |
|
от 0 до 100 % НКПР (H2) | |||||||
|
от 0 до 50 % НКПР (диапазон показаний от 0 до 100 % НКПР) (C5H12) |
Л: ±5,51 % НКПР |
ДГС ЭРИС-210IR (от 4 до 20 мА) |
Л: ±5 % НКПР |
- |
SAI143 |
y: ±0,10 % | |
|
от 0 до 50 % НКПР (диапазон показаний от 0 до 100 % НКПР) (H2) |
Л: ±5,51 % НКПР |
ДГС ЭРИС-210CT (от 4 до 20 мА) |
Л: ±5 % НКПР |
- |
SAI143 |
y: ±0,10 % | |
|
ИК концентрации |
от 0 до 25 % (объемная доля О2) |
Л: ±0,35 % (в диапазоне от 0 до 25 %) |
COMTEC 6000 (от 4 до 20 мА) |
Л: ±0,3 % (в диапазоне от 0 до 25 %) |
- |
AAI143 |
y: ±0,10 % |
|
1 |
2 |
3 |
4 |
5 |
6 |
7 |
8 |
|
ИК концентрации |
от 0 до 1000 млн-1 (объемная доля СО) |
Y: ±27,51 % (в диапазоне от 0 до 1000 млн-1) |
COMTEC 6000 (от 4 до 20 мА) |
Y: ±25 % (в диапазоне от 0 до 1000 млн-1) |
AAI143 |
Y: ±0,10 % | |
|
от 0 до 10 млн-1 (объемная доля горючих газов) |
Y: ±16,51 % (в диапазоне от 0 до 10 млн-1) |
АГ 4080 (от 4 до 20 мА) |
Y': ±15 % (в диапазоне от 0 до 10 млн-1); Y': ±12 % (в диапазоне от 0 до 50 млн-1) |
- |
AAI143 |
y: ±0,10 % | |
|
от 0 до 50 млн-1 (объемная доля горючих газов) |
Y: ±13,21 % (в диапазоне от 0 до 50 млн-1) | ||||||
|
от 0 до 50 млн-1 (H2S) |
Y: ±16,51 % (в диапазоне от 0 до 5 млн-1 включ.) и 5: ±16,51 % (в диапазоне св. 5 до 50 млн-1) |
ДГС ЭРИС- 210EC-1 (от 4 до 20 мА) |
Y: ±15 % (в диапазоне от 0 до 5 млн-1 включ.); 5: ±15 % (в диапазоне св. 5 до 50 млн-1) |
- |
SAI143 |
y: ±0,10 % | |
|
от 0 до 100 млн-1 (NH3) |
Y: ±22,01 % (в диапазоне от 0 до 10 млн-1 включ.) и 5: ±22,01 % (в диапазоне св. 10 до 100 млн-1) |
Y: ±20 % (в диапазоне от 0 до 10 млн-1 включ.); 5: ±20 % (в диапазоне св. 10 до 100 млн-1) | |||||
|
от 0 до 25 % (объемная доля О2) |
y: ±2,21 % |
TDSL8000 (от 4 до 20 мА) |
Y': ±2 % |
- |
AAI143 или SAI143 |
y: ±0,10 % |
ИК температуры
|
2 |
3 |
|
от 0 до +700 °С |
Л: ±6 °С |
|
от -40 до +500 °С |
Л: ±2,64 °С |
|
от -40 до +600 °С |
Л: ±3,08 °С |
|
от -40 до +800 °С |
Л: ±3,98 °С |
|
от -40 до +1100 °С |
Л: ±9,37 °С |
|
от 0 до +450 °С |
Л: ±2,39 °С |
|
от 0 до +500 °С |
Л: ±2,61 °С |
|
от 0 до +550 °С |
Л: ±2,83 °С |
|
от 0 до +600 °С |
Л: ±3,05 °С |
|
от 0 до +650 °С |
Л: ±3,28 °С |
|
от 0 до +700 °С |
Л: ±3,50 °С |
|
от 0 до +900 °С |
Л: ±4,42 °С |
|
от +320 до +370 °С |
Л: ±1,92 °С |
|
от +320 до +400 °С |
Л: ±2,03 °С |
|
от +320 до +440 °С |
Л: ±2,19 °С |
|
от +340 до +390 °С |
Л: ±1,98 °С |
|
от +380 до +430 °С |
Л: ±2,13 °С |
|
от +380 до +450 °С |
Л: ±2,22 °С |
|
от +430 до +610 °С |
Л: ±2,89 °С |
CT221-A4 (НСХ K);
Rosemount 248 (от 4 до 20 мА)
TC88 (НСХ K);
TMT82 (от 4 до 20 мА)
CT221-A4: Л: ±2,5 °С
(от -40
до +333 °С включ.);
Л: ±(0,0075-t) °С (свыше +333 до +1200 °С включ.);
Rosemount 248:
Л: ±0,5 °С; Л: ±0,5 °С (компенсация температуры холодных концов)
TC88:
Л: ±2,5 °С (от -40
до +333 °С включ.);
Л: ±(0,0075-|t|) °С
(свыше + 333
до +1200 °С включ.); TMT82:
Л: ±0,32 °С (цифровой сигнал) и y: ±0,03 % (ЦАП);
Л: ±(0,3+0,005-|t’|) °С (компенсация температуры холодных концов)
HIC2025
HIC2025
AAI143 или SAI143
AAI143 или SAI143
y: ±0,15 %
y: ±0,15 %
от 0 до +400 °С
Л: ±2,64 °С
TR88/TMT182
(от 4 до 20 мА)
от -50 до +170 °С
y: ±0,58 °С
ИК температуры
от -50 до +50 °С от -40 до +200 °С от -40 до +500 °С от 0 до +50 °С от 0 до +60 °С от 0 до +100 °С от 0 до +150 °С от 0 до +160 °С от 0 до +200 °С от 0 до +250 °С от 0 до +300 °С от 0 до +350 °С от 0 до +400 °С от 0 до +500 °С от +20 до +80 °С от +20 до +90 °С от +20 до +120 °С
Л
Л
Л
Л
Л
Л
Л
Л
Л
Л
Л
Л
Л
Л
Л
Л
Л
±0,38 °С
±0,77 °С
±1,62 °С
±0,34 °С
±0,36 °С
±0,46 °С
±0,59 °С
±0,62 °С
±0,73 °С
±0,86 °С
±1,00 °С
±1,14 °С
±1,27 °С
±1,55 °С
±0,40 °С
±0,43 °С
±0,50 °С
ТС-Б-У
(от 4 до 20 мА)
TR88
(НСХ Pt100); TMT82 (от 4 до 20 мА)
___________5___________
TR88:
Л: ±(0,15+0,002^|t|) °С
(от -50 до +250 °С включ.); Л: ±(0,3+0,005-|t|) °С (свыше +250 до +400 °С);
TMT182: Л: ±0,2 °С или y: ±0,08 % (берут большее значение)
y: ±0,5 %
TR88:
Л: ±(O,15+O,0O2^|t|) °С (от -200 до +600 °С);
TMT82:
Л: ±O,14 °С (цифровой сигнал) и y: ±O,O3 % (ЦАП)
HIC2025
HIC2025
HIC2025
AAI143 или SAI143
y: ±0,15 %
AAI143
y: ±0,15 %
AAI143 или SAI143
y: ±0,15 %
ИК температуры
|
2 |
3 | |
|
от +30 до +80 °С |
Л |
±0,40 °С |
|
от +30 до +90 °С |
Л |
±0,42 °С |
|
от +50 до +110 °С |
Л |
±0,46 °С |
|
от +60 до +110 °С |
Л |
±0,45 °С |
|
от +60 до +120 °С |
Л |
±0,48 °С |
|
от +80 до +140 °С |
Л |
±0,52 °С |
|
от +130 до +190 °С |
Л |
±0,62 °С |
|
от +170 до +220 °С |
Л |
±0,68 °С |
|
от +180 до +300 °С |
Л |
±0,88 °С |
|
от +200 до +290 °С |
Л |
±0,84 °С |
|
от +200 до +300 °С |
Л |
±0,87 °С |
|
от +210 до +280 °С |
Л |
±0,81 °С |
|
от +220 до +280 °С |
Л |
±0,81 °С |
|
от +270 до +320 °С |
Л |
±0,89 °С |
|
от 0 до +600 °С |
Л: ±5,18 °С | |
|
от 0 до +700 °С |
Л: ±6,01 °С | |
TR88
(НСХ Pt100); TMT82 (от 4 до 20 мА)
TSC310 (НСХ K);
TMT82 (от 4 до 20 мА)
TR88:
Л: ±(0,15+0,002^|t|) °С (от -200 до +600 °С);
TMT82:
Л: ±0,14 °С (цифровой сигнал) и y: ±0,03 % (ЦАП)
HIC2025
AAI143 или SAI143
y: ±0,15 %
TSC310:
Л: ±2,5 °С (от -40 до
+333 °С включ.);
Л: ±(0,0075-1) °С (свыше
+333 до +1200 °С); TMT82:
Л: ±0,32 °С (цифровой
сигнал) и y: ±0,03 % (ЦАП);
Л: ±(0,3+0,005-|t’|) °С (компенсация температуры холодных концов)
HIC2025
AAI143
y: ±0,15 %
ИК
температуры
|
2 |
3 |
4 |
5 |
6 |
7 |
8 |
|
от 0 до +400 °С |
Л: ±2,64 °С |
TST310 (НСХ Pt100); TMT82 (от 4 до 20 мА) |
TST310: Л: ±(0,15+0,002-|t|) °С (от -50 до +250 °С включ.); Л: ±(0,3+0,005-|t|) °С (свыше +250 до +400 °С); TMT82: Л: ±0,14 °С (цифровой сигнал) и y: ±0,03 % (ЦАП) |
HIC2025 |
AAI143 |
Y: ±0,15 % |
|
от -50 до +200 °С |
Л: ±1,57 °С |
ДТС (НСХ Pt100); ИПМ 0399/М0-Н (от 4 до 20 мА) |
ДТС: Л: ±(0,3+0,005-|t|) °С; ИПМ 0399/М0-Н: Y: ±(0,2/Лt•100+0,1) %с |
HIC2025 |
SAI143 |
Y: ±0,15 % |
|
от -50 до +200 °С |
Л: ±3,42 °С |
КТХА Ex (НСХ K); ИПМ 0399/М0-Н (от 4 до 20 мА) |
КТХА Ex: Л: ±1,1 °С (от -40 до +275 °С); ИПМ 0399/М0-Н: Y: ±(1,5/Лt•100+0,15) %с Л: ±1 °С (компенсация температуры холодных концов) |
HIC2025 |
SAI143 |
Y: ±0,15 % |
|
от -50 до +200 °С |
Л: ±1,57 °С |
ТСП 002-06 (НСХ Pt100); ИПМ 0399/М0-Н (от 4 до 20 мА) |
ТСП 002-06: Л: ±(0,3+0,005-|t|) °С; ИПМ 0399/М0-Н: Y: ±(0,2/Лt•100+0,1) %с |
HIC2025 |
SAI143 |
Y: ±0,15 % |
|
от -50 до +200 °С |
Л: ±1,57 °С |
ТСПТ Ex (НСХ Pt100); ИПМ 0399/М0-Н (от 4 до 20 мА) |
ТСПТ Ex: Л: ±(0,3+0,005-|t|) °С; ИПМ 0399/М0-Н: y: ±(0,2/Лt• 100+0,1) %с |
HIC2025 |
SAI143 |
Y: ±0,15 % |
ИК температуры
|
2 |
3 |
4 |
5 |
6 |
7 |
8 |
|
от 0 до +100 °С |
Л: ±0,46 °С |
TR24 (НСХ Pt100); TMT82 (от 4 до 20 мА) |
TR24: Л: ±(0,15+0,002-|t|) °С; TMT82: Л: ±0,14 °С (цифровой сигнал) и y: ±0,03 % (ЦАП) |
HIC2025 |
AAI143 |
y: ±0,15 % |
|
от 0 до +120 °С |
Л: ±0,52 °С | |||||
|
от 0 до +150 °С |
Л: ±0,60 °С | |||||
|
от -50 до +150 °С |
Л: ±1,23 °С |
ТС 90.2820 (НСХ Pt100); T01 (от 4 до 20 мА) |
ТС 90.2820: Л: ±(0,3+0,005-|t|) °С T01: Л: ±0,2 °С |
HIC2025 |
SAI143 |
y: ±0,15 % |
|
от -50 до +120 °С |
Л: ±0,53 °С |
Метран-286 (от 4 до 20 мА) |
Л: ±0,4 °С или y: ±0,15 % (берут большее значение) |
HIC2025 |
AAI143 или SAI143 |
y: ±0,15 % |
|
от -50 до +200 °С |
Л: ±0,61 °С | |||||
|
от +5 до +100 °С |
Л: ±0,47 °С | |||||
|
от +100 до +400 °С |
y: ±0,24 % | |||||
|
от -50 до +120 °С |
Л: ±1,14 °С |
Метран-281 (от 4 до 20 мА) |
y: ±0,4 % (от -50 до +500 °С) или Л: ±1 °С (берут большее значение) |
HIC2025 |
AAI143 или SAI143 |
y: ±0,15 % |
|
от -50 до +200 °С |
Л: ±1,18 °С | |||||
|
от -50 до +180 °С |
y: ±0,33 % |
ТСПУ 031С (от 4 до 20 мА) |
y: ±0,25 % |
HIC2025 |
SAI143 |
y: ±0,15 |
|
от -40 до +200 °С |
Л: ±3,09 °С |
TMT142C (от 4 до 20 мА) |
Л: ±2,5 °С; Л: ±0,25 °С (цифровой сигнал) и y: ±0,02 % (ЦАП); Л: ±1 °С (компенсация температуры холодных концов) |
HIC2025 |
AAI143 |
y: ±0,15 % |
|
от -50 до +200 °С |
y: ±0,55 % |
ТПУ 0304 (от 4 до 20 мА) |
y: ±0,25 % |
ЭЛЕМЕР- БРИЗ |
SM331 |
y:. ±0,43 |
ИК температуры
от 0 до +150 °С
Л: ±1,35 °С
ТСПТ Ex (НСХ Pt100);
TTR200 (от 4 до 20 мА)
ТСПТ Ex:
Л: ±(0,3+0,005-|t|) °С; TTR200:
Л: ±0,08 °С (цифровой сигнал) и y: ±0,05 % (ЦАП)
MACX MCR
SM331
y: ±0,40 %
ИК давления
от 0 до 6,3 кПа; от 0 до 16,0 кПа; от 0 до 40,0 кПа
от 0 до 6,00 кПа; от 0 до 10,00 кПа; от 0 до 0,10 МПа; от 0 до 0,16 МПа; от 0 до 0,25 МПа; от 0 до 0,40 МПа; от 0 до 0,60 МПа; от 0 до 1,00 МПа; от 0 до 1,60 МПа; от 0 до 2,50 МПа; от 0 до 4,00 МПа; от 0 до 6,00 МПа; от 0 до 10,00 МПа; от 0 до 16,00 МПа; от 0 до 25,00 МПа; от 0 до 40,00 МПа
от 0 до 40 кПа
y: ±0,19 %
y: от ±0,20 до
±0,24 %
y: ±0,33 %
MeTpaH-150CG
(от 4 до 20 мА)
Сапфир-22МП-
ВН
(от 4 до 20 мА)
EJX 510 (от 4 до 20 мА)
y': ±0,075 %
HIC2025
AAI143
y: ±0,15 %
y': от ±0,10 до ±0,15 %
y: ±0,25 %
HIC2025
HIC2025
AAI143
или SAI143
y: ±0,15 %
AAI143
y: ±0,15 %
|
1 |
2 |
3 |
4 |
5 |
6 |
7 |
8 |
|
ИК давления |
от 0 до 0,16 МПа; от 0 до 0,20 МПа; от 0 до 0,25 МПа; от 0 до 0,60 МПа; от 0 до 1,00 МПа |
y: ±0,33 % |
EJX 530 (от 4 до 20 мА) |
y: ±0,25 % |
HIC2025 |
AAI143 или SAI143 |
y: ±0,15 % |
|
от 0 до 1,6 МПа; от 0 до 2,0 МПа |
y: ±0,20 % |
HMP 331 (от 4 до 20 мА) |
y: ±0,10 % |
HIC2025 |
AAI143 |
y: ±0,15 % | |
|
от 0 до 250,00 кПа; от 0 до 600,00 кПа; от 0 до 1600,00 кПа; от 0 до 4000,00 кПа; от 0 до 0,10 МПа; от 0 до 0,16 МПа; от 0 до 0,25 МПа; от 0 до 0,60 МПа; от 0 до 1,00 МПа; от 0 до 1,60 МПа; от 0 до 2,50 МПа |
y: от ±0,28 до ±0,58 % |
Метран-75 (от 4 до 20 мА) |
y: от ±0,20 до ±0,50 % |
HIC2025 |
AAI143 или SAI143 |
y: ±0,15 % | |
|
от 0 до 1,6 МПа; от 0 до 25,0 МПа |
y: ±0,5 % |
АИР-20М2-Н (от 4 до 20 мА) |
y': ±0,2 % |
MACX MCR |
SM331 |
y: ±0,40 % | |
|
y: ±0,53 % |
ЭЛЕМЕР- БРИЗ |
y: ±0,43 % | |||||
|
ИК перепада давления |
от 0 до 0,25 кПа; от 0 до 0,40 кПа; от 0 до 0,60 кПа; от 0 до 1,00 кПа; от 0 до 1,60 кПа; от 0 до 4,00 кПа; от 0 до 7,85 кПа; от 0 до 7,94 кПа; |
y: ±0,2 % |
Сапфир-22МП- ВН (от 4 до 20 мА) |
y': ±0,1 % |
HIC2025 |
AAI143 |
y: ±0,15 % |
ИК перепада давления
от 0 до 25,91 кПа; от 0 до 37,46 кПа; от 0 до 46,85 кПа; от 0 до 75,21 кПа; от 0 до 100,00 кПа; от 0 до 160,00 кПа;
от 0 до 250,00 кПа
от 0 до 100 кПа
от 0 до 100 кПа
от 0 до 2,33 кПа; от 0 до 3,10 кПа; от 0 до 3,45 кПа; от 0 до 3,60 кПа; от 0 до 4,00 кПа; от 0 до 4,26 кПа; от 0 до 5,30 кПа; от 0 до 5,62 кПа; от 0 до 5,70 кПа; от 0 до 5,79 кПа; от 0 до 5,81 кПа; от 0 до 6,30 кПа; от 0 до 7,85 кПа; от 0 до 7,94 кПа; от 0 до 7,96 кПа; от 0 до 8,03 кПа; от 0 до 8,41 кПа; от 0 до 8,87 кПа; от 0 до 9,13 кПа;
y: ±0,2 %
y: ±0,2 %
y: ±0,2 %
y: от ±0,20 до
±0,33 %
Сапфир-22МП-
ВН
(от 4 до 20 мА)
ЭЛЕМЕР-АИР-30 (от 4 до 20 мА) 2051C (от 4 до 20 мА)
EJX 110 (от 4 до 20 мА)
Y': ±0,1 %
y: ±0,1 %
y: ±0,1 %
y: от ±0,10 до ±0,25 %
HIC2025
HIC2025
HIC2025
HIC2025
AAI143
AAI143
AAI143
AAI143
y: ±0,15 %
y: ±0,15 %
y: ±0,15 %
y: ±0,15 %
ИК
перепада давления
от 0 от 0 от 0 от 0 от 0 от 0 от 0 от 0 от 0 до 20,13 кПа; от 0 до 22,17 кПа; от 0 до 25,00 кПа; от 0 до 25,91 кПа; от 0 до 27,00 кПа; от 0 до 37,46 кПа; от 0 до 40,00 кПа; от 0 до 42,94 кПа; от 0 до 46,85 кПа; от 0 до 74,21 кПа; от 0 до 74,76 кПа;
от 0 до 1600,00 кПа от -160 до 60 Па; от -100 до 60 Па;
от -60 до 60 Па от 0 до 6,3 кПа; от 0 до 16,0 кПа
ИК уровня1)
до 10,00 кПа; до 11,97 кПа; до 12,18 кПа;
до 12,56 кПа;
до 16,00 кПа; до 17,13 кПа;
до 19,80 кПа; до 19,96 кПа;
y: от ±0,20 до ±0,33 %
EJX 110 (от 4 до 20 мА)
y: от ±0,10 до ±0,25 %
HIC2025
AAI143
y: ±0,15 %
y: ±0,33 %
y: ±0,19 %
от 0 до 1250 мм
Л: ±3,02 мм
EJX 120 (от 4 до 20 мА)
MeTpaH-150CD (от 4 до 20 мА) Levelflex FMP51 (от 4 до 20 мА)
y: ±0,25 %
HIC2025
AAI143 или SAI143
y: ±0,15 %
y': ±0,075 %
Л: ±2 мм
HIC2025
HIC2025
AAI143
AAI143
y: ±0,15 %
y: ±0,15 %
от 80 до 2995 мм от 180 до 880 мм от 330 до 730 мм от 330 до 1130 мм
Л: ±5,29 мм
Л: ±2,49 мм
Л: ±2,30 мм
Л: ±2,57 мм
VEGAFLEX 86 (от 4 до 20 мА)
до 0,3 м Л: ±15 мм; от 0,3 м Л: ±2 мм
HIC2025
AAI143 или SAI143
y: ±0,15 %
ИК уровня1)
|
2 |
3 | |
|
от 330 до 1330 мм |
Л |
±2,75 мм |
|
от 330 до 3060 мм |
Л |
±5,02 мм |
|
от 335 до 1135 мм |
Л |
±2,57 мм |
|
от 335 до 1835 мм |
Л |
±3,32 мм |
|
от 335 до 1335 мм |
Л |
±2,75 мм |
|
от 335 до 735 мм |
Л |
±2,30 мм |
|
от 335 до 935 мм |
Л |
±2,42 мм |
|
от 335 до 4335 мм |
Л |
±6,96 мм |
|
от 340 до 940 мм |
Л |
±2,42 мм |
|
от 340 до 1140 мм |
Л |
±2,57 мм |
|
от 340 до 3070 мм |
Л |
±5,02 мм |
|
от 340 до 1940 мм |
Л |
±3,44 мм |
|
от 340 до 690 мм |
Л |
±2,28 мм |
|
от 350 до 3350 мм |
Л |
±5,42 мм |
|
от 350 до 770 мм |
Л |
±2,30 мм |
|
от 370 до 690 мм |
Л |
±2,27 мм |
|
от 370 до 770 мм |
Л |
±2,30 мм |
|
от 380 до 1480 мм |
Л |
±2,86 мм |
|
от 380 до 1780 мм |
Л |
±3,19 мм |
|
от 380 до 1800 мм |
Л |
±3,22 мм |
|
от 385 до 785 мм |
Л |
±2,30 мм |
|
от 385 до 1385 мм |
Л |
±2,75 мм |
|
от 385 до 1585 мм |
Л |
±2,96 мм |
|
от 385 до 1635 мм |
Л |
±3,02 мм |
|
от 1000 до 2800 мм |
Л |
±3,70 мм |
|
от 1000 до 2850 мм |
Л |
±3,77 мм |
|
от 1000 до 2900 мм |
Л |
±3,83 мм |
|
от 1000 до 3250 мм |
Л |
±4,32 мм |
|
от 1000 до 3300 мм |
Л |
±4,39 мм |
|
от 1000 до 4850 мм |
Л |
±6,73 мм |
VEGAFLEX 86
(от 4 до 20 мА)
до 0,3 м Л: ±15 мм; от 0,3 м Л: ±2 мм
HIC2025
AAI143 или SAI143
y: ±0,15 %
от 10 до 130 м3/ч
см. примечание 3
Promag 50P (от 4 до 20 мА)
ИК объемного расхода
от 0 до 0,8 м3/ч от 0 до 1,6 м3/ч от 0 до 2,5 м3/ч от 0 до 3,0 м3/ч от 0 до 4,0 м3/ч от 0 до 5,0 м3/ч от 0 до 6,3 м3/ч от 0 до 8,0 м3/ч от 0 до 10,0 м3/ч от 0 до 12,5 м3/ч от 0 до 20,0 м3/ч от 0 до 40,0 м3/ч от 0 до 100,0 м3/ч от 0 до 50,0 м3/ч от 0 до 80,0 м3/ч от 0 до 250,0 м3/ч от 0 до 300,0 м3/ч от 0 до 630,0 м3/ч от 0 до 800,0 м3/ч от 0 до 1000,0 м3/ч от 0 до 1250,0 м3/ч от 0 до 6300,0 м3/ч от 0 до 12500,0 м3/ч
см. примечание 3
YEWFLO DY (от 4 до 20 мА)
в зависимости от Ду 5:
- Ду<200 мм: ±0,2 % (при 0,5 <v<10) или (±0,2+0,1/v) % (при v<0,5 м/с);
- для любых Ду: ±(0,2+0,2/v) % в зависимости от Ду 5:
-
- жидкость:
а) 15 мм: ±1,0 % при
20000<Re<2000D и ±0,75 % при 2000D<Re;
б) 25 мм: ±1,0 % при
20000<Re<1500D и ±0,75 % при 1500D<Re;
в) от 40 до 100 мм:
±1,0 % при 20000<Re<1000D и ±0,75 % при 1000D<Re;
г) от 150 до 400 мм:
±1,0 % при 40000<Re<1000D и ±0,75 % при 1000D<Re;
-
- газ и пар:
а) от 15 до 400 мм: ±1,0 % для v<35 м/с и ±1,5 % для 35<v<80
HIC2025
HIC2025
AAI143
AAI143
y: ±0,15 %
y: ±0,15 %
ик объемного расхода
|
2 |
3 |
4 |
|
от 0 до 16 м^/ч от 0 до 25 м^/ч |
см. примечание 3 |
UFM 500 (от 4 до 20 мА) |
|
от 1,5 до 15,0 м’/ч |
у: ±1,77 % (в диапазоне от 0,5 Gjpgy до ^тах)’ у: ОТ ±1,77 до ±8,81 % (в диапазоне от Gj^in до 0’5 ^тах) |
RAMC (от 4 до 20 мА) |
|
от 0,004 до 0,040 м’/ч |
у: ±4,41 % (в диапазоне от 0,5 Сщдх до ^тах)’ у: ОТ ±4,41 до ±22,01 % (в диапазоне от Gmin ДО 0’5 Сщдх) |
RAKD (от 4 до 20 мА) |
|
5 |
6 |
7 |
8 |
|
5: ±2 % |
HIC2025 |
AAI143 или SAI143 |
у: ±0,15 % |
|
в зависимости от расхода: - в диапазоне от 0,5 G|-,-|gy до G|-,-|gy у: ±1,6 %; - в диапазоне от G,„,,, до 0,5 G|-,-|gy у: ±(1,6-0,5-Стах/Сизм) |
HIC2025 |
AAI143 |
у: ±0,15 % |
|
в зависимости от расхода:
от 0,5 G|-,-|gy до G|-,-|gy. у: ±4,0 %;
у: ±(4,0-0,5-Сп,ах/Сизм) |
HIC2025 |
AAI143 |
у: ±0,15 % |
ИК объемного расхода
от 0 до 0,025 м3/ч от 0 до 0,060 м3/ч от 0 до 0,250 м3/ч от 0 до 0,400 м3/ч от 0 до 0,500 м3/ч от 0 до 0,630 м3/ч от 0 до 0,800 м3/ч от 0 до 1,000 м3/ч от 0 до 1,600 м3/ч от 0 до 2,000 м3/ч от 0 до 2,500 м3/ч от 0 до 4,000 м3/ч от 0 до 16,000 м3/ч от 0 до 20,000 м3/ч от 0 до 25,000 м3/ч от 0 до 160,000 м3/ч
см. примечание 3
OPTIMASS 6400F (от 4 до 20 мА)
- жидкость:
а) стандартно в диапазоне расходов
(более 20:1 от номинального расхода) 5: ±0,1 %;
б) стандартно в диапазоне расходов
(менее 20:1 от номинального расхода) 5: ±(0,1+100-(As/Gi)) %;
в) опционально в диапазоне расходов
(более 20:1 от номинального расхода) 5: ±0,05 %;
г) опционально в диапазоне расходов
(менее 20:1 от номинального расхода) 5: ±(0,05+100^(As/Gi)) % - газ:
5: ±(0,35+100^(As/G^)) %
HIC2025
AAI143
y: ±0,15 %
от 0 до 0,125 м3/ч
см. примечание 3
OPTIMASS 3400C (от 4 до 20 мА)
- жидкость:
5: ±(0,1+0,01^(Gmax/Gi)) %
5: ±(0,5+0,05^(Gmax/Gi)) %
HIC2025
AAI143
y: ±0,15 %
ИК объемного расхода
|
2 |
3 |
4 |
5 |
6 |
7 |
8 |
|
от 0 до 1,00 м3/ч от 0 до 1,25 м3/ч от 0 до 2,50 м3/ч от 0 до 3,60 м3/ч от 0 до 6,30 м3/ч от 0 до 10,00 м3/ч от 0 до 250,00 м3/ч от 0 до 3500,00 м3/ч от 0 до 4000,00 м3/ч от 0 до 12500,00 м3/ч от 0 до 14000,00 м3/ч от 0 до 20000,00 м3/ч |
см. примечание 3 |
FLUXUS 8027 (от 4 до 20 мА) |
- жидкость: 5: ±(2,0+1/v) %, при v<0,5 м/с; 5: ±(1,0+1/v, %) при v>0,5 м/с; - газ: 5: ±2,0 % |
- |
AAI143 или SAI143 |
y: ±0,10 % |
|
от 0 до 5 м3/ч от 0 до 63 м3/ч |
см. примечание 3 |
OPTISONIC 3400 (от 4 до 20 мА) |
5: ±0,5 % |
HIC2025 |
AAI143 |
y: ±0,15 %с |
|
от 0 до 4 м3/ч |
см. примечание 3 |
Prowirl O 200 (от 4 до 20 мА) |
жидкость:
газ и пар:
|
HIC2025 |
AAI143 |
y: ±0,15 % |
|
от 0 до 0,5 м3/ч от 0 до 2,5 м3/ч от 0 до 4,0 м3/ч от 0 до 50,0 м3/ч от 0 до 80,0 м3/ч от 0 до 250,0 м3/ч от 0 до 400,0 м3/ч |
см. примечание 3 |
ADMAG AXF (от 4 до 20 мА) |
- при 0,15<v<0,30 5: от ±0,18 до ±0,35 %; - при 0,3<v<1,0 5: от ±0,18 до ±6,00 %; - при 1<v<10 5: от ±0,16 до ±6,00 % |
- |
AAI143 |
y: ±0,10 % |
|
от 0 до 2500,0 м3/ч от 0 до 14000,0 м3/ч от 0 до 25000,0 м3/ч |
см. примечание 3 |
XGF868i (от 4 до 20 мА) |
5: ±2 % |
- |
AAI143 |
y: ±0,10 %с |
|
1 |
2 |
3 |
4 |
5 |
6 |
7 |
8 |
|
ИК объемного расхода |
от 0 до 2200 м3/ч от 0 до 3200 м3/ч от 0 до 5000 м3/ч от 0 до 12500 м3/ч от 0 до 16000 м3/ч |
см. примечание 3 |
8800DD (от 4 до 20 мА) |
при Re>20000 5: ±0,65 %;
при Re>15000 5: ±1,0 % |
HIC2025 |
AAI143 или SAI143 |
y: ±0,15 % |
|
от 0 до 2,0 м3/ч от 0 до 2,5 м3/ч от 0 до 3,2 м3/ч от 0 до 4,0 м3/ч от 0 до 5,0 м3/ч от 0 до 8,0 м3/ч от 0 до 10,0 м3/ч от 0 до 12,5 м3/ч |
см. примечание 3 |
OPTISONIC 4400 (от 4 до 20 мА) |
5: ±(1+1/v) % |
HIC2025 |
AAI143 или SAI143 |
y: ±0,15 % | |
|
от 0 до 0,05 м3/ч от 0 до 0,32 м3/ч от 0 до 1,25 м3/ч от 0 до 1,60 м3/ч от 0 до 5,00 м3/ч |
см. примечание 3 |
Promass F 500 (от 4 до 20 мА) |
5: ±0,1 % |
HIC2025 |
AAI143 |
y: ±0,15 % |
ИК массового расхода
от О до 100 кг/ч от о до 320 кг/ч от о до 700 кг/ч от о до 800 кг/ч от о до 1200 кг/ч от о до 1250 кг/ч от о до 1600 кг/ч от о до 2500 кг/ч от о до 16000 кг/ч
см.
примечание 3
YEWFLO DY (от 4 до 20 мА)
в зависимости от Ду 5:
- жидкость:
а) 25 мм: ±2,0 % при
20000<Re<1500D и ±1,5 % при 1500D<Re;
б) от 40 до 100 мм:
±2,0 % при 20000<Re<1000D и ±1,5 % при 1000D<Re;
в) от 150 до 400 мм:
±2,0 % при 40000<Re<1000D и ±1,5 % при 1000D<Re;
- насыщенный пар: а) от 25 до 400 мм: ±2,0 % для v<35 м/с и ±2,5 % для 35<v<80
HIC2025
AAI143

ИК массового расхода
от 0 до 100 кг/ч от 0 до 6300 кг/ч от 0 до 25000 кг/ч
см. примечание 3
OPTIMASS 6400F (от 4 до 20 мА)
от 100 до 1183 кг/ч
см. примечание 3
Prowirl O 200 (от 4 до 20 мА)
- жидкость:
а) стандартно в диапазоне расходов
(более 20:1 от номинального расхода) 5: ±0,1 %;
б) стандартно в диапазоне расходов
(менее 20:1 от номинального расхода) 5: ±(0,1+100-(As/Gi)) %;
в) опционально в диапазоне расходов
(более 20:1 от номинального расхода) 5: ±0,05 %;
г) опционально в диапазоне расходов
(менее 20:1 от номинального расхода) 5: ±(0,05+100^(As/Gi)) %■;
- газ:
5: ±(0,35+100^(As/G^)) % - для воды: при Re>10000 5: ±0,75 %;
- для газа и пара: при Re>10000 5: от ±1,4 до ±2,6 %
HIC2025
HIC2025
AAI143
AAI143
y: ±0,15 %
y: ±0,15 %
|
1 |
2 |
3 |
4 |
5 |
6 |
7 |
8 |
|
ИК виброскорости |
от 0 до 20 мм/с |
см. примечание 3 |
DVA (от 4 до 20 мА) |
см. примечание 5 |
HIC2025 |
AAI143 |
y: ±0,15 % |
|
от 0,2 до 20 мм/с от 0 до 50 мм/с |
см. примечание 3 |
AV02 (от 4 до 20 мА) |
5: ±15 % |
MACX MCR |
SM331 |
y: ±0,40 % | |
|
ИК динамической вязкости |
от 0 до 50 мПа^с от 0 до 3500 мПа^с |
Y: ±1,11 % |
XL/7 (от 4 до 20 мА) |
Y: ±1 % |
- |
AAI143 |
Y: ±0,10 % |
|
ИК силы тока |
от 4 до 20 мА |
y: ±0,15 % |
- |
- |
HIC2025 |
AAI143 или SAI143 |
y: ±0,15 % |
|
y: ±0,10 % |
- |
- |
- |
y: ±0,10 % | |||
|
y: ±0,38 % |
- |
- |
- |
SM331 |
y: ±0,38 | ||
|
y: ±0,40 % |
- |
- |
MACX MCR |
y:. ±0,40 % | |||
|
y: ±0,43 % |
- |
- |
ЭЛЕМЕР- БРИЗ |
y: ±0,43 | |||
|
ИК воспроизведения силы тока |
от 4 до 20 мА |
y: ±0,32 % |
- |
- |
HIC2031 |
AAI543-H или SAI533-H |
y:. ±0,32 % |
|
y: ±0,30 % |
- |
- |
- |
y: ±0,30 |
1) Шкала ИК установлена в ИС в процентах (от 0 до 100 %).
Примечания
-
1 ИК - измерительный канал, НКПР - нижний концентрационный предел распространения пламени, ИП - измерительный преобразователь, НСХ -номинальная статическая характеристика, ЦАП - цифро-аналоговое преобразование.
-
2 Приняты следующие обозначения:
Л - абсолютная погрешность, в единицах измеряемой величины;
5 - относительная погрешность, %;
Y - приведенная погрешность, % (нормирующим значением принята разность между максимальным и минимальным значениями диапазона измерений);
Y' - приведенная погрешность, % (нормирующим значением принят верхний предел диапазона измерений);
CH4 - химическая формула метана;
C5H12 - химическая формула пентана;
H2 - химическая формула водорода;
О2 - химическая формула кислорода;
|
2 |
3 |
4 |
5 |
6 |
7 |
СО - химическая формула оксида углерода;
H2S - химическая формула сероводорода;
NH3 - химическая формула аммиака;
As - стабильность нуля, кг/ч; t - измеренная температура, °С;
t' - температура в месте установки первичных ИП ИК, °С;
At - настроенный диапазон температур, °С;
Ду - диаметр условного прохода, мм;
Re - число Рейнольдса;
v - скорость рабочей среды, м/с;
D - внутренний диаметр детектора, мм;
GU3M - измеренное значение расхода жидкости или газа, в единицах измеряемой величины; Gmin - минимальный расход жидкости или газа, в единицах измеряемой величины Gmax - максимальный расход жидкости или газа, в единицах измеряемой величины;
Gj - номинальный расход жидкости или газа, в единицах измеряемой величины.
-
3 Пределы допускаемой основной погрешности ИК рассчитывают по формулам:
- абсолютная ДИК , в единицах измеряемой величины
2 Xmax - Xmin 2
Д2п + (--10^) '
где ДПП
YBn
X
max
X
min
- относительная
Дик = ±1,1 •
N
пределы допускаемой основной абсолютной погрешности первичного ИП ИК, в единицах измерений измеряемой величины; пределы допускаемой основной приведенной погрешности вторичной части ИК, %;
значение измеряемого параметра, соответствующее
измеряемой величины;
значение измеряемого параметра, соответствующее
измеряемой величины;
5ик , %
максимальному значению диапазона аналогового сигнала, в единицах измерений
минимальному значению диапазона аналогового сигнала, в единицах измерений
^ИК = ±1,1 •

пределы допускаемой основной относительной погрешности первичного ИП ИК, %; измеренное значение, в единицах измерений измеряемой величины;
где Yiiii
YИК = +1,1 • ^Ynn + YBn, пределы допускаемой основной приведенной погрешности первичного ИП ИК, %;
|
1 |
2 |
3 |
4 |
5 |
6 |
7 |
8 |
|
Yик = ±1.1 • Л |
( Ynn • Xmax ^,2 (X — X ) + Y2n' max min | ||||||
где Ynn - пределы допускаемой основной приведенной к верхнему пределу диапазона измерений погрешности первичного ИП ИК, %.
-
4 Для расчета погрешности ИК в условиях эксплуатации:
-
- приводят форму представления основных и дополнительных погрешностей измерительных компонентов ИК к единому виду (приведенная, относительная, абсолютная);
-
- для каждого измерительного компонента ИК рассчитывают пределы допускаемых значений погрешности в условиях эксплуатации путем учета основной и дополнительных погрешностей от влияющих факторов.
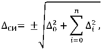
Пределы допускаемой погрешности измерительного компонента ИК в условиях эксплуатации рассчитывают по формуле

где До
пределы допускаемой основной погрешности измерительного компонента;
погрешности измерительного компонента от i-го влияющего фактора в условиях эксплуатации при общем числе n учитываемых влияющих факторов.
Для каждого ИК рассчитывают границы, в которых с вероятностью равной 0,95 должна находиться его погрешность в условиях эксплу атации, по формуле
Дик= ±1,1 •

где ДСИу - пределы допускаемых значений погрешности ДСИ j-го измерительного компонента ИК в условиях эксплуатации.
-
5 Границы основной относительной погрешности вибропреобразователя ^ВП, %, при доверительной вероятности 0,95 рассчитывают по формуле
где ^0
5Кд
^П 5аВП
У1
^КГ
ДВ
^ВП = ±1.1 • ^50 + 5КД + ДП + (5аВП)2 + Y1 + ДКг + дв,
относительная погрешность эталонного средства измерений параметров вибрации, входящего в состав поверочной виброустановки, %;
относительная разность между действительным значением коэффициента преобразования и номинальным значением, указанным в паспорте вибропреобразователя, %;
погрешность, вызванная наличием поперечного движения вибростола поверочной виброустановки, %;
нелинейность амплитудной характеристики вибропреобразователя, %; неравномерность амплитудно-частотной характеристики вибропреобразователя, %;
погрешность, вызванная наличием высших гармонических составляющих в законе движения вибростола поверочной виброустановки, %;
погрешность средства измерений электрического сигнала с выхода поверяемого вибропреобразователя (или согласующего усилителя), %.
________1
|
2 |
3 |
4 |
5 |
6 |
7 |
Относительную разность между действительным значением вибропреобразователя, 5Кд , %, рассчитывают по формуле
коэффициента преобразования и номинальным значением, указанным в паспорте
5Кд
кД - кН |
• 100,
где КД
КН
кН
действительное значение коэффициента преобразования вибропреобразователя, мА^с/мм;
номинальное значение коэффициента преобразования вибропреобразователя, мА^с/мм.
Погрешность, вызванную наличием поперечного движения вибростола поверочной виброустановки, Дп, %, рассчитывают по формуле
. = кпвс • КОП
где КПВС
КОП
Погрешность, рассчитывают по формуле
п= 100 ’
-
- коэффициент, характеризующий поперечное движение вибростола поверочной виброустановки, %;
-
- относительный коэффициент поперечного преобразования вибропреобразователя, %.
вызванную наличием высших гармонических составляющих в законе движения вибростола поверочной виброустановки, Дкг, %,
• 100,
где КГ - коэффициент гармоник в задаваемом режиме движения вибростола поверочной виброустановки, %.
При условии записи в свидетельство о поверке действительного значения коэффициента преобразования КД, определенного при поверке, границы основной относительной погрешности вибропреобразователя 5ВП, %, определяют по формуле
^вп = ±1,1 •. ^0 + ^П + (^авП)2 + У1 + ^кг +
-

